Феномен науки. Кибернетический подход к эволюции [Валентин Фёдорович Турчин] (fb2) читать онлайн


 [Настройки текста]  [Cбросить фильтры]

Annotation

Автор книги — выдающийся ученый, физик и кибернетик, создатель языка Рефал и нового направления в программировании, связанного с преобразованием программ. Известен широкому кругу отечественных читателей как составитель сборника “Физики шутят”. Вынужденный покинуть Родину, с 1977 года он живет и работает в США.

В этой книге В. Ф. Турчин излагает свою концепцию метасистемного перехода и с ее позиций прослеживает эволюцию мира от простейших одноклеточных организмов до возникновения мышления, развития науки и культуры. По вкладу в науку и философию монография стоит в одном ряду с такими известными трудами как “Кибернетика” Н. Винера и “Феномен человека” П. Тейяра де Шардена.

Книга написана ярким образным языком, доступна читателю с любым уровнем подготовки. Представляет особый интерес для интересующихся фундаментальными вопросами естествознания.

Замечания по электронной версии книги присылайте, пожалуйста, членам редакционного совета. Спасибо!

Редакционный совет: А. В. Климов, А. М. Чеповский, В. С. Штаркман


Вступительное слово

Предисловие редактора к первому русскому изданию

Предисловие

Введение

Глава 1. Начальные стадии эволюции

1.1. Основной закон эволюции

1.2. Химическая эра

1.3. Кибернетика

1.4. Дискретные и непрерывные системы

1.5. Надежность дискретных систем

1.6. Информация

1.7. Нейрон

1.8. Нервная сеть

1.9. Простой рефлекс (раздражимость)

1.10. Сложный рефлекс

Глава 2. Иерархические структуры

2.1. Понятие понятия

2.2. Распознаватели и классификаторы

2.3. Иерархия понятий

2.4. Как возникает иерархия

2.5. Кое-что о реальных иерархиях

2.6. Мир глазами лягушки

2.7. Обломки системы понятий

2.8. Цель и регулирование

2.9. Как возникает регулирование

2.10. Представления

2.11. Память

2.12. Иерархия целей и планов

2.13. Структурные и функциональные схемы

2.14. Переход к феноменологическому описанию

2.15. Определение сложного рефлекса

Глава 3. На пути к человеку

3.1. Метасистемный переход

3.2. Управление рефлексом

3.3. Рефлекс как функциональное понятие

3.4. Зачем нужны ассоциации представлений

3.5. Вызов по дополнению

3.6. Пятна и линии

3.7. Условный рефлекс и обучение

3.8. Моделирование

3.9. Познание мира

Глава 4. Человек

4.1. Управление ассоциированием

4.2. Игра

4.3. Изготовление орудий

4.4. Воображение, планирование, преодоление инстинкта

4.5. Внутренний учитель

4.6. Смешное и прекрасное

4.7. Язык

4.8. Языкотворчество

4.9. Язык как средство моделирования

4.10. Самопознание

4.11. Продолжение мозга

4.12. Социальная интеграция

4.13. Сверхсущество

Глава 5. Со ступеньки на ступеньку

5.1. Материальная и духовная культура

5.2. Эффект лестницы

5.3. Масштаб метасистемного перехода

5.4. Орудия для производства орудий

5.5. Нижний палеолит

5.6. Верхний палеолит

5.7. Неолитическая революция

5.8. Век металла

5.9. Промышленные революции

5.10. Квант развития

5.11. Эволюция мышления

Глава 6. Логический анализ языка

6.1. Снова о понятиях

6.2. Свойства и отношения

6.3. Аристотелевская логика

6.4. Диалектика Гегеля

6.5. Математическая логика

6.6. Объекты и высказывания

6.7. Логические связки

6.8. Предикаты

6.9. Кванторы

6.10. Связка «такой, что»

6.11. Физический предмет и логический объект

6.12. Функции

6.13. Синтаксис и семантика

6.14. Логический анализ языка

Глава 7. Язык и мышление

7.1. Что мы знаем о мышлении?

7.2. Языковая деятельность

7.3. Мозг как «черный ящик»

7.4. Подтверждение и отрицание

7.5. Феноменологическое определение семантики

7.6. Логическое понятие

7.7. Структурный подход

7.8. Две системы

7.9. Понятийные сваи

7.10. Концепция Сепира-Уорфа

7.11. Субстанция

7.12. Объективизация времени

7.13. Лингвистическая относительность

7.14. Метасистемный переход в языке

7.15. Понятия-конструкты

7.16. Мышление человека и животных

Глава 8. Первобытное мышление

8.1. Системный аспект культуры

8.2. Дикость и цивилизация

8.3. Метасистемный переход к языковой деятельности

8.4. Магия слов

8.5. Духи и прочее

8.6. Мусорная куча представлений

8.7. Вера и знание

8.8. Консерватизм докритического мышления

8.9. Возникновение цивилизации

Глава 9. Математика до греков

9.1. Ошибка природы

9.2. Счет и измерение

9.3. Запись чисел

9.4. Позиционная система

9.5. Прикладная арифметика

9.6. Познания древних в геометрии

9.7. Арифметика с птичьего полета

9.8. Обратный ход модели

9.9. Решение уравнений

9.10. Формула

Глава 10. От Фалеса до Евклида

10.1. Доказательство

10.2. Классический период

10.3. Философия Платона

10.4. Что такое математика?

10.5. Точность сравнения величин

10.6. Достоверность утверждений математики

10.7. В поисках аксиом

10.8. Об аксиомах арифметики и логики

10.9. Сваи, уходящие вглубь

10.10. Платонизм в ретроспективе

Глава 11. От Евклида до Декарта

11.1. Число и величина

11.2. Геометрическая алгебра

11.3. Архимед и Аполлоний

11.4. Упадок греческой математики

11.5. Арифметическая алгебра

11.6. Италия, XVI век

11.7. Буквенная символика

11.8. Что сделал Декарт?

11.9. Отношение как объект

11.10. Декарт и Ферма

11.11. Путь к открытию

Глава 12. От Декарта до Бурбаки

12.1. Формализованный язык

12.2. Языковая машина

12.3. Четыре типа языковой деятельности

12.4. Наука и философия

12.5. Формализация и метасистемный переход

12.6. Лейтмотив новой математики

12.7. «Несуществующие» объекты

12.8. Иерархия теорий

12.9. Аксиоматический метод

12.10. Метаматематика

12.11. Формализация теории множеств

12.12. Трактат Бурбаки

Глава 13. Наука и метанаука

13.1. Экспериментальная физика

13.2. Научный метод

13.3. Роль общих принципов

13.4. Критерии выбора теорий

13.5. Физика микромира

13.6. Соотношение неопределенностей

13.7. Наглядные и знаковые модели

13.8. Крушение детерминизма

13.9. «Сумасшедшие» теории и метанаука6

Глава 14. Феномен науки

14.1. Высший уровень иерархии

14.2. Наука и производство

14.3. Рост науки

14.4. Формализация научного языка

14.5. Человек и машина

14.6. Научное управление обществом

14.7. Наука и нравственность

14.8. Проблема Высшего Блага

14.9. Духовные ценности

14.10. Человек во Вселенной

14.11. Расхождение траекторий

14.12. Этика и эволюция

14.13. Воля к бессмертию

14.14. Интеграция и свобода

14.15. Вопросы, вопросы...

Кибернетический манифест


Вступительное слово


В этой книге, первое издание которой стало библиографической редкостью сразу после выхода в 1993 году, выдающийся ученый Валентин Федорович Турчин излагает свою концепцию метасистемного перехода, объясняющую структуру скачков в эволюции и указывающую “почки роста” с кибернетической точки зрения. Его философия предлагает ответы на мировоззренческие вопросы — “Кто я?”, “Откуда я пришел и куда иду?”, “Сколь истинно мое знание?”, “Что есть добро и что есть зло?”.

Концепция метасистемного перехода проходит красной нитью через все работы В. Ф. Турчина. В 1976 году он написал следующую после “Феномена науки” книгу “Инерция страха. Социализм и тоталитаризм1. В ней был дан анализ состояния советского общества как эволюционного тупика и высказаны предположения о том, как должно измениться общество, чтобы оно было способно к дальнейшему неограниченному развитию с высокими целями. В математике он сконструировал новые кибернетические основания2, а в программировании и информатике разработал метаязык Рефал и заложил основы метавычислений, предложив качественно новый метод преобразования и оптимизации программ — суперомпиляцию3. Эти достижения уже используются в высокотехнологичных коммерческих проектах. Их успешное применение и дальнейшее развитие требует понимания лежащей в их основе концепции метасистемного перехода.

Кибернетический подход Турчина развивается сегодня международным коллективом ученых в рамках Интернет-проекта Principia Cybernetica4, цель которого — выработка кибернетического взгляда на все явления вплоть до вопросов о смысле жизни и “Что есть Бог?”.

В конце XX века мы с Вами стали свидетелями крупных преобразований как в промышленности и технологиях — компьютерная и информационная революции, так и в общественном развитии. Прочитав эту книгу, Вы поймете, как и почему это было закономерно (хотя и не предопределено), какие предшествующие события в развитии материальной и духовной культуры человечества готовили эти скачки и что можно ожидать в ближайшие десятилетия.

Дорогой читатель! Хотелось ли Вам в своей научной, технической или другой деятельности полагаться не на удачу в случайных блужданиях, а руководствоваться целостной системой понятий, которая помогала бы “за деревьями видеть лес”, отличать важное от несущественного, понимать, куда идет развитие, чтобы прилагать свои творческие усилия в плодотворном направлении? Если да, то смело открывайте эту книгу!

Андрей Климов

1 Книга В. Ф. Турчина “Инерция страха. Социализм и тоталитаризм” была издана только в английском переводе: “The Inertia of Fear and the Scientific Worldview”, издательство “Хроника”, 1978. На русском языке она доступна в Интернете в Открытой Русской Электронной Библиотеке — http://orel.rsl.ru/.

2 “A constructive interpretation of the full set theory”, The Journal of Symbolic Logic, Vol. 52, No. 1, March 1987.

3 Информация о работах по Рефалу и суперкомпиляции доступна в Интернете по адресу http://www.refal.net/.

4 Адреса проекта Principia Cybernetica в Интернете — http://pespmc1.vub.ac.be/ и http://pcp.lanl.gov/.

Предисловие редактора к первому русскому изданию


Среди огромной массы научной и научно-популярной литературы совсем немного книг, которые можно считать вехами на пути человечества в формировании целостного и оптимистического мировоззрения, т. е. книг философских в истинном смысле этого слова. Книга, которую держит в руках читатель, несомненно, принадлежит к этой редкой категории. И это не случайно, так как ее автор являет собой редкий тип ученого-естественника, который философствует не потому, что это модно, престижно или, скажем, принято. Он философствует для того, чтобы привести в прямое соответствие философские знания и практику собственной жизни.

Автор излагает оригинальную теорию эволюции, базируясь на современных кибернетических концепциях и на одной основной идее, а именно — идее метасистемного перехода как кванта эволюции. Внешне все очень просто. Если у вас есть некоторая исходная кибернетическая система (амеба, человек, общество и т.п.), то метасистемный переход — это переход к некоторой другой системе, включающей в себя множество систем типа исходной. По сути здесь всегда возникает новый уровень управления. Примеры: переход от простейших одноклеточных организмов к многоклеточным, возникновение нервной системы, мозга, речи и т.д.

Но заслуга автора не ограничивается тем, что он высказывает идею метасистемного перехода как кванта эволюции. Он прослеживает с позиции этой идеи эволюцию на Земле от простейших макромолекул до современной науки (математики, философии) и культуры. Делает он это столь ярко и интересно, что не остается никаких сомнений в огромной мощности исходной идеи. По сути своей “Феномен науки” — глубокая научно-философская книга, но написана она как роман и, чтобы прочесть ее, достаточно любопытства и знаний в объеме средней школы.

Читатель, который возьмет на себя труд последовать за автором, узнает массу интереснейших вещей. Он, в частности, узнает, каким видится мир глазами лягушки, чем же все-таки (одним и принципиальным) отличается мышление животного (собаки, обезьяны) от мышления человека, что должно было произойти в мышлении человека, чтобы оно из “примитивного” стало “современным”, что такое юмор и на какой стадии эволюции он возникает, что такое научная теория и чем отличается “хорошая” теория от “плохой”, много ли на самом деле зависит от простого человека (“винтика”) в обществе, что есть Добро, Высшее благо и Высшая цель, и еще многое другое.

Сказанного, думаю, достаточно, чтобы читатель получил представление о предмете и характере книги. Углубляться в детали нет смысла, так как при этом пришлось бы невольно и безнадежно конкурировать с авторским текстом, одновременно паразитируя на нем. Поэтому будем считать своей дальнейшей задачей — рассказать немного об авторе и коротко осветить историю его диссидентства. Ведь когда писалась книга, В. Ф. Турчин был советским гражданином, а с октября 1977 г. он живет в Америке, работает профессором в области компьютерных наук в Нью-Йоркском городском университете и в 1982 г. получил гражданство США.

В. Ф. Турчин родился в 1931 г. в Москве. Окончил физический факультет МГУ и с 1953 по 1964 г. работал под Москвой в Обнинске в Физико-энергетическом институте, где изучал рассеяние медленных нейтронов в жидкостях и твердых телах и защитил докторскую диссертацию. В 33 года он уже был известным физиком-теоретиком с большими перспективами.

И тем не менее в 1964 г. В. Ф. Турчин оставляет физику, переходит в Институт прикладной математики АН СССР (ныне Институт им. М. В. Келдыша) и погружается в информатику. Намек на причину такой рискованной смены среды содержит предпоследний абзац следующего далее авторского предисловия. Он оставил науку ради метанауки.

В информатике, как и в физике, ему сопутствует успех. Он создает новый язык программирования — язык Рефал, на котором удобно описываются алгоритмические языки, трансляторы, символьные математические преобразования и многое другое. Более того, вокруг В. Ф. Турчина складывается неформальная научная школа — научное направление, которое живет и успешно развивается до сих пор, даже после отъезда, а точнее изгнания его лидера из СССР.

Читатель уже мог догадаться, что человек с таким научно-философским диапазоном, как В. Ф. Турчин, обычно имеет четкую точку зрения на социально-политические процессы в мире и тем более в своей стране. К чести В. Ф. Турчина, он не только имел такую точку зрения, но и не боялся ее высказывать. В 1968 г. он написал статью “Инерция страха” и предложил ее для публикации журналу “Коммунист”. В ней, в частности, доказывалось, что тоталитарное общество обречено, и предлагался вариант перехода от тоталитарного общества к свободному. (Корни перестройки, как видите, можно обнаружить много раньше 80-х годов.) Статья не была напечатана, но естественно имела “последствия” для ее автора. Небольшое количество экземпляров ходило в “самиздате”; в 1976 г. статья была переработана в солидную книгу “Инерция страха. Социализм и тоталитаризм”, которая годом позже была опубликована в США на русском, а затем и на английском языках.

Одним из первых читателей “Инерции страха” был А. Д. Сахаров. С 1968 г. общественная деятельность этих людей протекала совместно. Именно по инициативе В. Ф. Турчина в 1970 г. было написано и направлено в правительство письмо, о котором рассказал А. Д. Сахаров в своих воспоминаниях. В письме обращалось внимание на необходимость либерализации и демократизации общества, поскольку без этого экономике страны угрожает полный крах.

