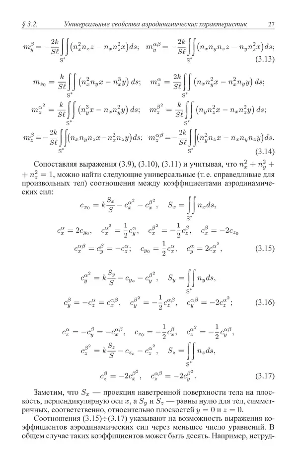
Книга в формате djvu! Изображения и текст могут не отображаться!
[Настройки текста] [Cбросить фильтры]
Юрий Липницкий - Нестационарная аэродинамика баллистического полета
















































































































































































Хороший урка это фантастика - именно поэтому эта автобиография попала в этот раздел?
...они грабят но живут очень скромно... Да плевать ограбленному, на что потратили его деньги на иконы или на проституток!!!
Очередная попытка романтизировать паразитов...
ГГ мстительный душнила
Рейтинг: 0 ( 0 за, 0 против)достаточно интересные истории
Рейтинг: 0 ( 0 за, 0 против)Тупое начало. ГГ - бывший вор,погибший на воровском деле в сфере кражи информации с компьютеров без подготовки, то есть по своей лени и глупости. Ну разумеется винит в гибели не себя, а наводчика. ГГ много воображающий о себе и считающий себя наёмником с жестким характером, но поступающий точно так же как прежний хозяин тела в которое он попал. Старого хозяина тела ГГ считает трусом и пьяницей, никчемным человеком,себя же бывалым
подробнее ...
человеком, способным выжить в любой ситуации. Первая и последняя мысля ГГ - нужно бежать из родительского дома тела, затаится и собрать данные для дальнейших планов. Умней не передумал как бежать из дома без наличия прямых угроз телу. Будет под забором собирать сведения, кто он теперь и как дальше жить. Аргумент побега - боязнь выдать себя чужого в теле их сына. Прямо умный и не трусливый поступок? Смешно. Бежав из дома, где его никто не стерёг, решил подумать. Не получилось. Так как захотелось нажраться. Нашёл незнамо куда в поисках, где бы выпить подальше от дома. По факту я не нашёл разницы между двумя видами одного тела. Попал почти в притон с кошельковом золота в кармане, где таким как он опасно находится. С ходу кинул золотой себе на выпивку и нашел себе приключений на дебильные поступки. Дальше читать не стал. ГГ - дебил и вор по найму, без царя в голове, с соответствующей речью и дешевыми пантами по жизни вместо мозгов. Не интересен и читать о таком неприятно. Да и не вписываются спецы в сфере воровства в сфере цифровой информации в данного дебилойда. Им же приходится просчитывать все возможные варианты проблем пошагова с нахождением решений. Иначе у предурков заказывают красть "железо" целиком, а не конкретные файлы. Я не встречал хороших программистов,любящих нажираться в стельку. У них мозг - основа работоспособности в любимом деле. Состояние тормозов и отключения мозга им не нравятся. Пьют чисто для удовольствия, а не с целью побыстрей отключить мозг, как у данного ГГ. В корзину, без сожаления.
Оценил серию на отлично. ГГ - школьник из выпускного класса, вместе с сотнями случайных людей во сне попадает в мир летающих островов. Остров позволяет летать в облаках, собирать ресурсы и развивать свою базу. Новый мир работает по своим правилам, у него есть свои секреты и за эти секреты приходится сражаться.
Плюсы
1. Интересный, динамический сюжет. Интересно описан сам мир и его правила, все довольно гармонично и естественно.
2. ГГ
подробнее ...
неплохо раскрыт как личность. У него своя история семьи - он живет с отцом отдельно, а его сестра - с матерью. Отношения сложные, скорее даже враждебрные. Сам ГГ действует довольно логично - иногда помогает людям, иногда действует в своих интересах(когда например награда одна и все хотят ее получить)
3. Это уся, но скорее уся на минималках. Тут нет километровых размышлений и философий на тему культиваций. Так по минимуму (терпимо)
4. Есть баланс силы между неспящими и соперничество.
Минсы
Можно придраться конечно к чему-нибудь, но бросающихся в глаза недостатков на удивление мало. Можно отметить рояли, но они есть у всех неспящих и потому не особо заметны. Ну еще отмечу странные отношения между отцом и сыном, матерью и сыном (оба игнорят сына).
В целом серия довольно удачна, впечатление положительное - можно почитать
Книга в формате djvu! Изображения и текст могут не отображаться!
















































































































































































Последние комментарии
1 день 14 часов назад
1 день 17 часов назад
1 день 17 часов назад
1 день 18 часов назад
1 день 23 часов назад
1 день 23 часов назад