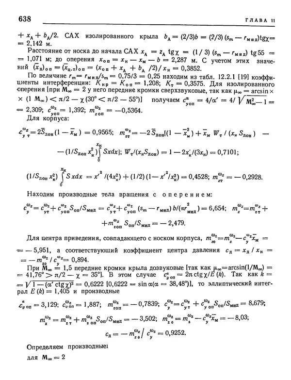
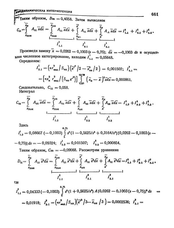
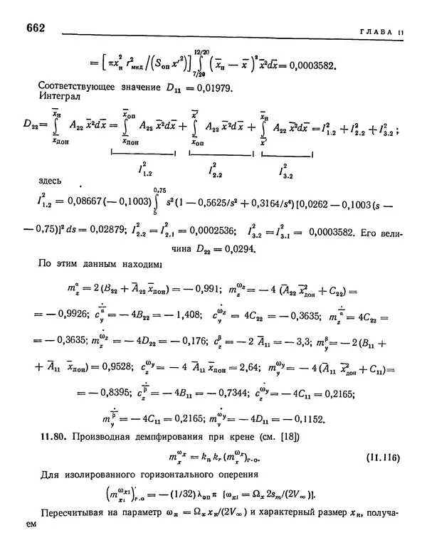
Книга в формате djvu! Изображения и текст могут не отображаться!
[Настройки текста] [Cбросить фильтры]
Николай Краснов - Аэродинамика в вопросах и задачах



























































































































































































































loading='lazy' src="/b.htm/50/533750/220.webp" title="Николай Краснов - Аэродинамика в вопросах и задачах - Страница № 220" alt="Николай Краснов - Аэродинамика в вопросах и задачах - Страница № 220" width="600" height="787">

























































































































































































































title="Николай Краснов - Аэродинамика в вопросах и задачах - Страница № 438" alt="Николай Краснов - Аэродинамика в вопросах и задачах - Страница № 438" width="600" height="787">



































































































































































































































































































































Последние комментарии
1 день 14 часов назад
1 день 17 часов назад
1 день 17 часов назад
1 день 18 часов назад
1 день 23 часов назад
1 день 23 часов назад