Но вернемся к книге “Феномен науки”. Она была написана в 1970 г. по договору с издательством “Советская Россия”. Хотя она и собрала самые положительные рецензии, три года тянулась волокита с ее набором. В редакции “не понимали”, как можно положить на стол главного редактора книгу с такой последней главой. Слишком очевидным было противоречие духу марксистско-ленинской философии. И все же к 1973 г. книга была набрана и прошла стадию верстки. До выхода в свет оставалось совсем немного, но... началась кампания против А. Д. Сахарова. В центральной прессе публикуется открытое письмо, клеймящее его позором, за подписями 40 членов Академии наук... В. Ф. Турчин выступает на пресс-конференции перед иностранными корреспондентами в защиту А. Д. Сахарова. Вскоре после этого ему звонят и, извиняясь, объясняют, что в типографии то ли рухнула штукатурка с потолка, то ли рухнул весь потолок как раз на набор книги, то ли сам набор рухнул с полки на пол, но восстановить его нет никакой возможности. Вот некоторые обстоятельства, проливающие свет на то, почему переводы книги на английский и японский языки вышли много раньше русского оригинала.

В начале 1973 г. В. Ф. Турчин переходит в ЦНИПИАС (Центральный научно-исследовательский проектный институт автоматизации в строительстве) на должность заведующего лабораторией. Здесь сыграли роль два соображения. Во-первых, он считал свое новое место работы менее режимным и, следовательно, более совместимым с теми контактами, которые неизбежно возникали в связи с его правозащитной деятельностью. Во-вторых, в ЦНИПИАС были обещаны более широкие возможности для организационного оформления научной школы В. Ф. Турчина.

В апреле 1974 г. В. Ф. Турчин становится председателем московского отделения Amnesty International — группы “Международная амнистия”, выступающей в защиту узников совести во всех странах независимо от их политической системы. В том же 1974 г. ученый совет ЦНИПИАС не переаттестовывает его в должности, после чего его “клеймят позором” на собрании сотрудников и увольняют. Все дальнейшие попытки получить хоть какую-нибудь работу были тщетны. Семья с двумя сыновьями оказалась на зарплате жены Т. И. Турчиной — младшего научного сотрудника института Нефтехимсинтеза им. Губкина.

В декабре 1976 г. В. Ф. Турчин получает “последнее предупреждение” от КГБ: либо он уезжает, либо его ждет арест. Обыск и допросы к тому времени он уже прошел. В 1977 г. начались аресты членов Хельсинкской группы: Ю. Орлова, А. Гинзбурга, А. Щаранского и др. Хотя В. Ф. Турчин и не был формально членом Хельсинкской группы, но готовил материалы для нее и участвовал в пресс-конференции Хельсинкской группы в качестве представителя Международной амнистии. Пришлось делать “выбор”. Кто был близко знаком с В. Ф. Турчиным, знает, как он не хотел уезжать. Вот вкратце те обстоятельства, при которых наша наука потеряла Турчина, а американская — нашла.

Для полноты картины следует еще сказать, что В. Ф. Турчин — веселый, жизнерадостный, остроумный человек, блестящий рассказчик. Общение с ним — это всегда радость. Он был капитаном команды КВН города Обнинска в 1963 г., когда КВН только начинался. Команда под его водительством победила команду из Дубны! Он же был одним из составителей сборников “Физики шутят” и “Физики продолжают шутить”, доставляющих своим читателям много веселых минут и ставших давно библиографической редкостью.

Читатель! Вас ждет встреча с весьма неординарным автором, ученым и гражданином. Счастливого пути!

В заключение хочу выразить благодарность всем, кто содействовал изданию книги. Особую благодарность я выражаю нескольким людям. А. Б. Ходулев установил на компьютере и настроил систему LATEX, которой я пользовался при подготовке оригинал-макета книги. Он же был моим учителем по системе и безотказным консультантом. Т. Н. Малышева и Н. Б. Дзалаева взяли на себя очень большую работу по первоначальному вводу в компьютер текста книги (в системе LEXICON). Самую разнообразную помощь я получал от Анд.В. Климова, который, в частности, отлично выполнял функции “канала связи” с “удаленным” автором.

Коллега В. Ф. Турчина

по Институту прикладной математики

В. С. Штаркман

февраль 1992 г.

Предисловие


Русское издание этой книги выходит через двадцать с лишним лет после ее написания. За это время наука существенно продвинулась вперед. Достаточно вспомнить раскрытие генетического кода, открытия в астрофизике, новую теорию элементарных частиц. Персональные компьютеры вошли чуть ли не в каждый дом. Между тем книга выходит в том виде, в каком она была подготовлена к печати в 1970 г. Если бы я стал что-то добавлять к ней, то это превратилось бы, в конечном счете, в написание новой книги, гораздо большей по объему, и она включала бы в себя старую практически целиком и без перемен. Ибо основная тема книги — Эволюция Вселенной как последовательность метасистемных переходов — не пострадала от времени. Напротив, появились новые указания на плодотворность этого подхода. В настоящее время мы с группой коллег начали работу над проектом PRINCIPIA CYBERNETICA, который включает дальнейшее развитие этих идей. Некоторое представление об этом проекте дает написанная мною совместно с Клиффом Джослиным статья “Кибернетический манифест”. Эта статья также включает краткое изложение основных идей книги и включена в качестве приложения к настоящему изданию.

“Феномен науки” вышел в английском и японском переводах. Я очень рад, что он может, наконец, выйти и в русском оригинале.

Одно место в “Феномене науки” требует комментария в свете последних достижений физики. В разделе “Сумасшедшие теории и метанаука” я высказал мысль, что для того, чтобы разрешить трудности в современной теории элементарных частиц, надо разработать методы “метанауки”, т. е. теории о том, как строить теории. Причину я усматривал в том, что основные понятия физики на ранних стадиях ее развития брались из нашей интуиции макроскопического мира. Но для познания законов микромира (а точнее, для построения математических моделей этого мира) наша “макроскопическая” интуиция неадекватна. Если интуиция не дает нам впрямую тех “колесиков”, из которых можно строить модели микромира, то нам нужны какие-то теории о том, как эти колесики выбирать и как модели строить. Это и будет метанаука.

С тех пор как была написана моя книга, физика элементарных частиц сделала огромный шаг вперед — и без всякой метанауки, а лишь на основе старой идеи, что одни частицы могут как бы состоять из других, более элементарных частиц. Тем не менее я полагаю, что моя логика остается в силе, и если не на данной, то на какой-то последующей стадии развития точных наук метатеоретические методы докажут свою плодовитость.

В. Ф. Турчин

Обнинск, август 1990 г.

Введение


Что такое научное познание действительности? Ответить на этот вопрос с научной же точки зрения — значит взглянуть на человечество как бы со стороны, из космического пространства. Тогда люди предстанут в виде определенного рода материальных образований, совершающих определенные действия, в частности произносящих какие-то слова и пишущих какие-то знаки. Как возникают эти действия в процессе эволюции жизни? Можно ли объяснить их появление на основе каких-то общих принципов, относящихся к процессу эволюции? Что представляет собой научная деятельность в свете этих общих принципов? Таковы те вопросы, на которые мы попытаемся ответить в этой книге.

Принципы, столь общие, что они применимы как к развитию науки, так и к биологической эволюции, требуют для своего выражения столь же общих понятий. Такие понятия дает кибернетика — наука о связях, управлении и организации в объектах любой природы. В кибернетических понятиях с равным успехом описываются явления физико-химические, биологические, социальные. Именно развитие кибернетики и особенно ее успехи в описании и моделировании целенаправленного поведения и распознавания понятий сделали возможным написание этой книги. Поэтому более точно ее предмет можно определить так: кибернетический подход к науке как к изучаемому явлению.

Идейным стержнем книги является понятие о метасистемном переходе, т. е. переходе от кибернетической системы к метасистеме, включающей в себя множество систем типа исходной, организованных и управляемых определенным образом. Сначала это понятие было положено автором в основу анализа развития знаковых систем, используемых наукой. Затем, однако, оказалось, что исследование под этим углом зрения всей эволюции жизни на Земле позволяет воссоздать связную и подчиненную единым закономерностям картину или, лучше сказать, киноленту, которая начинается с первых живых клеток и кончается современными научными теориями и системой промышленного производства. Эта кинолента указывает, в частности, место феномена науки в ряду других явлений мира и раскрывает его значение на фоне общей картины эволюции Вселенной. Так возник замысел настоящей книги. Сколь убедительно нарисована картина, мы предоставим судить читателю.

В соответствии с замыслом книги в ней излагается много фактов и концепций, которые весьма разнородны. Одни из фактов хорошо известны, о таких мы стараемся говорить кратко, приводя их в систему и соотнося с основной идеей книги. Другие факты менее известны, тогда мы останавливаемся на них подробнее. То же относится и к концепциям: некоторые общеприняты, другие менее известны и, возможно, спорны. Разнородность материала приводит также к тому, что разные разделы книги требуют от читателя различных усилий. Одни из них описательны и легки для чтения. В других местах, приходится углубляться в довольно специальные вопросы. Поскольку книга рассчитана на широкий круг читателей и не предполагает познаний вне рамок программы средней школы, мы во всех таких случаях сообщаем читателю необходимые теоретические сведения. Эти страницы потребуют от неподготовленного читателя определенной работы.

Важное место в книге отводится проблемам теории познания и логики; они трактуются, конечно, с кибернетических позиций. Кибернетика сейчас ведет наступление на традиционную философскую гносеологию, давая новую, естественно-научную интерпретацию одним ее понятиям и отвергая другие как несостоятельные. Некоторые философы противятся этому наступлению, считая его посягательством на свою территорию. Они обвиняют кибернетиков в “огрублении” и “упрощении” истины, в игнорировании “принципиального различия” между формами движения материи (и это несмотря на тезис о единстве мира!). Но философ, которому чуждо землевладельческое отношение к различным областям знания, должен приветствовать атаки кибернетиков. В свое время развитие физики и астрономии уничтожило натурфилософию, избавив философов от необходимости говорить приблизительно о том, о чем ученые могут говорить точно. Очевидно, развитие кибернетики сделает то же с философской гносеологией или — скажем более осторожно — со значительной ее частью. Этому надо только радоваться. У философов всегда будет достаточно своих забот: наука избавляет их от одних, но доставляет другие.

Так как книга посвящена науке в целом как определенному способу взаимодействия человеческого общества с окружающей средой, в ней почти ничего не говорится о конкретных естественнонаучных дисциплинах; изложение остается целиком на уровне понятий кибернетики, логики и математики, которые общезначимы для всей современной науки. Исключение делается только для некоторых представлений современной физики, имеющих принципиальную важность для теории знаковых систем. В нашу задачу не входит также конкретный анализ взаимодействия науки с производством и общественной жизнью. Это отдельный вопрос, которому посвящена обширная литература; мы и здесь остаемся на уровне общих понятий кибернетики.

Попытки соединить в целостной картине большое количество материала из различных областей знания всегда чреваты опасностью искажения деталей, ибо человек не может быть специалистом во всем. Поскольку данная книга является именно такой попыткой, весьма вероятно, что специалисты в затронутых здесь областях науки найдут в ней упущения и неточности. Ничего не поделаешь, такова цена, которую приходится платить за картины с большим охватом, но такие картины необходимы. Автору остается только надеяться, что картина, нарисованная в этой книге, содержит лишь такие погрешности в деталях, которые могут быть устранены без ущерба для картины в целом.

Глава 1. Начальные стадии эволюции


1.1. Основной закон эволюции


В процессе эволюции жизни, насколько нам известно, всегда происходило и происходит сейчас увеличение общей массы живого вещества и усложнение его организации. Усложняя организацию биологических образований, природа действует по методу проб и ошибок. Существующие образования воспроизводятся во многих экземплярах, которые, однако, не вполне тождественны оригиналу, а отличаются от него наличием небольших случайных вариаций. Эти экземпляры служат затем материалом для естественного отбора. Они могут выступать и как отдельные живые существа — тогда отбор приводит к закреплению полезных вариаций, и как элементы более сложного образования — тогда отбор направлен также и на структуру нового образования (например, при возникновении многоклеточных организмов). И в том и в другом случае отбор является результатом борьбы за существование, в которой более жизнеспособные образования вытесняют менее жизнеспособные.

Этот механизм развития жизни, открытый Чарльзом Дарвином, можно назвать основным законом эволюции. В наши цели не входит обоснование или обсуждение этого закона с точки зрения тех законов природы, которые можно было бы провозгласить более фундаментальными. Будем принимать основной закон эволюции как нечто данное.

1.2. Химическая эра


Историю жизни до появления человека можно разбить на два периода, которые мы назовем «химической» эрой и «кибернетической» эрой. Границей между ними служит появление животных с четко оформленной нервной системой, включающей органы чувств, нервные волокна для передачи информации и нервные узлы для ее преобразования. Такая терминология не означает, конечно, что понятия и методы кибернетики неприменимы к жизни «химической» эры; просто животное «кибернетической» эры является классическим объектом кибернетики, на котором она возникла и оформилась как научная дисциплина.

Историю и логику эволюции в докибернетическом периоде мы рассмотрим лишь бегло, ссылаясь на воззрения современных биологов1. В этом периоде можно выделить три этапа.

На первом этапе закладываются химические основы жизни, образуются макромолекулы нуклеиновых кислот и белков, обладающие свойством редупликации — снятия копий, «отпечатков», когда одна макромолекула служит матрицей для синтеза из элементарных радикалов подобной ей макромолекулы. Основной закон эволюции, который вступает в действие на этом этапе, приводит к тому, что матрицы, обладающие большей интенсивностью воспроизведения, получают преимущество перед матрицами с меньшей интенсивностью воспроизведения, в результате чего образуются все более сложные и активные макромолекулы и системы макромолекул. Биосинтез требует свободной энергии. Первичным ее источником является солнечное излучение. Продукты частичного распада живых образований, непосредственно использующих солнечную энергию (фотосинтез), также содержат некоторый запас свободной энергии, который может быть реализован с помощью уже имеющейся химии макромолекулы. Он и реализуется специальными образованиями, для которых продукты распада служат вторичным источником свободной энергии. Так возникает расслоение жизни на растительный и животный миры.

Второй этап эволюции — возникновение и развитие у животных двигательного аппарата.

В характеристике доступа к источнику энергии есть существенное различие между растениями и животными. При данной освещенности интенсивность поглощения солнечной энергии зависит только от величины поверхности растения, но никак не от того, движется оно или покоится. Совершенствование растений пошло по пути создания выносных светоуловителей — зеленых листьев, крепящихся на системе опор и стрел — стеблей, веток и т. п. Конструкция эта отлично работает, обеспечивая медленное перемещение зеленых поверхностей к свету, отвечающее медленному изменению освещенности.

Совсем другое положение у животного, в частности, у самого примитивного животного, например, амебы. Источник энергии — пища — заполняет среду вокруг него. Приток энергии определяется скоростью диффузии пищевых молекул через оболочку, отделяющую пищеварительный аппарат от внешней среды. Скорость диффузии зависит не только — и даже не столько — от величины поверхности пищеварительного аппарата, сколько от движения этой поверхности относительно среды, дающего возможность выедать пищу из различных ее участков. Поэтому даже простое хаотическое движение в среде или, напротив, движение среды относительно организма (так делают, например, губки, прогоняя через себя воду с помощью ресничек) имеет большое значение для примитивного животного и, следовательно, появляется в процессе эволюции. Возникают специальные образования (внутриклеточные — у одноклеточных организмов и содержащие группы клеток — у многоклеточных), основной функцией которых является производство движения.

