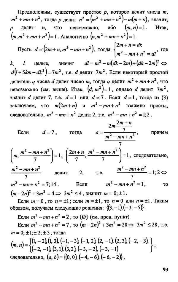
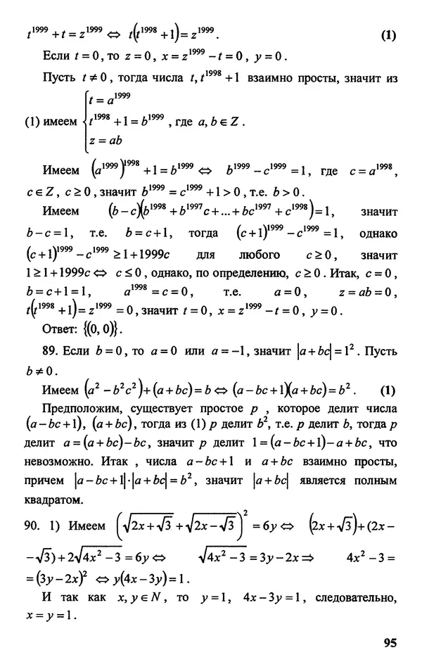
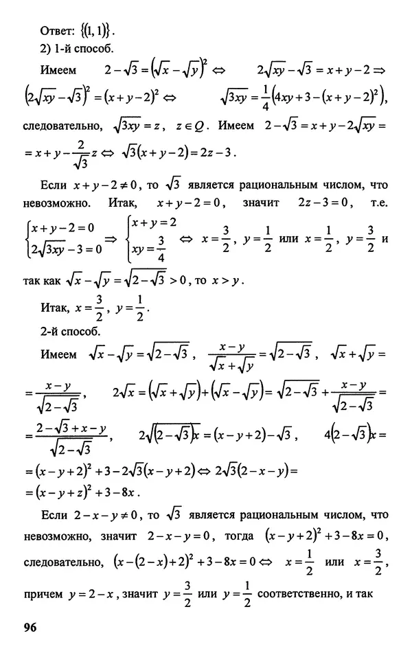
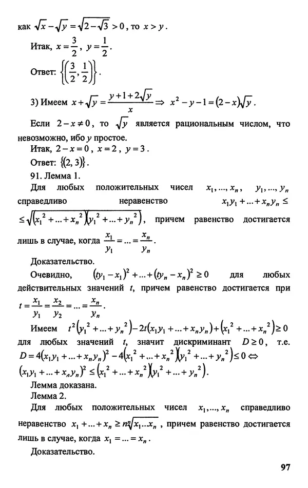
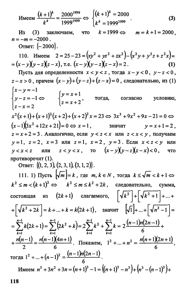
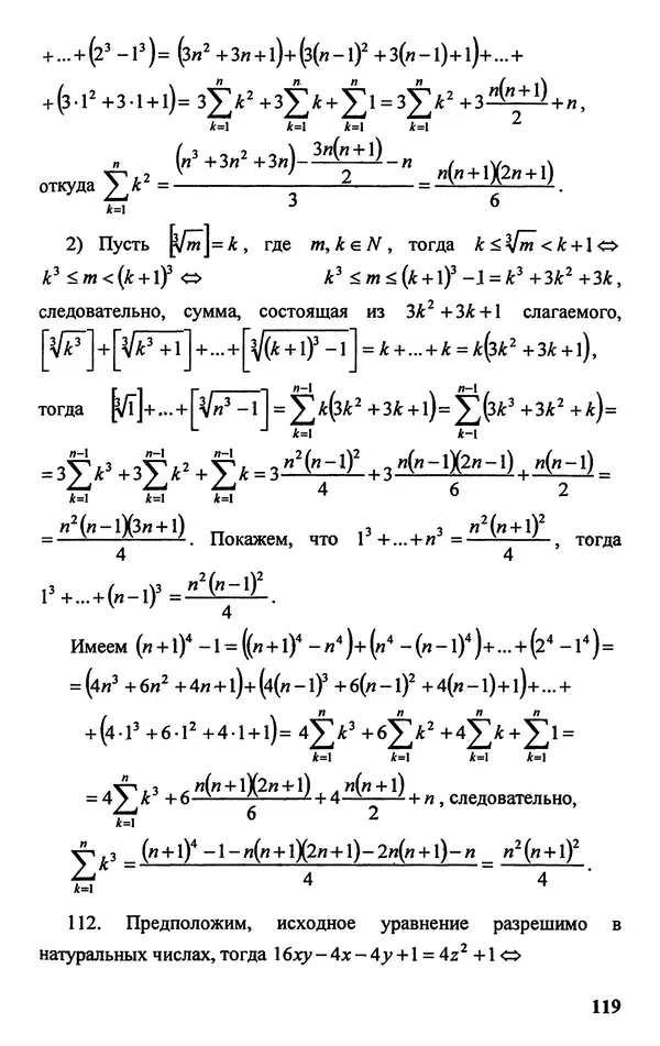
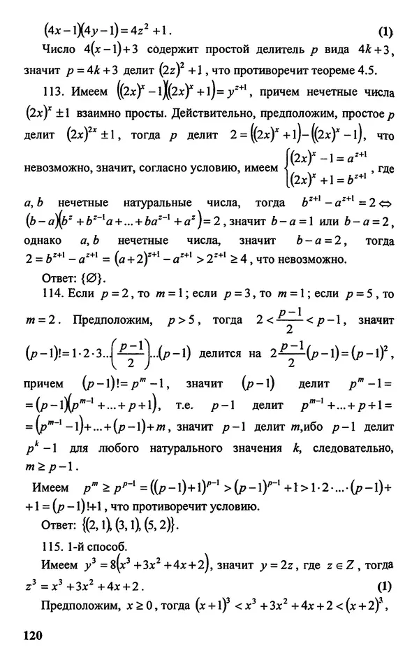
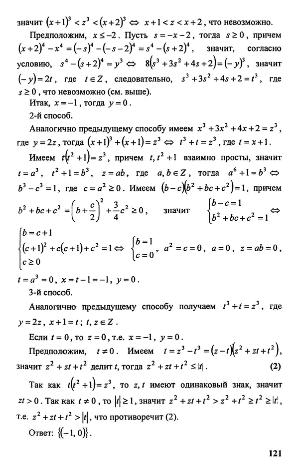
Книга в формате djvu! Изображения и текст могут не отображаться!
