Книга в формате pdf! Изображения и текст могут не отображаться!
[Настройки текста] [Cбросить фильтры]
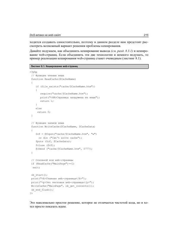
Михаил Флёнов - Web-сервер глазами хакера

































































































































































































































































Прочитать это можно, но удовольствия от этой сказки мало. Герои противные и у них сплошные проблемы во всём и со всеми, некрасивая и глуповатая сказка о дурости. Наличие магии таким героям только во вред, авторша постаралась изобразить горе от "ума", хотя мне кажется у нее была другая задумка, но тут уж как вышло!
Рейтинг: 0 ( 0 за, 0 против)Няшка дурашка и злобный хрен, пардон дракон, резко передумавший быть злобным. Можно попытаться это погрызть, если совсем нечего читать.
Рейтинг: 0 ( 0 за, 0 против)Уважаемый Автор файла: Цокольный этаж. Огромная просьба, не отходите от замечательной традиции Горъ-овские файлы выкладывать в двух видах: с иллюстрациями и без. Это вот ну прям здорово вы делаете...
Рейтинг: +1 ( 1 за, 0 против)Предыдущий первый том: https://coollib.in/b/796158-vladimir-plamenev-diplomatiya-klanov автор на АТ скрыл. Как первый том ( с таким названием) выложен у него на странице в АТ: https://author.today/work/series/46755
Рейтинг: 0 ( 0 за, 0 против)Прочитал серию. Поставил 4 с минусом. ГГ переносится в новый мир, на поле усеянное костями, он собирает лут и идет в случайном направлении. Впереди только неизвестность, жажда, голод и магические ловушки, но ГГ все вытерпит и выживет. На самом деле ГГ на старте получил стандартный набор попаданца - магическое зрение и знание местного языка, что и позволяет ему справляться с трудностями
Плюсы
1. Сюжет довольно интересный, автор умеет
подробнее ...
заинтересовать читателя.
2. Не гаремник, ГГ по сути заучка, который ищет знания, чтобы обрести силу
3. Наряду с основными стихиями, есть еще и цветные. Первыми могут оперировать все маги, а вот цветными только еденицы
Минусы
1. Рояли - начиная от стартового пакета любого попаданца, заканчивая всякими плюшаками, типо даринита - сверхмощного накопителя, про который никто не догадывается, молнию и плазму на старте, идеальную память на заклинания, авто 3-d проекцию заклинаний
2. Нелогичность многих поступков( надевание ошейника смерти, в дорогу взятие только серебро, расскрытие тайны того, что он может ходить между ловушек в крепости, при выходе из мертвых земель взятие только серебра, нападение с ножом на аристократок - в общем нелогичностей просто огромное количество
3. Отдельно хотелось бы отметить изменчивое поведение - то он шифруется в академии, то он срывается и идет творить дичь - набухивается, стриптиз танцует. Ну и сюда же - то он отмалчивается о своих возможностях, то он всем трындит что может ходить в мертвые земли.
4. Ведет себя с могущественными людьми как борзый бычара - это явно признак слабоумия. Логика поступков надуманная, многие решения ГГ откровенно дебильные
5. Нет особого развития ГГ как мага - он артефактор а в серии, пару раз молнией ударил и плазмой ну и комету запустил с мифическим кранторном
6. Баланс вроде бы автор пытается выдерживать, типо один не победит 10 магов, но ведь у ГГ есть куча полезных примочек - накопители, кольца с сильными заклинаними.
7. Прямо тотальное восхищение второстепенных героев.
В итоге в целом серия интересная (автор как-то удается держать внимание читателя), но если глянуть на все минусы, то оказывается, что не такая она уж и клевая. Подойдет для тех, кому нечего почитать и не хочется думать во время чтения
Книга в формате pdf! Изображения и текст могут не отображаться!

































































































































































































































































Последние комментарии
16 часов 28 минут назад
1 день 4 часов назад
1 день 5 часов назад
1 день 16 часов назад
2 дней 10 часов назад
3 дней 9 минут назад