На третьем этапе эволюции движения животных становятся направленными, и у них появляются зачатки органов чувств и нервной системы. Это также является естественным следствием основного закона. Животному выгоднее двигаться в том направлении, где концентрация пищи выше, а чтобы осуществить это движение, надо иметь датчики, характеризующие состояние внешней среды в различных направлениях (органы чувств), и информационные каналы связи между этими датчиками и двигательным аппаратом (нервная система). Вначале нервная система чрезвычайно примитивна. Органы чувств различают лишь несколько ситуаций, на которые животное должно реагировать по-разному. Объем информации, который передает нервная система, ничтожен. Специальный аппарат для обработки информации отсутствует. С течением времени органы чувств усложняются и поставляют все больше информации о внешнем мире. Одновременно совершенствуется двигательный аппарат. Это предъявляет все увеличивающиеся требования к пропускной способности нервной системы. Появляются специальные образования — нервные узлы, которые перерабатывают информацию, поступающую от органов чувств, в информацию, управляющую органами движения. Начинается новая — «кибернетическая» эра.

1.3. Кибернетика


Анализ эволюции в кибернетический период, вскрытие законов, по которым происходит усложнение организации живых существ этого периода — мы будем для краткости называть их «кибернетическими животными», — требует введения некоторых фундаментальных понятий и законов кибернетики.

Сам термин «кибернетика« ввел, как известно, Норберт Винер, определив его описательно как учение о связях и управлении в живом организме и машине. Чтобы более точно дать определение кибернетики, как и всякой научной дисциплины, мы должны ввести ее основные понятия. Собственно говоря, ввести основные понятия — это и значит уже определить данную науку, ибо остается только добавить: описание мира с помощью этой вот системы понятий и есть данная конкретная наука.

В основе кибернетики лежит прежде всего понятие системы как некоторого материального объекта, состоящего из других объектов, называемых подсистемами данной системы. Подсистема некоторой системы, в свою очередь, может рассматриваться как система, состоящая из подсистем. Поэтому, если быть точным, смысл введенного нами понятия заключается не в термине «система» самом по себе, т. е. не в приписывании некоторому объекту свойства «быть системой», что довольно бессодержательно, ибо каждый объект может считаться системой, а в связи между терминами «система» и «подсистема», отражающей определенное отношение объектов.

Второе важнейшее понятие кибернетики — понятие состояния системы (подсистемы). Подобно тому как понятие системы непосредственно опирается на нашу пространственную интуицию, понятие состояния непосредственно опирается на нашу интуицию времени, и его невозможно определить иначе, как сославшись на опыт. Когда мы видим, что объект в чем-то изменился, мы говорим, что он перешел в другое состояние. Как и понятие системы, понятие состояния является скрытым отношением — отношением между двумя моментами времени. Если бы мир был неподвижным, понятие состояния не могло бы возникнуть, и в тех дисциплинах, где мир рассматривается статически, например, в геометрии, понятие состояния отсутствует.

Кибернетика изучает организацию систем в пространстве и времени, т. е. то, каким образом связаны подсистемы в систему и как влияет изменение состояния одних подсистем на состояние других подсистем. Основной упор делается, конечно, на организацию во времени, которая в случае, когда она целенаправленна, называется управлением. Причины связи между состояниями системы и вытекающие отсюда особенности ее поведения во времени часто называют заимствованным из физики термином динамика системы. Этот термин в применении к кибернетике неудачен, так как, говоря о динамике системы, мы склонны рассматривать ее как нечто целое, в то время как в кибернетике главным является исследование воздействия друг на друга подсистем, образующих данную систему. Поэтому мы предпочитаем говорить об организации во времени, употребляя термин динамическое описание только тогда, когда его нужно противопоставить статическому описанию, учитывающему лишь пространственные отношения между подсистемами.

Кибернетическое описание может иметь различный уровень детализации. Одну и ту же систему можно описывать либо в общих чертах, разбив ее на несколько крупных подсистем, «блоков», либо более детально, описав строение и внутренние связи каждого блока. Но так или иначе кибернетическое описание всегда имеет какой-то конечный уровень, глубже которого оно не распространяется. Подсистемы этого уровня рассматриваются как элементарные, не разложимые на составные части. Реальная физическая природа элементарных подсистем кибернетика не интересует, ему важно только, как они связаны между собой. Два физических объекта могут радикально отличаться друг от друга по своей природе, но если на каком-то уровне кибернетического описания они организованы из подсистем одинаково (с учетом динамического аспекта!), то с точки зрения кибернетики их можно считать — на данном уровне описания — тождественными. Поэтому одни и те же кибернетические соображения могут быть применимы к таким разным объектам, как радиотехническая схема, программа для вычислительной машины или нервная система животного.

1.4. Дискретные и непрерывные системы


Состояние системы определяется через совокупность состояний всех ее подсистем, т. е. в конечном счете элементарных подсистем. Элементарные подсистемы бывают двух типов: с конечным и бесконечным числом возможных состояний. Подсистемы первого типа называют также подсистемами с дискретными состояниями, второго типа — с непрерывными состояниями. Примером подсистемы с дискретными состояниями может служить колесико арифмометра или счетчика в такси. Нормально это колесико находится в одном из десяти положений, соответствующих десяти цифрам от 0 до 9. Время от времени оно поворачивается и переходит из одного состояния в другое. Этот процесс поворота нас мало интересует. Правильная работа системы (арифмометра, счетчика) зависит только от того, как связаны между собой «нормальные» положения колесиков, а как происходит переход из одного положения (состояния) в другое — несущественно. Поэтому мы и можем рассматривать арифмометр как систему, элементарные подсистемы которой могут находиться только в дискретных состояниях. Современная быстродействующая цифровая вычислительная машина также состоит из подсистем (триггерных схем) с дискретными состояниями. Все, что мы знаем в настоящее время о нервной системе животных и человека, указывает на то, чторешающую роль в ее работе играет взаимодействие подсистем (нейронов) с дискретными состояниями.

С другой стороны, человек, катящийся на велосипеде, или аналогичная вычислительная машина дают нам примеры систем, которые описываются как состоящие из подсистем с непрерывными состояниями. В случае велосипедиста таковыми являются все движущиеся друг относительно друга части велосипеда и человеческого тела: колеса, педали, руль, ноги, руки и т. д. Их состояния — это их положения в пространстве, описывающиеся координатами (числами), которые могут принимать непрерывные множества значений.

Если система состоит исключительно из подсистем с дискретными состояниями, то и сама она может находиться лишь в конечном числе состояний, т. е. является системой с дискретными состояниями. Такие системы мы будем называть просто дискретными системами, а системы с непрерывным множеством состояний — непрерывными. Дискретные системы во многих отношениях проще для анализа, чем непрерывные. В частности, пересчет числа возможных состояний системы, который играет важную роль в кибернетике, требует в дискретном случае лишь знания элементарной арифметики. Пусть дискретная система A состоит из двух подсистем a1 и a2, причем подсистема a1 может иметь n2, а подсистема a2n2 возможных состояний. Допуская, что каждое состояние системы a1 может сочетаться с каждым состоянием системы a2, мы находим, что число N возможных состояний системы A есть n1n2. Если система A состоит из m подсистем ai, где i = 1, 2, ..., m, то

N = n1n2...nm.

В дальнейшем мы будем рассматривать только дискретные системы. Кроме того прагматического соображения, что они принципиально проще, чем непрерывные системы, существует еще два довода в пользу целесообразности такого ограничения.

Во-первых, все непрерывные системы можно, в принципе, рассматривать как дискретные системы с чрезвычайно большим числом состояний. В свете тех знаний, которые дала нам квантовая физика, такой подход даже следует рассматривать как теоретически более правильный. Причина, по которой непрерывные системы все же не исчезают из кибернетики, — это наличие весьма совершенного аппарата — математического анализа и, в первую очередь, дифференциальных уравнений для рассмотрения таких систем.

Во-вторых, самые сложные кибернетические системы, как возникшие естественным путем, так и созданные руками человека, неизменно оказываются дискретными. Особенно наглядно это видно на примере животных. Относительно простые биохимические механизмы, регулирующие температуру тела, содержание в крови различных веществ и т.п., являются непрерывными, но нервная система устроена по дискретному принципу.

1.5. Надежность дискретных систем


Почему же, когда необходимо выполнять сложные функции, дискретные системы оказываются предпочтительнее, чем непрерывные? Потому что они отличаются более высокой надежностью. В кибернетическом устройстве, основанном на принципе дискретных состояний, каждая элементарная подсистема может находиться лишь в небольшом числе возможных состояний, поэтому она, как правило, игнорирует малые отклонения от нормы различных физических параметров системы, восстанавливая «в первозданной чистоте» одно из своих допустимых состояний. В то же время в непрерывной системе малые возмущения непрерывно накапливаются и, если система слишком сложна, она перестает правильно работать. Конечно, и в дискретной системе всегда существует возможность сбоя, ибо небольшие изменения физических параметров все-таки приводят к конечной вероятности перехода подсистемы в «неправильное» состояние. И все-таки преимущество, бесспорно, на стороне дискретных систем. Покажем это на следующем простом примере.

Пусть нам надо передать сообщение с помощью электрического провода на расстояние, скажем, 100 км. И пусть через каждый километр провода мы имеем возможность поставить автоматическую станцию, которая будет усиливать сигнал до той мощности, которую он имеет на предыдущей станции, и — если нужно — как-то преобразовывать его (рис. 1.1).

Допустим, что максимальная величина сигнала, который позволяет послать наша аппаратура, составляет 1 В и что среднеквадратичное искажение сигнала при передаче от станции к станции (помеха) равно 0,1 В.

Рассмотрим сначала непрерывный способ передачи информации. Тогда содержанием сообщения будет величина напряжения, приложенного к проводу у его начала. Величина напряжения на другом конце провода — принятое сообщение — будет из-за помех отличаться от начального напряжения. Как велико будет это отличие? Считая помехи на различных участках линии независимыми, мы находим, что после прохождения ста станций среднеквадратичная величина помехи составит 1 В (складываются средние квадраты помех). Таким образом, помеха в среднем равна максимальному сигналу, поэтому ясно, что никакой полезной информации мы фактически не получим. Значение принятого напряжения может совпадать со значением переданного напряжения разве что случайно. Если, например, нас устраивает точность в 0,1 В, то вероятность такого совпадения равна примерно 1/10.

Теперь рассмотрим дискретный способ передачи. Определим два «осмысленных» состояния начального участка провода: когда приложенное напряжение равно нулю и когда оно максимально (1 В). На промежуточных станциях установим автоматические устройства, которые в одном случае, если принято напряжение меньше 0,5 В, передают дальше нулевое напряжение, а если оно больше 0,5 В, посылают нормальный сигнал в 1 В. Следовательно, в данном случае за один раз (одним сигналом) передается информация вида «да» или «нет» (такое количество информации — единица информации — называется 1 бит). Какова вероятность получения правильной информации? Она сильно зависит от закона распределения вероятности для величины помехи. Как правило, помехи подчиняются так называемому нормальному закону. Приняв этот закон, можно найти, что вероятность ошибки при передаче от предыдущей станции к следующей (равная вероятности того, что помеха превысит 0,5 В) равна 0,25×10-6. Следовательно, вероятность ошибки при передаче на всю длину линии есть 0,25×10-4. Чтобы передать то же сообщение, что и в предыдущем случае, т.е. значение с точностью до 0,1 некоторой величины, лежащей в пределах от 0 до 1, нам достаточно послать четыре сигнала вида «да» или «нет». Вероятность того, что хотя бы в одном из сигналов будет допущена ошибка, равна 10-4. Итак, полная вероятность ошибки при дискретном способе составляет 0,01% против 90% при непрерывном способе.

1.6. Информация


Начав описывать конкретную кибернетическую систему, мы невольно употребляем термин информация, который в своем разговорном, неформальном значении хорошо знаком и понятен каждому культурному человеку. Теперь мы введем кибернетическое понятие информации, имеющее точный количественный смысл.

Представим себе две подсистемы A и B (рис. 1.2), связанные между собой таким образом, что изменение состояния системы A влечет изменение состояния системы B. Это можно выразить такими словами: подсистема A воздействует на подсистему B.

Рассмотрим подсистемы B в некоторый момент времени t1 и в более поздний момент времени t2. Первое обозначим через S1, второе — через S2. Cостояние S2 зависит от состояния S1. Однако оно не определяется состоянием S1 однозначно, а зависит от него вероятностным образом, ибо мы рассматриваем не идеализированную теоретическую систему, подчиняющуюся детерминистическому закону движения, а реальную систему, состояния которой S суть результаты опытных данных. При таком подходе тоже можно говорить о законе движения, понимая его в вероятностном смысле, т. е. как условную вероятность состояния S2 в момент t2 при условии, что в момент t1 система имела состояние S1. Теперь забудем на минуту о законе движения. Обозначим через N полное число возможных состояний подсистемы B и будем представлять себе дело таким образом, что в любой момент времени подсистема B может с равной вероятностью принять любое из N состояний независимо от того, какое состояние она имела в предыдущий момент. Попытаемся количественно выразить степень (или силу) причинно-следственного влияния подсистемы A на такую безынерционную и «беззаконную» подсистему B. Пусть B под действием A переходит в некоторое совершенно определенное состояние. Ясно, что «сила влияния», которая требуется для этого от A, зависит от числа N и тем больше, чем больше N. Если, например, N = 2, то система B, даже будучи совершенно не связана с A, под действием каких-то случайных причин может с вероятностью 1/2 перейти в то самое состояние, которое «рекомендует» система A. Если же N = 109, то, заметив такое совпадение, мы вряд ли усомнимся во влиянии A на B. Следовательно, мерой «силы влияния» A на B в данном единичном акте, т. е. по существу мерой интенсивности причинно-следственной связи между двумя событиями — состоянием подсистемы A в интервале времени от t1 до t2 и состоянием подсистемы B в момент t2 — должна служить какая-то монотонно возрастающая функция N. В кибернетике эта мера называется количеством информации, переданной от A к B между моментами времени t1 и t2, а монотонно возрастающей функцией служит логарифм. Итак, в нашем примере количество информации I, переданное от A к B, равно log N.

Выбор логарифмической функции определяется тем ее свойством, что

log N1 N2 = log N1 + log N2.

Пусть система A действует на систему B, состоящую из двух независимых подсистем B1 и B2 с возможным числом состояний N1 и N2 соответственно (рис. 1.3). Тогда число состояний системы B есть N1×N2, а количество информации I, которое надо передать системе B, чтобы она приняла одно определенное состояние, есть благодаря указанному свойству логарифма сумма

I = log N1 N2 = log N1 + log N2 = I1 + I2,

где I1 и I2 — количества информации, потребные подсистемам B1 и B2. Благодаря этому свойству информация принимает определенные черты субстанции, она распределяется по независимым подсистемам подобно жидкости, разливающейся по сосудам. Мы говорим о слиянии и разделении информационных потоков, об информационной емкости, о переработке информации и ее хранении.

Вопрос о хранении информации связан с вопросом о законе движения. Выше мы мысленно отключили закон движения, чтобы определить понятие передачи информации. Если мы теперь рассмотрим закон движения с новой точки зрения, то он сводится к передаче информации от системы B в момент времени t1 к той же самой системе B в момент t2. Если состояние системы не меняется с течением времени, то это и есть хранение информации. Если состояние S2 однозначно определяется состоянием S1 в предыдущий момент времени, то систему называют полностью детерминированной. Если имеет место однозначная зависимость S1 от S2, то систему называют обратимой; для обратимой системы можно, в принципе, по заданному состоянию вычислить все предыдущие состояния, поэтому потери информации не происходит. Если система необратима, информация теряется. Закон движения в сущности есть нечто, регулирующее поток информации во времени от системы к ней самой.