[Настройки текста] [Cбросить фильтры]
Дмитрий Базылев - Справочное пособие по решению задач. Диофантовы уравнения

































































































































































Оценил в 4 балла. ГГ - попаданец в тело барона, которого лишают титула и отправляют в дикие земли добывать магические горошины. Ну в общем наш ГГ парень не простой - он попаданец-рецедивист. При вселении в новое тело хоть и потерял память, но через редкие сны вспоминает свои прежние воплощения в других мирах. Прежний опыт, сопутсвующая удача и восстаналивающийся источник магии позволяет ГГ неплохо вписаться в новый мир.
Плюсы.
1. Сюжет на
подробнее ...
четверку с минусом потянет. По сути ГГ бегает по Диким землям, обустраивает быт, делает копья, охотится на монстров и отбивается от двуногих братьев по несчастью. Налаживает соц. связи так как в одиночку выжить почти нереально. Но есть и свои минусы, но об этом позже.
2. Боевка более менее адекватная. - При столкновении с сильными врагами он делает ловушки, использует неожиданные нападения.
3. Не гарем и не философ.
4. Мамкины советы выживальщика - типо замариновать мясо на муравейнике, замазать смолой рану и т.д. Весьма спорные советы, ну ок - будем считать их лайфхаками, а потому карму в плюс.
Минусы
1. Откровенная глупость и даже дичь, непонятные мутные правила у дворян. Вроде ГГ это барон, его лишают статуса барона, но при этом у него есть возможность отдать долг и вернуть родовые земли (при этом там откровенная дичь про лишения статуса барона, но сохранения его титула).
2. ГГ постоянно пьет кровь у поверженных монстров и жрет их печень пачками. Сами монстры появляются из магических камней.
3. Некое слабоумие и лень у людей. Там куча приграничных деревень, в которых люди должны знать, что можно делать с магическим горохом и пользоваться этим повсеместно. А тут ГГ прямо открывает Америку - со своими экспериментами по посадке гороха на своеобразных грядках. Ну по поводу лени - после гона изза града там всей деревней бы отправились на фарм. Потому как 1 горошина это рубль, а после града остается и собирать горошины без особого риска как грибы.
4. Глупость всяких родовитых аристократов, которые приехали в дикие земли без своей дружины. При этом они нанимают местных охотников и идут с ними бить звервье, ночуют на деревьях, ведут себя предельно вежливо по отношению к ГГ (каторжнику), а иногда и шмотки постирывают.
5. Сюжет под конец книги делает неожиданные повороты. Появляются бабы яги, кощеи, дочки в хрустальных гробах. В общем намешал всего и получил дичь, которую тяжело читать
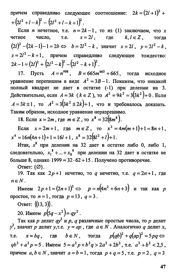
В целом первая книга не зашла - сюжет скатывается к каким то сказкам, глупость, тупость и лень окружающих, нет здоровой конкуренции, рояли.