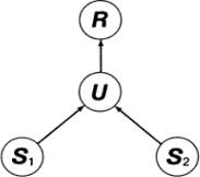
На рис. 1.4 изображена схема передачи информации от системы A к системе C через систему B. Эта последняя носит название канала связи. На состояние B может влиять не только состояние системы A, но еще какой-либо не поддающийся контролю фактор X, называемый помехой. Конечное состояние системы C в этом случае зависит не только от состояния A, но и от фактора Х (искажение информации). Еще одна важная схема обмена информации изображена на рис. 1.5. Это так называемая схема обратной связи. Состояние системы A в момент времени t1 влияет на состояние B в момент времени t2, а это последнее влияет на состояние системы A в момент времени t3. Путь информации замыкается.

На этом мы пока ограничим наше знакомство с общими понятиями кибернетики и вернемся к эволюции жизни на Земле.

1.7. Нейрон


Внешний вид нервной клетки (нейрона) показан схематически на рис. 1.6. Нейрон состоит из довольно крупного (до 0,1 мм) тела, от которого отходят несколько отростков — дендритов, дающих начало все более и более тонким отросткам, подобно ветвям дерева. Кроме дендритов, от тела нервной клетки отходит еще один отросток — аксон, напоминающий длинный тонкий провод. Аксоны бывают очень длинны — до метра — и заканчиваются, подобно дендритам, древовидным разветвлением. На концах веточек, отходящих от аксона, можно видеть маленькие пластинки или луковички. Луковички одного нейрона близко подходят к различным участкам тела или дендритов другого нейрона, почти прикасаясь к ним. Эти контакты носят название синапсов; через них нейроны взаимодействуют друг с другом. Число луковичек, подходящих к дендритам одного нейрона, может исчисляться десятками и даже сотнями. Таким образом, нейроны очень тесно связаны друг с другом; они образуют нервную сеть.

С точки зрения физико-химических свойств, в первую очередь распределения электрического потенциала по поверхности клетки, нейрон может находиться в одном из двух состояний, которые называют состояниями покоя или возбуждения, и время от времени нейрон под воздействием других нейронов или ка­ких-либо внешних факторов переходит из одного состояния в другое. Этот процесс, конечно, занимает некоторое время, так что исследователь, изучающий, например, динамику электрического состояния нейрона, рассматривает его как систему с непрерывными состояниями. Однако, сведения, которыми мы располагаем в настоящее время, указывают на то, что для работы нервной системы в целом существенным является не характер переходных процессов, а самый факт нахождения тех или иных нейронов в спокойном или возбужденном состоянии. Поэтому можно считать, что нервная сеть — это дискретная система, состоящая из элементарных подсистем — нейронов — с двумя состояниями.

Когда нейрон возбуждается, волна электрического потенциала бежит по аксону и доходит до луковичек на его разветвленных концах. С луковичек через синапсы возбуждение передается на соответствующие участки клеточной поверхности других нейронов. Поведение нейрона зависит от состояния, в котором находятся его синапсы. Простейшая модель функционирования нервной сети исходит из предположения, что состояние нейрона в каждый момент времени есть однозначная функция состояния его синапсов. Экспериментально установлено, что возбуждение одних синапсов способствует возбуждению клетки, другие синапсы, напротив, будучи возбуждены, препятствуют возбуждению в клетке. Наконец, некоторые синапсы могут вовсе не проводить возбуждение от луковичек и, следовательно, не влиять на состояние нейрона. Установлено также, что проводимость синапса увеличивается после первого прохождения через него возбуждения и нескольких следующих прохождений. Происходит как бы замыкание контакта. Это объясняет, каким образом без изменения положения нейронов друг относительно друга может меняться система связей между нейронами и, следовательно, характер функционирования нервной сети.

Представление о нейроне как о мгновенном переработчике информации, поступающей от синапсов, является, конечно, сильно упрощенным. Нейрон, как и всякая клетка, — сложная машина, работа которой еще мало изучена. Эта машина обладает большой внутренней памятью, поэтому ее реакции на внешнее воздействие могут отличаться большим разнообразием. Однако, чтобы понять общие закономерности работы нервной системы, мы можем отвлечься от этих сложностей (у нас, собственно говоря, нет другого выхода!) и исходить из очерченной выше простой модели.

1.8. Нервная сеть


Общая схема нервной системы «кибернетического животного» в его взаимодействии с внешней средой представлена на рис. 1.7. Чувствительные нервные клетки, возбуждающиеся под действием внешних факторов, носят название рецепторов (т. е. получателей), ибо они служат первичным приемником информации о состоянии внешней среды. Эта информация поступает в нервную сеть и перерабатывается ею. В результате возбуждаются некоторые из нервных клеток, называемых эффекторами. Разветвления эффекторных клеток пронизывают те ткани организма, на которые нервная система оказывает непосредственное влияние. Возбуждение эффектора вызывает сокращение соответствующей мышцы или стимулирует деятельность соответствующей железы. Состояние всех рецепторов в некоторый момент времени назовем ситуацией в этот момент. (Точнее было бы говорить «результат воздействия ситуации на органы чувств», но это слишком длинно.) Состояние всех эффекторов назовем действием. Следовательно, роль нервной сети сводится к преобразованию ситуации в действие.

Под «средой» на рис. 1.7 удобно понимать не только предметы, окружающие животное, но также и его костно-мышечную систему и вообще все то, что не входит в состав нервной системы. Это снимает необходимость изображать на схеме отдельно тело животного и «не тело», тем более что никакого принципиального значения для деятельности нервной системы это разграничение не имеет. Важно лишь то, что возбуждение эффекторов приводит к определенным переменам в «среде». При том общем подходе к проблеме, который лежит в основе нашего рассмотрения, нам достаточно квалифицировать эти изменения как «полезные» или «вредные» для животного, не вдаваясь в дальнейшие подробности.

Какова задача нервной системы? Способствовать выживанию и размножению животного. Нервная система работает хорошо, когда возбуждение эффекторов приводит к полезным с этой точки зрения изменениям состояния среды, и плохо — в противном случае. Совершенствуясь в процессе эволюции, нервная система выполняет эту задачу все лучше и лучше. Каким образом это удается? Каким законам подчиняется процесс ее совершенствования?

Мы попытаемся ответить на эти вопросы, выделив в эволюции нервной системы животных несколько этапов, четко отличающихся между собой с кибернетической точки зрения, и показав, что из основного закона эволюции следует неизбежность перехода от каждого предыдущего этапа к каждому последующему. Так как в кибернетическую эру эволюция живых существ — это прежде всего эволюция их нервной системы, периодизация развития нервной системы дает периодизацию развития жизни в целом.

1.9. Простой рефлекс (раздражимость)


Простейший вариант нервной сети — это вообще ее отсутствие. В этом случае рецепторы непосредственно связаны с эффекторами и возбуждение с одного или нескольких рецепторов передается на один или несколько эффекторов. Такую прямую связь между возбуждением рецептора и эффектора мы назовем простым рефлексом.

Этот этап — третий по нашей сквозной нумерации этапов эволюции — является пограничным между химической и кибернетической эрами. Тип кишечнополостных представляет животных, застывших на уровне простого рефлекса. Возьмем, например, гидру, которую изучают в школе как типичного представителя кишечнополостных. Тело гидры (рис. 1.8) имеет вид удлиненного мешочка. Его внутренность — кишечная полость — сообщается с внешней средой через ротовое отверстие, окруженное несколькими щупальцами. Стенки мешочка состоят из двух слоев клеток: внутреннего (энтодерма) и внешнего (эктодерма). И в эктодерме, и в энтодерме много мышечных клеток, содержащих волоконца, которые могут сокращаться, приводя тело гидры в движение. Кроме того, в эктодерме есть и нервные клетки, причем клетки, расположенные ближе всего к поверхности, — это рецепторы, а клетки, заложенные глубже, среди мышц, — эффекторы. Если к гидре прикоснуться иглой, она сжимается в комочек. Это простой рефлекс, вызванный передачей возбуждения от рецепторов к эффекторам.

Но гидра способна и к гораздо более сложному поведению. Захватив добычу, она подтягивает ее щупальцами к ротовому отверстию и заглатывает. Такое поведение тоже можно объяснить совокупным действием простых рефлексов, связывающих эффекторы и рецепторы локально — в пределах большого участка тела. Например, следующая модель щупальца объясняет его способность обвиваться вокруг падающих предметов (рис. 1.9). Представим себе некоторое количество звеньев, соединенных между собой шарнирами (для простоты рассматриваем плоскую картину). Точки A и B, A' и B', B и C, В' и C' и т. д. соединены между собой тяжами, которые могут сокращаться (мышцы). Все эти точки являются чувствительными, возбуждаясь от прикосновения к предмету (рецепторы). Возбуждение каждой точки приводит к сокращению двух соседних с нею тяжей (рефлекс).

1.10. Сложный рефлекс


Простая рефлекторная связь между возбудимой и мышечной клетками естественно возникает в процессе эволюции по методу проб и ошибок: если оказывается, что корреляция между возбуждением одной клетки и сокращением другой полезна для животного, то эта корреляция устанавливается и закрепляется. При механическом копировании связанных клеток в процессе роста и размножения природа получает систему параллельно действующих простых рефлексов, подобную щупальцу гидры. Но когда в ее (природы) распоряжении оказывается множество рецепторов и эффекторов, связанных попарно или локально, у нее «возникает искушение» усложнить систему связей путем введения промежуточных нейронов. Выгодность этого следует из того, что при наличии системы связей между всеми нейронами становятся возможными такие формы поведения, которые невозможны при ограничении парными или локальными связями. Последнее утверждение можно доказать простым подсчетом всевозможных способов преобразования ситуации в действие при том и другом способах связи. Пусть, например, у нас есть n попарно связанных рецепторов и эффекторов. Связь в каждой паре может быть либо положительная (возбуждение вызывает возбуждение, покой — покой), либо отрицательная (возбуждение вызывает покой, покой — возбуждение). Следовательно, всего возможно 2n вариантов связи, т. е. 2n вариантов поведения. Если же предположить, что система связей может быть произвольная, т. е. состояние возбуждения или покоя каждого эффектора может произвольным образом зависеть от состояния всех рецепторов, то подсчет всевозможных вариантов поведения приводит к числу 2(2n)n, неизмеримо большему, чем 2n. Совершенно такой же расчет приводит к заключению, что объединение любых подсистем, связывающих независимо друг от друга группы рецепторов и эффекторов в единую систему, всегда приводит к огромному возрастанию числа возможных вариантов поведения. Поэтому на протяжении всей истории жизни эволюция нервной системы проходит под знаком увеличения централизации.

Однако централизация централизации рознь. Если связать все нейроны в один бессмысленно запутанный клубок, то, несмотря на крайнюю «централизованность» такой системы, она вряд ли будет иметь шансы выжить в борьбе за существование. Централизация ставит следующую проблему: как из всех мыслимых способов соединения многих рецепторов с многими эффекторами (с помощью промежуточных нейронов, если потребуется) выбрать такой способ, который будет каждой ситуации сопоставлять правильное, т. е. полезное для выживания и размножения, действие? Ведь подавляющее большинство способов соединения не обладает этим свойством.

Мы знаем, что каждый новый шаг на пути усложнения живых структур природа делает по методу проб и ошибок. Посмотрим, что дает непосредственное применение метода проб и ошибок к нашей проблеме. Рассмотрим для примера небольшую систему из ста рецепторов и ста эффекторов. Допустим, что в нашем распоряжении сколько угодно нейронов для создания промежуточной нервной сети и что мы умеем легко определять, дает ли данный способ соединения нейронов правильную реакцию на каждую ситуацию. Будем перебирать все мыслимые способы, пока не натолкнемся на нужный. При n = 100 число функционально различных нервных сетей между n рецепторами и n эффекторами есть

2(2n)n ≈ 10(1032).

Число это невообразимо велико. Перебор такого числа вариантов недоступен не только нам, но и нашей матушке-природе. Если бы каждый атом во всей видимой нами части Вселенной занимался просмотром вариантов и перебирал бы их со скоростью миллиард штук в секунду, то и за миллиард миллиардов лет (а наша Земля существует не более десяти миллиардов лет) не была бы просмотрена и миллиардная доля общего числа вариантов.

Между тем как-то ведь происходит формирование эффективно работающей нервной сети! Причем число рецепторов и эффекторов у высших животных исчисляется не сотнями и не тысячами, а миллионами.

Разгадка кроется в иерархическом строении нервной системы.

Здесь нам снова необходим экскурс в область общекибернетических понятий. Четвертый этап эволюции мы назовем этапом сложного рефлекса, но дать определение этому понятию сможем лишь после того, как познакомимся с некоторыми фактами об иерархически устроенных нервных сетях.

1 Мы следуем в основном докладу С. Э. Шноля «Сущность жизни. Инвариантность общего направления биологической эволюции» (Диалектика и современное естествознание: Матер. семинара. Дубна, 1967)

Глава 2. Иерархические структуры


2.1. Понятие понятия


Рассмотрим такую нервную сеть, которая на входе имеет много рецепторов, а на выходе — всего один эффектор, так что нервная сеть делит множество всех ситуаций на два подмножества: ситуации, вызывающие возбуждение эффектора, и ситуации, оставляющие его в покое. Задачу, решаемую в этом случае нервной сетью, называют задачей распознавания (имеется в виду распознавание принадлежности ситуации к тому или иному множеству). Животному в борьбе за существование приходится сплошь и рядом решать задачу распознавания, например: отличить ситуацию, опасную для жизни, от неопасной, отличить съедобные предметы от несъедобных и т. п. Это только наиболее яркие примеры, детальный анализ поведения животного приводит к выводу, что для выполнения сколь-нибудь сложного действия оно должно непрерывно решать множество «мелких» задач распознавания.

Множество ситуаций в кибернетике называют понятием1. Чтобы лучше уяснить, как кибернетическое понимание слова «понятие» связано с его обычным пониманием, допустим, что рецепторы рассматриваемой нами нервной сети — это светочувствительные нервные окончания сетчатки глаза или же вообще какие-то светочувствительные точки на экране, подающем информацию в нервную сеть. Рецепторы возбуждаются тогда, когда соответствующий участок экрана освещен (точнее, когда его освещенность больше некоторой пороговой величины), и остаются в состоянии покоя — в противном случае. Если на месте каждого возбужденного рецептора представить себе светлую точку, а на месте каждого невозбужденного — темную, то получится картина, которая отличается от изображения, падающего на экран, лишь своей дискретностью (т. е. тем, что она распадается на отдельные точки) и отсутствием полутонов. Будем считать, что точек (рецепторов) на экране достаточно много, а изображения, которые могут оказаться на экране, — их мы будем называть «картинками» — предельно контрастны, т. е. состоят лишь из белого и черного цвета. Тогда каждая ситуация соответствует определенной картинке.


Рис 2.1. Картинки, представляющие различные понятия

Согласно традиционной (аристотелевской) логике, когда мы думаем или говорим о какой-то определенной картинке (например, о той, которая находится в левом верхнем углу на рис. 2.1), то мы имеем дело с единичным понятием. Кроме единичных понятий, есть еще общие, или абстрактные, понятия. Например, мы можем думать о пятне вообще — не о каком-либо конкретном пятне (допустим, из числа изображенных в верхнем ряду на рис. 2.1), а о пятне как таковом. Точно так же мы можем обладать абстрактным понятием прямой линии, контура, четырехугольника, квадрата и т. д.2

Однако что значит «обладать абстрактным понятием»? Как можно проверить, обладает ли кто-то данным абстрактным понятием, например понятием «пятно»? Очевидно, только одним способом: предложить испытуемому серию картинок и попросить, чтобы он о каждой из них сказал, пятно это или нет. Если окажется, что он называет пятном только те и все те картинки, на которых «изображено пятно» (это уже с точки зрения испытующего), то, значит, понятием пятна он обладает. Иначе говоря, мы должны проверить его способность распознавать принадлежность любой предъявленной картинки к множеству картинок, которые мы описываем словом «пятно». Итак, абстрактное понятие в обычном смысле слова — во всяком случае когда речь идет о чувственно воспринимаемых образах — совпадает с введенным нами кибернетическим понятием понятия как множества ситуаций. Поэтому задачу распознавания называют также, желая сделать термин более конкретным, задачей распознавания образов (имеется в виду «обобщенных» образов) или задачей распознавания понятий (имеется в виду распознавание частных случаев понятий).

Множеству, состоящему из одной ситуации (картинки), соответствует в традиционной логике конкретное понятие «данная картинка». Отношения между множествами имеют свои непосредственные аналоги в отношениях между понятиями. Если большими буквами обозначить понятия, а маленькими — соответствующие множества, то дополнение множества a, т. е. множество всех мыслимых ситуаций, не входящих в a, соответствует понятию «не A». Пересечение множеств a и b, т. е. множество ситуаций, которые входят и в a, и в b, соответствует понятию «A и B одновременно». Например, если A — понятие «прямоугольник», а B — понятие «ромб», то «A и B одновременно» — понятие «квадрат». Объединение множеств a и b, т. е. множество ситуаций, которые входят хотя бы в одно из множеств a и b, соответствует понятию «либо A, либо B, либо A и B». Если множество a включает в себя множество b, т. е. каждый элемент множества b входит в множество a, но не наоборот, то понятие B есть частный случай понятия A. При этом говорят, что понятие A более общее (абстрактное), чем понятие B, а понятие B более конкретное, чем A. Например, квадрат есть частный случай прямоугольника. Наконец, если множества a и b совпадают, то понятия A и B по существу тождественны и отличаются, быть может, лишь внешней формой их описания — способом распознавания. Встав на точку зрения кибернетики, т. е. отождествив понятие с множеством ситуаций, мы должны рассматривать перечисленные соответствия не как определение новых терминов, а просто как указание на наличие в нашем языке нескольких пар синонимов.

2.2. Распознаватели и классификаторы


Нервную сеть, решающую задачу распознавания, мы назовем распознавателем, а состояние эффектора на его выходе будем называть просто состоянием распознавателя. Отправляясь от понятия распознавателя, мы введем несколько более общее понятие классификатора. Распознаватель делит множество всех мыслимых ситуаций на два непересекающихся подмножества: A и не A. Можно представить себе деление полного множества ситуаций на произвольное число n пересекающихся подмножеств. Такие подмножества называют обычно классами. Теперь вообразим некую подсистему C, имеющую n возможных состояний и связанную нервной сетью с рецепторами таким образом, что, когда ситуация принадлежит к i-му классу (i-му понятию), подсистема C приходит в i-е состояние. Такую подсистему вместе с нервной сетью мы будем называть классификатором по множеству n понятий (классов), а, говоря о состоянии классификатора, подразумевать состояние подсистемы C (выходной подсистемы). Распознаватель — это, очевидно, классификатор с числом состояний n = 2.

В системе, организованной по двоичному принципу подобно нервной системе, подсистема C с n состояниями будет, конечно, состоять из какого-то числа элементарных подсистем с двумя состояниями, которые можно рассматривать как выходные подсистемы (эффекторы) распознавателей. Состояние классификатора, следовательно, будет описываться указанием состояний ряда распознавателей. Однако эти распознаватели могут быть тесно связаны между собой как по структуре сети, так и по выполняемой функции в нервной системе, и в этом случае их следует рассматривать в совокупности как один классификатор.

Если не накладывать никаких ограничений на число состояний, то понятие «классификатор» фактически теряет смысл. Действительно, всякая нервная сеть сопоставляет каждому входному состоянию одно определенное выходное состояние; следовательно, каждому выходному состоянию соответствует множество входных состояний, и эти множества не пересекаются. Таким образом, всякое кибернетическое устройство с входом и выходом можно формально рассматривать как классификатор. Придавая этому понятию более узкий смысл, мы будем считать, что число выходных состояний классификатора гораздо меньше, чем число входных состояний, так что классификатор действительно «классифицирует» входные состояния (ситуации) по относительно небольшому числу больших классов.

2.3. Иерархия понятий


На рис. 2.2 приведена схема классификатора, организованного по иерархическому принципу. Иерархия вообще — это такое построение системы из подсистем, когда каждой подсистеме приписывается определенное целое число, называемое ее уровнем, причем взаимодействие подсистем существенно зависит от разности их уровней, подчиняясь некоторому общему принципу. Обычно этот принцип — передача информации в определенном направлении (сверху вниз или снизу вверх) от данного уровня к следующему. В нашем случае рецепторам приписывается нулевой уровень, и информация распространяется снизу вверх. Каждая подсистема первого уровня связана с некоторым числом рецепторов, и ее состояние определяется состояниями соответствующих рецепторов. Точно так же каждая подсистема второго уровня связана с рядом подсистем первого уровня и т. д. На высшем (на схеме — четвертом) уровне находится одна выходная подсистема, которая и выносит окончательный приговор о принадлежности ситуации к тому или иному классу.

Рис. 2.2. Иерархия классификаторов

Из этого определения, которое трудно назвать шедевром ясности мысли, можно все-таки заключить, что общие понятия, которые образуются не путем перечисления единичных объектов, входящих в него, а путем указания ряда признаков, объявляемых существенными, и отвлечения от остальных (несущественных) признаков, можно также считать абстрактными. Мы будем рассматривать только такие общие понятия и будем называть их также абстрактными. Например, абстрактный треугольник — это любой треугольник, независимо от величины его сторон и углов и его положения на экране, следовательно, это абстрактное понятие. Такое употребление термина «абстрактный» имеет место в обиходе, а также в математике. В то же время, согласно учебнику логики, «треугольник», «квадрат» и т. п. суть конкретные общие понятия, а вот «треугольность» и «квадратность», которые им свойственны, это понятия абстрактные. По существу, здесь в ранг логического возводится чисто грамматическое различие, ибо даже с точки зрения сторонника последнего варианта терминологии обладание абстрактным понятием равнозначно обладанию соответствующим общим понятием.

Все подсистемы промежуточных уровней также являются классификаторами. Непосредственным входом k-го уровня служат состояния классификаторов k-1-го уровня, совокупность которых является для него ситуацией, подлежащей классификации. В иерархической системе, содержащей более одного промежуточного уровня, можно выделить иерархические подсистемы, охватывающие несколько уровней. Например, в качестве входных ситуаций для классификатора третьего уровня можно рассматривать состояния всех связанных с ним классификаторов первого уровня. Иерархические системы можно достраивать «вширь» и «ввысь» подобно тому, как из восьми кубиков можно сложить кубик с вдвое большим ребром, а из этих кубиков — еще больший кубик и т. д.

Так как с каждым классификатором связана система понятий, иерархия классификаторов порождает иерархию понятий. Передаваясь от уровня к уровню, информация преобразуется, выражаясь в терминах все более «высокопоставленных» понятий. При этом количество передаваемой информации постепенно уменьшается за счет отбрасывания информации, несущественной с точки зрения задачи, поставленной перед «верховным» (выходным) классификатором.

Поясним этот процесс на примере картинок, изображенных на рис. 2.1. Пусть поставлена задача распознавания «домиков». Введем два промежуточных понятийных уровня. На первом разместим совокупность понятий «отрезки», на втором — понятия «многоугольники». Понятие «домик» окажется на третьем уровне.

Под понятием «отрезки» мы понимаем совокупность понятий «отрезок с координатами концов x1, y1 и x2, y2», где числа x1, y1, x2, y2 могут принимать любые совместимые с устройством экрана и системой координат значения. Чтобы быть конкретнее, допустим, что экран содержит 1000 × 1000 светочувствительных точек. Тогда координатами могут служить десятиразрядные двоичные числа (210 = 1024 > 1000), а отрезок с заданными концами требует для своей характеристики четыре таких числа, т. е. 40 двоичных разрядов. Всего, следовательно, существует 240 таких понятий. Их-то и должны различать классификаторы первого уровня.

Не надо думать, что отрезок с заданными концами — конкретное понятие, т. е. множество, состоящее из одной картинки. Классифицируя предъявленную картинку как отрезок с заданными концами, мы отвлекаемся от незначительных искривлений линии, вариаций ее толщины и т. п. (см. рис. 2.1). Критерий того, какие отклонения от нормы нам следует считать незначительными, может устанавливаться по-разному. Сейчас это нас не интересует.

Каждый классификатор первого уровня должен иметь на выходе подсистему из 40 двоичных разрядов, на которых «записаны» координаты концов отрезка. Сколько нужно классификаторов? Это зависит от того, какие картинки ожидаются на входе системы. Допустим, что для описания любой картинки достаточно 400 отрезков. Значит, достаточно 400 классификаторов. Разделим этот экран на 400 квадратов (50 × 50 точек) и свяжем с каждым квадратом классификатор, который будет фиксировать ближайший к нему, в каком-то смысле (детали разделения труда между классификаторами несущественны), отрезок. Если отрезка нет, пусть классификатор принимает какое-то стандартное «бессмысленное» состояние, например: все четыре координаты равны 1023.

Если предъявить нашей системе картинку, на которой изображено сколько-то отрезков, то соответствующее число классификаторов первого уровня укажет координаты концов отрезков, а остальные примут состояние «нет отрезка». Это и есть описание ситуации в терминах понятий «отрезки». Сравним количество информации на нулевом и на первом уровнях. На нулевом уровне нашей системы 1000 × 1000 = 106 рецепторов получают информацию в миллион бит. На первом уровне 400 классификаторов, каждый из которых содержит 40 двоичных разрядов, т. е. 40 бит информации, всего 16 000 бит. При переходе на первый уровень количество информации уменьшилось в 62,5 раза. Система сохранила ту информацию, которую она сочла «полезной» и отбросила информацию «бесполезную» с ее точки зрения. Относительность этих понятий видна из того, что если предъявленная картинка не соответствует иерархии понятий системы распознавания, то реакция системы будет неправильной или просто бессмысленной. Если, например, на картинке более 400 отрезков, то не все отрезки будут зафиксированы, а если предъявить картинку с пятном, то реакция на нее будет такая же, как на пустую картинку.

Совокупность понятий «многоугольники», занимающую второй уровень иерархии, мы делим на две меньших совокупности: равнобедренные треугольники и параллелограммы. Из числа параллелограммов мы выделяем в особую совокупностьпрямоугольники. Считая, что для задания угла и длины надо столько же бит (10), как и для координаты, находим, что для задания определенного равнобедренного треугольника надо 50 бит информации, параллелограмма — 60 бит, прямоугольника — 50 бит. Соответственно этому должны быть сконструированы классификаторы второго уровня. Легко видеть, что вся нужная им информация имеется в наличии на первом уровне. Наличие многоугольника констатируется при наличии нескольких отрезков, находящихся между собой в определенных отношениях. При переходе на второй уровень происходит дальнейшее сжатие информации. Отводя из полного числа 400 отрезков по одной трети на каждый вид многоугольников, получаем систему, способную зафиксировать 44 треугольника, 33 прямоугольника и 33 параллелограмма (одновременно). Ее информационная емкость 5830 бит, т. е. почти втрое меньше, чем емкость первого уровня. Зато перед неправильным треугольником или четырехугольником система встанет в тупик!

Понятие «домик» легко описать на языке понятий второго уровня. Домик состоит из четырех многоугольников: одного прямоугольника, одного равнобедренного треугольника и двух параллелограммов, находящихся в определенных отношениях друг к другу (основание равнобедренного треугольника совпадает с одной стороной прямоугольника и т. д.).

Во избежание недоразумений следует указать, что иерархия понятий, о которой мы говорим, имеет гораздо более общий смысл, чем иерархия понятий по абстрактности (общности), которую часто называют просто «иерархия понятий». Примером иерархии по общности может служить пирамида понятий, относящихся к систематике животных. На нулевом уровне располагаются отдельные особи животных («конкретные» понятия), на первом — виды, на втором — роды, затем — семейства, отряды, классы, типы. На вершине пирамиды находится понятие «животное». Такая пирамида является частным случаем иерархии понятий в общем смысле, отличающимся тем, что каждое понятие k-го уровня образуется из некоторого числа понятий k-1-го уровня путем их объединения. Это соответствует очень просто устроенным классификаторам. В общем случае классификаторы могут быть устроены как угодно. Распознаватели, нужные животному, — это скорее иерархии по сложности и тонкости понятий, а не по общности.

2.4. Как возникает иерархия


Вернемся снова к эволюции нервной системы. Может ли иерархия классификаторов возникнуть эволюционным путем? Очевидно, может, но при одном условии: если создание каждого нового уровня иерархии и его последующего расширения полезны животному в борьбе за жизнь. Из факта существования животных с высокоорганизованной нервной системой мы делаем вывод, что так оно и есть в действительности. Кроме того, изучая примитивных животных, мы видим, что система понятий, которые способна распознавать их нервная система, также весьма примитивна. Следовательно, в пользе нижайшего уровня иерархии классификаторов мы убеждаемся воочию.

Набросаем в общих чертах путь развития нервной системы. На начальных стадиях мы находим у животного всего несколько рецепторов. Число возможных способов связи между ними (соединений) относительно невелико и допускает прямой перебор. По методу проб и ошибок находится выгодное соединение. То, что выгодное соединение может существовать даже при очень малом числе нейронов, легко видеть на таком примере. Пусть есть всего два светочувствительных рецептора. Если они расположены на разных сторонах тела, то информация, которую они дают (разность освещенностей), достаточна, чтобы животное могло двигаться на свет или против света. Когда выгодное соединение найдено и осуществлено, допустим, с помощью одного промежуточного нейрона (такие нейроны называются ассоциативными), вся группа в целом может быть размножена. Так возникает система ассоциативных нейронов, регистрирующих, например, разности между освещенностями рецепторов и суммирующих эти разности (рис. 2.3).


Рис. 2.3. Простейшие типы связей между рецепторами

Может быть размножена также любая часть системы связанных нейронов, например, один или несколько рецепторов. Тогда возникает система связей типа изображенной на рис. 2.3,б. Схемы обоих типов образуют в совокупности первый уровень иерархии, основанный на понятиях суммы и разности освещенностей. Поскольку для корректировки движения животного очень важно регистрировать изменение освещенности в данной точке со временем, можно предположить, что на самых ранних стадиях должны появиться нейроны, срабатывающие при изменении освещенности в точке. Это может быть как рецептор, так и ассоциативный нейрон, связанный с одним или несколькими рецепторами. В общем виде можно охарактеризовать классификаторы первого уровня как регистрирующие суммы и разности возбуждений рецепторов в пространстве и времени.

Доказав свою полезность для животного, классификаторы первого уровня прочно входят в число его средств борьбы за существование. Тогда начинается следующая серия проб и ошибок: небольшое число классификаторов первого уровня (точнее, их выходных подсистем) связывается между собой в один пробный классификатор второго уровня, пока не получится полезное соединение. Затем оказывается полезным размножение этого соединения. Можно предположить, что на втором уровне иерархии — поскольку это касается органов зрения — появляются такие понятия, как граница между светом и тенью, средняя освещенность пятна, движение границы между светом и тенью и т. п. Таким же путем возникают и следующие уровни иерархии.