Я читал у автора другие книги и они мне нравились, но это увы. ГГ у автора дебил и рукожопый.Рассуждения соответствующие. Лук автору трудно сделать. Найти упругую ветку? Всё отрицает, считая, что надо учиться стрелять и метать камни годами. Что бы чему то научится, надо пробовать и получать опыт. А там как маторика. Кто то и с 3 раза попадать сможет, а кому то и тысячи повторов мало. Автор заставляет для изготовления ножа искать на берегу
подробнее ...
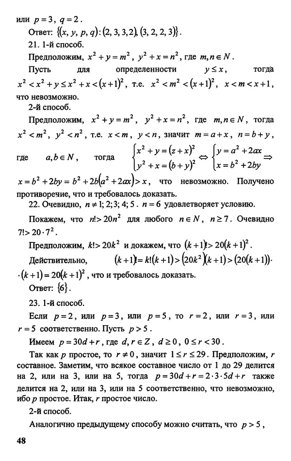
острова кремний и он его где то находит, хотя на побережье полно раковин и ракушек, из которых путем заточки на камне можно сделать что угодно. Сделать дубину или копьё, острогу у автора вызывают трудности. Рассуждение и аргументы ГГ автора дебильные и даже не предполагают интеллект первобытного человека.Читать про такого ГГ просто неприятно. Автор к примеру нам описывает неправдоподобную картину, как ГГ сбивает кокосы в 4 кг с пальмы камнем и они у него даже падают целыми. Представляю эти камешки, которыми можно сбить кокосы с высоких пальм и не верю в реальность возможного. ГГ не додумался стучать камнем об кокос.Стучал наоборот и пролил сок. Насобирал 40 кокосов, а потом только спросил себя зачем. Из кокоса можно сделать посуду и емкости, а ГГ ломает всю чешую, спрашивается зачем? У автора бананы растут на деревьях, а это многолетняя трава. С солёной рекой тоже глупость большая. Автор описал залив с крокодилом в который сбегает водопад, а потом не знает где найти реку и вообще сомневается, что она есть. Автор сочинил историю при которой ГГ копит калории от поедания пищи по том она из него изливается превращаясь в чернозё и естественных выделений у него нет. И чем естественные удобрения хуже волшебного? ГГ у автора превратился в вечно голодное существо с божественным планом преобразить мир, видимо путём съедания.
Прочитать это можно, но удовольствия от этой сказки мало. Герои противные и у них сплошные проблемы во всём и со всеми, некрасивая и глуповатая сказка о дурости. Наличие магии таким героям только во вред, авторша постаралась изобразить горе от "ума", хотя мне кажется у нее была другая задумка, но тут уж как вышло!
Рейтинг: 0 ( 0 за, 0 против)Няшка дурашка и злобный хрен, пардон дракон, резко передумавший быть злобным. Можно попытаться это погрызть, если совсем нечего читать.
Рейтинг: 0 ( 0 за, 0 против)Уважаемый Автор файла: Цокольный этаж. Огромная просьба, не отходите от замечательной традиции Горъ-овские файлы выкладывать в двух видах: с иллюстрациями и без. Это вот ну прям здорово вы делаете...
Рейтинг: +1 ( 1 за, 0 против)Книга в формате djvu! Изображения и текст могут не отображаться!

































































































































































Последние комментарии
2 дней 4 часов назад
2 дней 16 часов назад
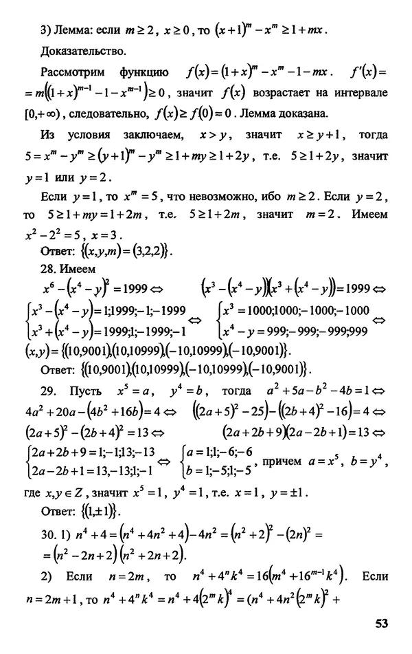
2 дней 17 часов назад
3 дней 4 часов назад
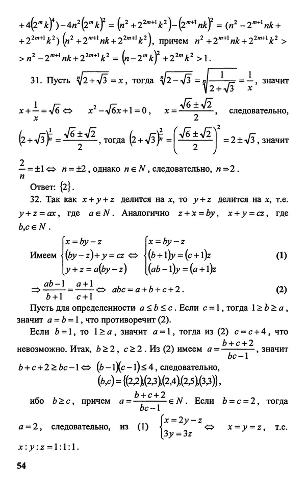
3 дней 22 часов назад
4 дней 11 часов назад