Набросанная нами схема наводит на мысль, что любая сложная система, возникшая в процессе эволюции по методу проб и ошибок, должна иметь иерархическую организацию. Действительно, не имея возможности перебрать все мыслимые соединения большого числа элементов, природа перебирает соединения из нескольких элементов, а найдя полезную комбинацию, размножает ее и использует как целое в качестве элемента, который может быть связан с небольшим числом других таких же элементов. Так и возникает иерархия. Это понятие играет огромную роль в кибернетике. Фактически всякая сложная система, как возникшая естественно, так и созданная человеком, может считаться организованной, только если она основана на некой иерархии или переплетении нескольких иерархий. Во всяком случае, до сих пор мы не знаем организованных систем, устроенных иначе.

2.5. Кое-что о реальных иерархиях


До сих пор наши выводы были чисто умозрительны. Как они подтверждаются реальным строением нервной системы животных и что можно сказать о понятиях промежуточных уровней иерархии, реально складывающейся в процессе эволюции?

При сравнении нашей схемы с действительностью необходимо учитывать следующее.

Деление системы понятий на уровни не является столь безусловным, как мы молчаливо предполагали. Могут быть случаи, когда понятия k-го уровня непосредственно используются на k+2-м уровне, минуя k+1-й. На рис. 2.2 мы втиснули такую возможность в общую схему, введя классификаторы, связанные лишь с одним классификатором предыдущего уровня и повторяющие его состояния; они изображены перечеркнутыми квадратиками. В действительности, конечно, их нет, что затрудняет расчленение системы на уровни. Далее, иерархия классификаторов, изображенная на рис. 2.2, имеет четко выраженный пирамидальный характер: чем выше уровень, тем меньше классификаторов, а на верхнем уровне он всего один. Такая ситуация имеет место, когда система чрезвычайно «целенаправленна», т. е. служит для какой-то весьма узкой цели, для какого-то четко определенного способа классификации ситуаций. В примере, который мы приводили, это было распознавание «домиков». И мы видели, что уже неправильные трех- или четырехугольники для такой системы оказываются «бессмысленными»; они не вписываются в иерархию понятий. Чтобы быть более универсальной, система должна быть подобной не одной пирамиде, а многим пирамидам, вершины которых расположены приблизительно на одном уровне и образуют множество понятий (а точнее, множество систем понятий), в терминах которых происходит управление действиями животного и которые обычно обнаруживаются при исследовании его поведения. Об этих понятиях говорят, что они составляют основу определенного «образа» внешнего мира, который складывается в представлении животного (или человека). Состояние классификаторов этого уровня является непосредственной информацией для исполнительной части нервной сети (т. е. в конечном счете для эффекторов). Каждый из этих классификаторов опирается на определенную иерархию классификаторов — пирамиду, по которой движется информация так, как это было описано выше. Однако пирамиды могут перекрываться в своих средних частях (и заведомо перекрываются в своей нижней части — рецепторах). Общее число вершин пирамиды может быть теоретически как угодно велико, в частности, оно может быть много больше общего числа рецепторов. Это тот случай, когда одна и та же информация, доставляемая рецепторами, представляется множеством пирамид в множестве различных форм, рассчитанных на все случаи жизни.

Отметим еще одно обстоятельство, которое следует учитывать при поисках иерархии в реальной нервной сети. Если мы видим нейрон, соединенный синапсами с сотней рецепторов, то это еще не значит, что он фиксирует какое-то простое понятие первого уровня типа суммарного числа возбуждений рецепторов. Логическая функция, связывающая состояние нейрона с состоянием рецепторов, может быть весьма сложной и имеющей собственную иерархическую структуру.

2.6. Мир глазами лягушки


Для исследования иерархии классификаторов и понятий, относящихся к зрительному восприятию у животных, чрезвычайно интересна работа четырех ученых из Массачусетского технологического института (Дж. Летвин и др.) «Что сообщает глаз лягушки мозгу лягушки»3. Лягушка была избрана авторами в качестве подопытного животного потому, что ее зрительный аппарат обладает некоторыми качествами простоты, которые делают его удобным для изучения. Прежде всего, сетчатка глаза лягушки однородна; она не имеет в отличие от глаза человека области с повышенной чувствительностью, на которую нужно проектировать наиболее важную часть изображения. Поэтому и взгляд лягушки неподвижен, она не следит взглядом за двигающимся предметом, как это делаем мы. С другой стороны, если лягушка качается, сидя на листе кувшинки, ее глаза совершают такие движения, которые компенсируют качание, так что изображение внешнего мира на сетчатке остается неподвижным. Информация от сетчатки передается по зрительному нерву к так называемому зрительному бугру мозга. Этим лягушка также отличается от человека в сторону простоты, так как у человека есть два канала передачи информации от сетчатки к мозгу.

Зрение играет большую роль в жизни лягушки: с его помощью она охотится и спасается от врагов. Исследование поведения лягушки показывает, что она отличает добычу от врага по размерам и состоянию движения. Очень интересно, что движение играет здесь решающую роль. Завидев маленький (размеров насекомого или червя) движущийся предмет, лягушка прыгает и схватывает его. Лягушку можно обмануть, раскачивая на ниточке маленький несъедобный предмет. Но на неподвижного червяка или насекомое лягушка не обращает ни малейшего внимания, и она может умереть с голоду среди обилия пищи, если эта пища неподвижна. Большие движущиеся предметы лягушка считает врагами и спасается от них бегством.

Сетчатка глаза лягушки, как и других позвоночных, имеет три слоя нервных клеток. Верхний (самый внешний) слой образуют светочувствительные рецепторы — палочки и колбочки. Затем идет слой ассоциативных нейронов нескольких типов. Одни из них (так называемые биполярные клетки) дают преимущественно вертикальные аксоны, по которым возбуждение передается в более глубокие слои. Другие (горизонтальные, или амакринные клетки) связывают нейроны, расположенные на одном уровне. Последний по глубине залегания — третий слой — образуют так называемые ганглиозные клетки. Их дендриты получают информацию от клеток второго слоя, а аксоны представляют собой длинные волокна, которые сплетаются в жгут — зрительный нерв, соединяющий сетчатку с мозгом. Эти аксоны ветвятся, входя в зрительный бугор мозга, и передают информацию дендритам мозговых нейронов.

Глаз лягушки имеет около миллиона рецепторов, около трех миллионов ассоциативных нейронов второго слоя и полмиллиона ганглиозных клеток. Такая структура сетчатки дает основание предположить, что анализ изображения начинается уже в глазу животного и изображение передается по зрительному нерву в терминах каких-то промежуточных понятий. Сетчатка как бы является вынесенной на периферию частью мозга. Это предположение подтверждается тем, что расположение на поверхности зрительного бугра точек входа нервных волокон (аксонов) совпадает с расположением соответствующих ганглиозных клеток на выходе сетчатки. И это несмотря на то, что на протяжении зрительного нерва волокна многократно переплетаются друг с другом и меняют свое положение на срезе нерва. Наконец, к тому же заключению приводят и данные эмбриологии о развитии сетчатки.

В описываемых опытах в зрительный нерв лягушки вводился тонкий платиновый электрод, что позволяло регистрировать возбуждение отдельных ганглиозных клеток. Лягушка помещалась в центр алюминиевой полусферы, имеющей (изнутри) матово-серый цвет. По внутренней поверхности полусферы могли перемещаться различные темные предметы — прямоугольники, диски и т. п., поддерживаемые с помощью магнита, расположенного с внешней стороны полусферы.

Результаты экспериментов мы можем суммировать следующим образом. Каждая ганглиозная клетка имеет определенное рецептивное поле, т. е. участок сетчатки (множество рецепторов), с которого она собирает информацию. Состояние рецепторов вне рецептивного поля никак не влияет на состояние ганглиозной клетки. Размеры рецептивных полей у клеток разного типа, если измерять их угловыми размерами соответствующей видимой области, варьируются от 2 до 15° в диаметре.

Ганглиозные клетки делятся на четыре типа в зависимости от того, какой процесс в своем рецептивном поле они регистрируют. Эти типы следующие:

Детекторы длительно сохраняющегося контраста. Эти клетки не реагируют на включение или выключение общего освещения. Но если в рецептивном поле появляется край объекта, более темного или более светлого, чем фон, цвета, то клетка сразу же начинает генерировать импульсы.

Детекторы выпуклых краев. Эти клетки возбуждаются в том случае, если в рецептивном поле появляется маленький (не более 3°) выпуклый объект. Максимальное возбуждение (частота импульсов) достигается, когда диаметр объекта составляет примерно половину диаметра рецептивного поля. На прямой край объекта клетка не реагирует.

Детекторы движущихся краев. Их рецептивное поле обладает шириной примерно 12°. Клетка реагирует на любой различимый край объекта, более темного или более светлого, чем фон, цвета; но только при условии, что он движется. Если через поле плавно перемещается предмет шириной более 5°, то возникают две реакции: на передний и на задний край.

Детекторы затемнения поля. Они посылают серию импульсов, если внезапно уменьшается общая освещенность рецептивного поля.

Чрезвычайно интересно, как расположены окончания зрительных волокон в зрительном бугре мозга. Мы уже говорили, что в плане это расположение совпадает с расположением соответствующих ганглиозных клеток в сетчатке. Но, кроме того, оказывается, что окончания волокон каждого типа находятся в зрительном бугре на определенной глубине, так что в мозгу лягушки имеется четыре слоя нейронов, воспринимающих зрительную информацию, и каждый слой как бы получает оттиск сетчатки, но в определенном аспекте соответственно одному из четырех типов ганглиозных клеток. Эти слои и являются датчиками информации для высших отделов мозга.

Опыты, подобные описанным, довольно сложны, и по поводу их интерпретации иногда возникают споры. Детали описанной системы могут измениться или получить другое толкование. Тем не менее общий характер системы понятий первого уровня установлен, по-видимому, достаточно твердо. Мы видим переход от точечного описания к локальному, учитывающему непрерывную структуру изображения. Ганглиозные клетки служат распознавателями таких первичных понятий, как край, выпуклость, движение, отнесенных к определенной области видимого мира.

2.7. Обломки системы понятий


У человека понятия нижайшего уровня, относящиеся к зрительному восприятию, вероятно, мало отличаются от понятий лягушки. Во всяком случае, структура сетчатки у млекопитающих и человека такая же, как и у земноводных.

Некоторое представление о понятиях следующих уровней иерархии дает явление нарушения восприятия стабилизированного на сетчатке изображения. Это очень интересное явление. Оно состоит в следующем.

Когда человек смотрит на неподвижный объект, «фиксирует» его глазами, глазные яблоки не остаются абсолютно неподвижными, а созерцают небольшие непроизвольные движения. В результате изображение объекта на сетчатке находится в постоянном движении, складывающемся из медленного дрейфа и скачкообразных смещений, возвращающих изображение к точке максимальной чувствительности. Оно «топчется на месте» в окрестности этой точки.

Можно создать на сетчатке стабилизированное, не топчущееся на месте изображение. Для этого надо, очевидно, чтобы объект был жестко связан с глазным яблоком и двигался вместе с ним. Достигается это так (рис. 2.4). На глаз надевают контактную линзу, к которой прикреплен маленький стерженек. Стерженек несет миниатюрный оптический проектор4, в который можно вставлять диапозитивы размером в несколько миллиметров. Испытуемый видит изображение как удаленное в бесконечность. Так как проектор поворачивается вместе с глазом, изображение на сетчатке неподвижно.

При предъявлении испытуемому стабилизированного изображения он в течение первых нескольких секунд воспринимает его как при нормальном зрении, но затем начинаются нарушения. Изображение то исчезает, заменяясь серым или черным фоном, то появляется частями или целиком.


Рис. 2.4. Устройство для стабилизации изображения на сетчатке

Уже сам факт неправильного восприятия стабилизированного изображения весьма примечателен. С логической точки зрения нет никакой необходимости, чтобы изображение неподвижного объекта гуляло по сетчатке. Количество информации от этого не увеличивается, а обрабатывать ее становится труднее. И действительно, когда аналогичные задачи встают в области техники, например, при передаче изображения по телевизору или при вводе информации с экрана в вычислительную машину, то предпринимаются специальные усилия, чтобы стабилизировать изображение. А человеческий глаз не только приспособлен к прыгающему изображению, но и решительно отказывается принимать изображение, если оно неподвижно. Это свидетельствует о том, что понятия, связанные с движением, подобные, вероятно, тем, которые мы наблюдали у лягушки, глубоко укоренились где-то в нижних этажах иерархии, и если соответствующие классификаторы вывести из игры, то правильная обработка информации нарушится. С точки зрения конструктора сложного аппарата, подобного глазу (плюс обработка информации), такое устройство является странным. Конструктор, наверное, все нижние этажи занял бы статическими понятиями, а описание движения объектов уже проводил бы в терминах более высокого уровня. Но иерархия зрительных понятий возникла в процессе эволюции. Для наших далеких лягушкоподобных предков были чрезвычайно важны понятия, связанные с движением, и им некогда было ждать, пока у них разовьются сложные статические понятия. Поэтому примитивные динамические понятия возникли на самых ранних этапах развития нервной системы, а так как природа использует найденные ею блоки на следующих этапах строительства, эти понятия прочно закрепились в самом низу иерархии понятий. Чтобы они могли работать, глазному яблоку приходится совершать «броуновские» движения.


Рис. 2.5. Фрагментация стабилизированного изображения

Еще интереснее характер распада изображения на части (фрагментация). Простые фигуры, например, одиночный отрезок, исчезают и восстанавливаются целиком. Более сложные фигуры иногда также исчезают целиком, а иногда распадаются на части, которые исчезают и появляются независимо друг от друга (рис. 2.5). Фрагментация происходит не хаотично и не независимо от вида изображения, как бывает, например, когда рисунок на доске стирают тряпкой, а в соответствии с «истинной» структурой изображения. Слово «истинная» мы берем в кавычки потому, что на самом деле, конечно, фрагментация происходит в соответствии со структурой восприятия изображения системой глаз — мозг. Мы не знаем в точности, какова механика нарушения восприятия при стабилизации, мы знаем только сам факт, что стабилизация выводит из строя какой-то компонент системы восприятия. Но и отсюда можно сделать некоторые выводы. Представьте себе, что в архитектурном сооружении внезапно исчезли, растворившись в воздухе, несколько важных элементов конструкции. Здание развалится, но, вероятно, на части очень различных размеров. Здесь вы видите отдельные кирпичи и куски стекла, там — часть стены и крыши, а там сохранился целый угол дома. Примерно такое зрелище и являет собой восприятие стабилизированного изображения. Оно дает возможность представить характер понятий высшего уровня (или высших уровней), но не оценить их взаимные связи и зависимости. Надо отметить, что в формировании понятий высшего уровня у человека большую роль играет его личный жизненный опыт — обучение, если говорить языком кибернетики. (Это будет следующим этапом эволюции нервной системы, так что здесь мы несколько забегаем вперед. Но для исследования иерархии понятий не имеет большого значения, получена она по наследству или благоприобретена своим трудом.)

Приведем несколько выдержек из упомянутой выше работы.

Контурный человеческий профиль всегда исчезает и восстанавливается отдельными дискретно организованными элементами. Передняя часть лица, задняя сторона головы, комплекс линий вокруг глаз или вокруг уха исчезают и появляются вновь как целые элементы, в отдельности друг от друга или в различных комбинациях. В противоположность этому рисунок, состоящий из многих волнистых линий, расположенных неупорядоченно, при первом же предъявлении воспринимается как чрезвычайно активный объект. Отдельные завитки быстро исчезают и восстанавливаются... Эти изменения происходят так быстро, что испытуемые не могут дать точного отчета о них. После длительного рассматривания небольшие группы завитков начинают исчезать и восстанавливаться как единые элементы. Эти заново оформленные комбинации сохраняются в течение более долгих промежутков времени...

Важность линейной организации как фактора группировки подчеркивается фрагментацией стабилизированного изображения, состоящего из ряда квадратиков. Видимыми обычно остаются полный горизонтальный, вертикальный или диагональный ряды, которые затем также исчезают, и остается лишь отдельный квадратик во всем поле зрения. Иногда исчезают все одноименные стороны квадратиков... Если предъявляются беспорядочно разбросанные точки, то могут исчезнуть отдельные группы точек, а оставшиеся располагаются приблизительно вдоль одной линии... При рассматривании рисунка, состоящего из прямых линий, эти последние воспринимаются как независимые друг от друга, причем рисунок разбивается на части в местах пересечения. Линии исчезают и появляются вновь как единое целое либо поодиночке, либо вместе с другими; вместе часто появляются параллельные линии. При замене рисунка, состоящего из линий, затушеванной фигурой вместо линий независимыми элементами становятся углы. Исчезновение стабилизированного изображения начинается с центра, а резко очерченные углы исчезают по очереди. При восстановлении изображения оно появляется полностью или частично с резко очерченными углами.

2.8. Цель и регулирование


Мы описали первую половину действия сложного рефлекса, которая состоит в анализе ситуации с помощью иерархии классификаторов. Бывают случаи, когда вторая — исполнительная — половина рефлекса чрезвычайно проста и сводится к возбуждению какой-то локальной группы эффекторов, например, эффекторов, активизирующих деятельность определенной железы. Именно в таких условиях поставлено большинство опытов И. П. Павлова, которые сыграли важную роль в исследовании высшей нервной деятельности животных и привели к созданию им широко известного учения о безусловных и условных рефлексах. Однако элементарные наблюдения над поведением животных в естественных условиях показывают, что оно не может быть сведено к совокупности рефлексов, которые никак не связаны между собой, а связаны только с состоянием внешней среды. Всякое сколь-нибудь сложное действие состоит из последовательности более простых действий, объединенных общей целью. Часто бывает, что отдельные компоненты в этой совокупности действий не только бесполезны, но и вредны животному, если они не сопровождаются другими компонентами. Например, чтобы прыгнуть, надо предварительно присесть, чтобы схватить добычу удобнее, надо на какое-то время ее выпустить. Две фазы действия — подготовительная и исполнительная, которые мы видим в этих примерах, — не могут явиться следствием независимых рефлексов, так как первое действие само по себе бессмысленно и, значит, такого рефлекса выработаться не могло.


Рис. 2.6. Схема регулирования

Понятие о рефлексе при описании поведения должно быть дополнено понятием о цели и о регулировании. Схема регулирования изображена на рис. 2.6. Действие, которое предпринимает система, зависит не только от ситуации самой по себе, но также и от цели, т. е. от той ситуации, которую система стремится достигнуть. Действие системы определяется в результате сравнения ситуации и цели и направлено к устранению несоответствия между ситуацией и целью. Через блок сравнения ситуация определяет действие. Через изменение среды действие оказывает обратное влияние на ситуацию. Эта петля обратной связи является характерной чертой схемы регулирования, отличающей ее от схемы рефлекса, где ситуация просто вызывает действие.

2.9. Как возникает регулирование


Как могла в процессе эволюции возникнуть система, устроенная по схеме регулирования? Мы видим, что возникновение иерархически устроенных классификаторов может быть объяснено как результат совместного действия двух основных факторов эволюции: редупликации биологических структур и нахождения полезных связей по методу проб и ошибок. Не приводит ли действие этих факторов и к появлению схемы регулирования?


Рис. 2.7. Редупликация рецепторов

Не имея возможности опереться на данные о том реальном эволюционном процессе, который миллионы лет назад породил сложную нервную систему, мы вынуждены удовлетворяться чисто гипотетическим комбинаторным построением, показывающим теоретическую возможность возникновения схемы регулирования. Будем систематически исследовать все возможности, к которым приводят редупликация и отбор. Естественно предположить, что в процессе редупликации сохраняются как связи внутри удвояемой подсистемы, так и связи ее с теми частями, которые не редуплицируются. И еще мы предположим, что между только возникшими подсистемами существует вследствие их близкого расположения связь, которую мы будем изображать штриховой линией и которая может либо укрепиться, либо исчезнуть. Начнем с самого начала, т. е. с того случая, когда мы видим всего одну нервную клетку, являющуюся одновременно и рецептором, и эффектором (рис. 2.7,а). Здесь всего одна возможность редупликации, которая приводит к появлению двух клеток (рис. 2.7,б). Если одна из них оказывается ближе к поверхности, а другая — к мышечным клеткам, то полезно разделение труда между ними. Так возникает схема рецептор — эффектор (рис. 2.7,в). Здесь уже две возможности редупликации. Удвоение рецептора дает схему г на рис. 2.7, которая после исчезновения штриховой связи преобразуется в схему д. Аналогичный процесс порождает схемы е, ж и т. д. Таким образом происходит разрастание нулевого уровня иерархии (рецепторов), о котором говорилось выше.


Рис. 2.8. Редупликация эффекторов

На рис. 2.8 показаны схемы, которые возникают из схемы 2.7,в путем редупликации эффектора. В схеме б возбуждение одного рецептора должно по двум каналам передаваться двум эффекторам. Однако известно, что электрическое сопротивление синапсов резко падает после того, как по ним первый раз проходит ток. Поэтому если возбуждение направится по одному каналу, то этот канал связи будет закреплен, а второй окажется шунтированным и может «отсохнуть» (схема в). Затем возбуждение может продолжить дорогу через штриховую связь (схема г), что знаменует зарождение первого уровня классификаторов.

На рис. 2.9 представлены возможные варианты развития трехнейронной схемы 2.8,г. Три группы схем соответствуют редупликации различных подсистем исходной системы. Редуплицируемая подсистема обведена кружком. Первая группа (a, б, в) объясняет разрастание нулевого уровня, вторая группа (г, д, е) — первого уровня иерархии классификаторов. В третьей группе (ж, з, и, к) мы видим схемы, возникающие при редупликации одного классификатора первого уровня без связанного с ним рецептора. Переход от схемы з к схеме и объясняется тем «отсыханием» шунтированного канала, которое мы описали выше. Схема к, появившаяся в конечном счете, существенно отличается от всех остальных схем, представлявших иерархии классификаторов. В этой схеме один из классификаторов «повисает в воздухе» — он не получает информации из внешнего мира. Может ли такая схема быть полезной животному? Да: ведь это и есть схема регулирования!


Рис. 2.9. Варианты развития трёхнейронной схемы

Мы можем предположить такое, например, воплощение схемы 2.9,к. Рассмотрим некое гипотетическое животное, живущее в морской воде. Пусть R — рецептор, воспринимающий температуру окружающей среды. Вместе с ним регистрирует — путем изменения частоты импульсов возбуждения — температуру воды и классификатор A. Пусть большее или меньшее возбуждение эффектора E вызывает растяжение или сжатие оболочки животного, вследствие чего его объем изменяется, и оно либо поднимается к поверхности моря, либо опускается вглубь. И пусть для нашего животного полезнее всего какая-то определенная температура, скажем 16℃. Тогда нейрон Z (фиксатор цели) должен сохранять определенную частоту импульсов, равную той частоте, которую имеет нейрон A при температуре 16℃. Эффектор Е должен регистрировать разность возбуждений нейронов A и Z и соответственно с ее знаком поднимать животное к поверхности, где вода теплее, или погружать в более прохладные нижние слои воды. Такое приспособление премного способствовало бы благоденствию измышленного нами животного.

2.10. Представления


Редупликация различных подсистем нервной сети может породить множество различных групп классификаторов, «повисающих в воздухе». Среди них могут появиться дубликаты целых этажей иерархии, состояния которых в точности соответствуют состоянию тех «осведомленных» классификаторов, которые получают информацию от рецепторов. Соответствуют, но не совпадают. Это мы видим на примере нейронов A и Z на рис. 2.9,к. В сложных системах неосведомленные дубликаты осведомленных классификаторов могут хранить большое количество информации. Состояния этих дубликатов мы будем называть представлениями, отдавая себе ясный отчет, что тем самым мы даем определенную кибернетическую интерпретацию этому психологическому понятию. Очевидно, имеет место тесная связь между представлениями и ситуациями, которые ведь суть не что иное, как состояния аналогичных классификаторов, но получающих информацию от рецепторов. Цель представляет собой частный случай представления, а точнее тот случай, когда сравнение постоянного представления и меняющейся ситуации используется для выработки действия, сближающего их друг с другом. Описанное выше гипотетическое животное обожает температуру 16℃, и «светлый образ» этой блаженной ситуации, которая есть определенная частота импульсов нейрона A, живет в ее памяти в виде точно такой же частоты импульсов нейрона Z.

Это очень примитивное представление. Чем выше организована «осведомленная» часть нервной системы, тем сложнее и ее дубликаты (мы будем их называть фиксаторами представлений) и тем разнообразнее представления. Так как классификаторы могут принадлежать к разным уровням иерархии и ситуация может быть выражена в разных системах понятий, представления также могут различаться своим «понятийным языком», ибо они могут быть состояниями фиксаторов разных уровней. Далее, степень устойчивости состояний фиксаторов представлений также может быть весьма различной. Поэтому представления сильно отличаются по своей конкретности и стабильности. Они могут быть точными и конкретными, почти чувственно воспринимаемыми. Крайним случаем здесь является галлюцинация, которая субъективно воспринимается как реальность и на которую организм реагирует так же, как на соответствующую ситуацию. С другой стороны, представления могут быть очень приблизительными как из-за своей неустойчивости, так и из-за своей абстрактности. Последний случай часто встречается в художественном и научном творчестве, когда представления выступают как цель деятельности. Человек смутно чувствует, что ему надо, и пытается воплотить это в твердой предметной форме. У него долго ничего не получается, потому что его представления не обладают необходимой конкретностью. Однако в один прекрасный момент (и это действительно прекрасный момент!) он вдруг добивается своей цели и ясно осознает, что он сделал именно то, что хотел.

2.11. Память


Путем редупликации может быть получено, в принципе, сколько угодно фиксаторов представлений. Но тут возникает вопрос: а сколько их нужно животному? Сколько нужно дубликатов «осведомленных» классификаторов? Один? Два? Десять?

Из общих соображений следует, что дубликатов нужно много. Ведь фиксаторы представления служат для организации опыта и поведения во времени. Фиксатор цели хранит ситуацию, которая должна, по идее, осуществиться в будущем. Другие фиксаторы могут хранить ситуации, которые реально были в прошлом. Временная организация опыта необходима животному, стремящемуся приспособиться к среде, в которой оно живет, ибо эта среда обнаруживает некоторые закономерности, т. е. корреляции между прошлыми и будущими ситуациями. Можно предсказать, что после какого-то начального увеличения числа рецепторов дальнейшее совершенствование нервной системы потребует создания фиксаторов представлений, причем создания их в большом числе. Ибо нет смысла продолжать наращивать число рецепторов и классификаторов и улучшать тем самым «мгновенные снимки» окружающей среды, если система не умеет обнаруживать корреляции между ними. Но чтобы обнаружить корреляции между «мгновенными снимками», надо их где-то хранить. Так и возникают фиксаторы представлений, иначе говоря память. Хранение цели в процессе регулирования — это простейший случай использования памяти.

2.12. Иерархия целей и планов


В схеме регулирования на рис. 2.6 цель изображена как нечто единое, целое. Однако мы хорошо знаем, что бывают сложные цели, в процессе достижения которых система ставит пред собой промежуточные, «частичные», цели. Мы уже приводили примеры двухфазных движений: чтобы вспрыгнуть на стул, кошка сначала приседает, а потом подпрыгивает. В более сложных ситуациях цели образуют иерархию, состоящую из многих уровней. Предположим, вы ставите перед собой цель приехать из дома на работу. Это ваша «высшая» цель в данный момент. Припишем ей индекс (номер уровня) нуль. Чтобы приехать на работу, вам нужно выйти из дома, пройти к остановке автобуса, доехать до нужной остановки и т. д. Это цели с индексом минус единица. Чтобы выйти из дома, надо выйти из квартиры, спуститься в лифте и выйти из подъезда. Это цели с индексом минус два. Чтобы спуститься в лифте, надо открыть дверь, войти в лифт и т. д. — индекс минус три. Чтобы открыть дверь лифта, надо протянуть руку к дверной ручке, нажать на нее и потянуть к себе — индекс минус четыре. Эти цели можно уже, пожалуй, считать элементарными.

Цель вместе с указанием способа ее достижения, т. е. разложения на подчиненные цели, называют планом действия. Наш пример есть фактически описание плана приезда на работу. В цели самой по себе, которая в данном случае есть представление «я — на рабочем месте», никакой иерархической структуры нет. Основной логической единицей, образующей иерархию, является план, а цели образуют иерархию лишь постольку, поскольку они являются элементами плана.

Американские психологи Дж. Миллер, Е. Галантер и К.Прибрам в своей книге «Планы и структура поведения» принимают понятие плана в качестве основы описания поведения человека и животных. Они показывают особенность и плодотворность такого подхода. В отличие от классической рефлекторной дуги (без обратной связи) логическая единица описания поведения, используемая этими авторами, содержит петлю обратной связи (рис. 2.10). Эту единицу они называют схемой T-O-T-E, по начальным буквам английских слов test-operate-test-exit (проверка — операция — проверка — выход). Проверка здесь означает проверку соответствия ситуации и цели. В случае несоответствия производится операция, в случае соответствия план считается выполненным, и система идет на «выход». В качестве примера ни рис. 2.11 показан план забивания гвоздя в доску, представленный в виде единицы T-O-T-E.



Рис. 2.10. ЕдиницаT-O-T-E (test-operate-test-exit)



Рис. 2.11. Забивание гвоздя

Схема T-O-T-E на рис. 2.10 изображает то же самое явление регулирования, которое было изображено на рис. 2.6. Отличие между ними в способе изображения. Схема на рис. 2.6 —структурная, на рис. 2.10 —функциональная. Эти понятия надо пояснить. Заодно мы уточним понятие управления.

2.13. Структурные и функциональные схемы


На структурной схеме кибернетической системы указывается, из каких подсистем состоит данная система. Часто указывается также, как направлены потоки информации между подсистемами. Тогда структурная схема превращается в граф. В математике называют графом систему точек (вершин графа), некоторые из которых соединены линиями (дугами). Граф называется ориентированным, если на каждой дуге указано определенное направление. Структурная схема с указанием потоков информации есть ориентированный граф, вершины которого изображают подсистемы, а дуги — потоки информации.

Такое описание кибернетической системы не является единственно возможным. Часто нас интересует не столько структура системы, сколько ее функционирование, действие. Еще чаще мы просто ничего не можем сказать толком о структуре, но кое-что можем сказать о функционировании. В таких случаях можно построить функциональную схему. Это тоже ориентированный граф, но вершины здесь изображают различные множества состояний системы, а дуги — возможные переходы между состояниями. Дуга соединяет две вершины в направлении от первой ко второй в том случае, если хотя бы из одного состояния, относящегося к первой вершине, возможен переход в какое-либо состояние, относящееся ко второй вершине. Множества состояний мы будем называть обобщенными состояниями. Следовательно, дуга на схеме указывает возможность перехода из одного обобщенного состояния в другое. Если структурная схема отражает главным образом пространственный аспект, то функциональная — главным образом временной. Формально в соответствии с данным выше определением функциональная схема вообще никак не отражает пространственного аспекта — разделения системы на подсистемы. Однако, как правило, разделение на подсистемы находит отражение в способе определения обобщенных состояний, т. е. разделения множества всех состояний системы на подмножества, «приписанные» к различным вершинам графа. Разберем это на примере системы, структурная схема которой представлена на рис. 2.12. Это схема управления.



Рис. 2.12. Структурная схема управления

Одна из подсистем, называемая управляющим устройством, получает информацию от «рабочих» подсистем A1, A2, A3, …, перерабатывает ее и посылает подсистемам A1,A2, A3, … приказы (управляющую информацию), вследствие чего эти подсистемы меняют свое состояние. Надо отметить, что, строго говоря, любая информация меняет состояние системы, которая ее получает. Информацию называют управляющей в том случае, когда она меняет некоторые выделенные параметры системы, описываемые как «основные», «внешние», «наблюдаемые» и т. п. Часто бывает, что управляющее устройство по своей информационной емкости и пропускной способности невелико и служит лишь для переключения информационных потоков, а реальная обработка данных и выработка приказов производятся одной из подсистем A1, A2, A3, … или в соответствии с хранящейся в ней информацией. Тогда говорят, что управление переходит в эту подсистему. Так, в частности, обстоит дело в вычислительной машине, где A1, A2, A3, … — это ячейки оперативной памяти. Одни из ячеек содержат пассивную информацию (например, числа), другие — приказы (команды). Когда управление находится в ячейке, содержащей команду, управляющее устройство выполняет эту команду. Затем оно передает управление в другую ячейку и т. д.



Рис. 2.13. Функциональная схема передачи управления

Для систем с передачей управления функциональную схему строят следующим образом. Каждой вершине графа сопоставляют одну из подсистем A, и множество всех состояний системы, при которых управление находится в данной подсистеме. Тогда дуги (стрелки) означают передачу управления от одной подсистемы к другой (рис. 2.13). На такой схеме даже при полной детерминированности каждого следующего состояния предыдущим могут быть разветвления благодаря тому, что каждая вершина соответствует обширному множеству состояний и передача управления может зависеть от состояния управляющего устройства или подсистемы, в которой находится управление. Функциональные схемы часто рисуют обобщенно, пропуская какие-то несущественные детали и шаги. Тогда может оказаться, что то, по какому пути в разветвлении перейдет управление, зависит от состояния нескольких различных подсистем. Условие, при котором осуществляется данный переход, обычно выписывают рядом со стрелкой. Схему на рис. 2.10 можно понимать в таком именно смысле. Тогда в ней подразумевается, что система имеет две подсистемы: блок проверки и блок выполнения операции, и управление переходит из одной в другую в соответствии со стрелками. У системы могут быть и другие подсистемы (в данном случае — среда), но они никогда не получают управления и поэтому не изображаются на схеме (точнее, те моменты, когда среда меняет состояние системы или меняет свое состояние под действием системы, включаются в процесс действия одного из блоков).

Можно отойти еще дальше от структурной схемы. Передача управления в некоторую подсистему означает ее активацию, т. е. выполнение того действия, для которого подсистема предназначена. Но мы можем и не знать, какая подсистема отвечает за данное наблюдаемое действие. Тогда вершины графа мы будем отождествлять с действиями как таковыми, а другие будут означать переход от одного действия к другому. Понятие «действие как таковое», если определять его строго, надо отождествлять с понятием «обобщенное состояние» («множество состояний»), и это возвращает нас к первому — самому абстрактному — определению функциональной схемы. В самом деле, когда мы говорим, что собака «бежит», «лает» или «вертит хвостом», то под каждое из этих определений подходит множество конкретных состояний собаки. Правда, здесь бросается в глаза одна несообразность: «состояние» есть нечто статическое, в то время как «действие» — нечто явно динамическое, скорее изменение состояния, чем само состояние. Если на мгновенной фотографии хвост собаки не выходит из плоскости симметрии, то еще неизвестно, вертит она им или он застыл в неподвижности. Это противоречие снимается тем замечанием, что в понятие состояния входят не только величины типа «положение», но и величины типа «скорость», «ускорение» и т. д. В частности, указание состояния собаки включает указание напряженности мышц ее хвоста и возбужденности всех нейронов, регулирующих состояние мышц.

2.14. Переход к феноменологическому описанию


Итак, формально, действие на функциональной схеме — это множество состояний. Но сказать, что данное действие есть какое-то множество, — это почти ничего не сказать. Надо уметь определить это множество. И если мы не знаем структуры системы и способа ее функционирования, то сделать это строго практически невозможно. Остается довольствоваться неполным, феноменологическим определением, основанным на внешне проявляемых следствиях внутренних состояний. Вот такими-то функциональными схемами с более или менее точно определенными действиями в вершинах графа и описывается поведение сложных, неизвестно как устроенных систем, подобных животным или человеку. Схемы на рис. 2.10 и 2.11 являются, конечно, именно такими схемами. Феноменологический подход к деятельности мозга осуществляется двумя науками: психологией и бихевиористикой (изучение поведения). Первая основана на наблюдениях субъективных (изнутри), вторая — объективных (извне). Они тесно связаны между собой, и часто их объединяют под общим названием психологии.



Рис. 2.14. Иерархический план забивания гвоздя

Так как операционный компонент единицы T-O-T-E может быть составным и требовать выполнения нескольких подчиненных планов, единицы T-O-T-E могут иметь иерархическую структуру. Миллер, Галантер и Прибрам приводят следующий пример. Если удар молотком по гвоздю представить как двухфазное действие, слагающееся из подъема и опускания молотка, то функциональная схема на рис. 2.11, изображающая план забивания гвоздя, перейдет в схему на рис. 2.14. Эта схема в свою очередь может входить в качестве элемента в операционный компонент схемы T-O-T-E более высокого уровня.

Мы видели, что элементарной функциональной схеме на рис. 2.10 соответствует элементарная структурная схема на рис. 2.6. Что происходит со структурной схемой, когда планы образуют иерархию? Точнее, наоборот: какие структурные схемы могут обеспечить выполнение иерархически построенного плана?

Можно предположить различные варианты таких схем. Например, можно представить, что блок сравнения всегда один и всегда пользуется одной и той же подсистемой, хранящей цель, но состояние этой последней (т. е. цели) меняется под действием других частей системы, обеспечивая вытекающую из плана смену целей. Напротив, можно представить, что пара — блок сравнения и цель — размножается многократно, и при выполнении иерархического плана управление переходит от одной пары к другой. Можно предположить комбинацию этих двух способов. И вообще можно придумать множество различно устроенных кибернетических устройств, осуществляющих одну и ту же иерархическую функциональную схему. Ясно только, что они будут иметь иерархическую структуру и что устройства такого типа могли возникнуть эволюционно путем редупликации подсистем и отбора полезных вариантов.

Каковы же структурные схемы, реально возникшие в процессе эволюции? Увы, пока мы этого достоверно не знаем. Поэтому-то нам и пришлось перейти к функциональным схемам. И это только первое из ограничений, которые мы будем вынуждены накладывать на стремление к точному кибернетическому описанию высшей нервной деятельности. Мы очень мало знаем сейчас о кибернетической структуре и работе мозга высших животных и, тем более, человека. Собственно говоря, мы почти ничего не знаем. Есть только отдельные факты и предположения. Поэтому в дальнейшем анализе нам придется опираться главным образом на феноменологию — данные бихевиористики и психологии, где дело обстоит несколько лучше. Что касается кибернетического аспекта, то мы перейдем на уровень чрезвычайно общих понятий. На этом уровне мы обнаружим определенные закономерности, столь общие, что они объясняют этапы развития как нервной системы, так и человеческой культуры и, в частности, науки. Тот относительно конкретный анализ первых этапов эволюции нервной системы, который позволило нам сделать нынешнее состояние знаний, послужит нам разбегом для последующего более абстрактного анализа. Конечно, нашей истинной целью является именно этот абстрактный анализ, но было бы приятнее, если бы, зная кибернетику мозга, мы могли совершить переход от конкретного к абстрактному более плавно и обоснованно.

2.15. Определение сложного рефлекса


Подводя итог описанию четвертого этапа развития, мы можем определить сложный рефлекс как такой процесс, когда возбуждение рецепторов, вызванное взаимодействием с внешней средой, передается по нервной сети, преобразуясь ею, и активизирует определенный план действий, который тут же начинает выполняться. В этой схеме поведения все обратные связи между организмом и средой осуществляются в процессе регулирования действий планом, а в целом взаимодействие между средой и организмом описывается классической формулой стимул — реакция. Только теперь реакция — это активизация того или иного плана.

1 Позже мы дадим несколько более общее определение понятия, а множество ситуаций назовем аристотелевским понятием. Сейчас мы опускаем прилагательное «аристотелевский» для краткости.

2 Согласно терминологии, принятой многими логиками, противопоставление абстрактных понятий конкретным — это совсем не то же самое, что противопоставление общих понятий единичным. В учебнике логики (Логика. М.: Госполитиздат, 1956) читаем: «Понятие, посредством признаков которого предмет мыслится как таковой и как данный предмет, называется конкретным. Понятие, посредством признаков которого мыслится не данный предмет как таковой, а некоторое свойство предмета или отношение предметов, называется абстрактным».

Из этого определения, которое трудно назвать шедевром ясности мысли, можно все-таки заключить, что общие понятия, которые образуются не путем перечисления единичных объектов, входящих в него, а путем указания ряда признаков, объявляемых существенными, и отвлечения от остальных (несущественных) признаков, можно также считать абстрактными. Мы будем рассматривать только такие общие понятия и будем называть их также абстрактными. Например, абстрактный треугольник — это любой треугольник, независимо от величины его сторон и углов и его положения на экране, следовательно, это абстрактное понятие. Такое употребление термина «абстрактный» имеет место в обиходе, а также в математике. В то же время, согласно учебнику логики, «треугольник», «квадрат» и т. п. суть конкретные общие понятия, а вот «треугольность» и «квадратность», которые им свойственны, это понятия абстрактные. По существу, здесь в ранг логического возводится чисто грамматическое различие, ибо даже с точки зрения сторонника последнего варианта терминологии обладание абстрактным понятием равнозначно обладанию соответствующим общим понятием.

3 Pyc. пер. см. в сб.: Электроника и кибернетика в биологии и медицине. М.: Изд-во Иностр. Лит., 1963.

4 См.:Причард Р. Изображение на сетчатке и зрительное восприятие // Проблемы бионики. М.: Мир, 1965. Пер. с англ.: Pritchard R. Stabilized image on the retine // Sci. Amer. 1961. Vol. 204, N 6. P. 72–78.

Глава 3. На пути к человеку


3.1. Метасистемный переход


Как уже было сказано, описание следующих этапов развития нервной системы мы будем проводить в плане более феноменологическом. Для этого нам надо подытожить результаты исследования механизма эволюции на ранних этапах в терминах общих кибернетических понятий. Начав думать в этом направлении, мы легко обнаружим одну общую черту в переходах от низшего этапа к высшему. А именно все эти переходы совершаются следующим образом. На каждом этапе биологическая система имеет подсистему, которая может быть названа высшим управляющим устройством и которая имеет наиболее позднее происхождение и наиболее высокую организацию. Переход на следующий этап происходит путем размножения этих подсистем (путем многократной редупликации) и интеграции их, т. е. объединения в одно целое с образованием (по методу проб и ошибок) системы управления, во главе которой стоит новая подсистема, которая теперь является высшим управляющим устройством нового этапа эволюции. Систему, состоящую из управляющей подсистемы Х и управляемых ею многих однородных подсистем A1,A2, A3,… мы назовем метасистемой по отношению к системам A1, A2,A3,… Переход с этапа на этап мы назовем, следовательно, метасистемным переходом (рис. 3.1).


Рис. 3.1. Метасистемный переход

Это понятие будет играть решающую роль в последующем изложении. Метасистемный переход создает высший уровень организации — метауровень по отношению к уровню организации интегрируемых подсистем. С точки зрения функциональной метасистемный переход состоит в том, что деятельность, являющаяся управляющей на низшем этапе, становится управляемой на высшем этапе и появляется качественно новый (высший) вид деятельности, заключающийся в управлении деятельностью. Редупликация и отбор приводят к созданию необходимых структур. Первый метасистемный переход, который мы усматриваем в истории животных, это возникновение движения. Интегрируемыми подсистемами являются части клетки, обеспечивающие обмен веществ и размножение. Положение этих частей в пространстве до поры до времени случайно, неуправляемо. Но вот появляются органы, соединяющие остальные части клетки и приводящие их в движение: клеточная мембрана, реснички, жгутики. Происходит метасистемный переход, который можно определить формулой

Управление положением = Движение.

На этом этапе движение неуправляемо, никак не коррелировано с движением внешней среды. Сделать его управляемым — следующая задача природы. Управлять движением — значит сделать его определенной функцией состояния среды. Так возникает раздражимость — изменение состояния каких-то участков клетки под действием внешних факторов и распространение этого изменения на другие участки, в частности обеспечивающие движение. Итак, формула метасистемного перехода от второго к третьему этапу такова:

Управление движением = Раздражимость.

Интеграция клетки с образованием многоклеточного организма также является переходом от системы к метасистеме. Однако этот переход касается исключительно структурного аспекта и неописуем в функциональных терминах. С точки зрения функциональной неважно в конце концов, происходят ли размножение и интеграция в какой-то части организма или организмы интегрируются целиком. Это, так сказать, вопрос технический. Раздражимость появляется уже у одноклеточных организмов, но полностью проявляет свои возможности после интеграции клеток.

Здесь необходимо указать на одну важную черту метасистемного перехода. Когда интегрируемые подсистемы объединяются в метасистему, то вследствие разделения функций между ними происходит их специализация, т. е. приспособление к определенной частной деятельности и утрата способности к другим видам деятельности. Специализация особенно отчетливо проявляется при интеграции целых организмов. Каждая интегрируемая подсистема содержит в этом случае много «лишнего» того, что было необходимо ей для самостоятельной жизни, но не нужно в сообществе, ибо соответствующие функции выполняются другими подсистемами. Так, в многоклеточном организме появляются специализированные мышечные и нервные клетки.

Вообще надо отметить, что интеграция подсистем отнюдь не является концом их эволюционирования. Нельзя представить дело таким образом, что системы A1, A2,A3, … размножаются в больших количествах, после чего «над ними» вдруг возникает управляющее устройство X. Напротив, зачатки системы управления образуются, когда число подсистем Ai невелико — всего несколько штук. Только при таком условии, как мы видели выше, может работать метод проб и ошибок. Уже после того, как наметилась управляющая подсистема X, происходит массовая редупликация подсистем Ai, в процессе которой совершенствуются как Ai, так и X. Возникновение структуры управления подсистемами Ai, не завершает, а вызывает бурный рост числа подсистем Ai, и предшествует ему, ибо при этом размножение Ai, становится нужным для организма. Носитель определенного уровня организации разрастается лишь после того, как начинает образовываться новый, более высокий уровень. Эту черту можно назвать законом разрастания предпоследнего уровня. Поэтому и при феноменологическом функциональном описании метасистемный переход проявляется не тотчас же вслед за закладкой нового уровня, а несколько позже, когда предпоследний уровень «войдет в силу». Метасистемный переход всегда затрагивает два уровня организации.

Продолжим наш обзор этапов эволюции. Применим принцип метасистемного перехода к уровню раздражимости. На этом уровне возбуждение каких-то участков одноклеточного организма или специализированной нервной клетки в многоклеточном организме происходит непосредственно внешней средой и это возбуждение непосредственно (один к одному) вызывает возбуждение мышечной активности. Что может означать управление раздражимостью? Очевидно, создание нервной сети, элементы которой, в частности эффекторы, возбуждаются не прямо внешней средой, а через посредство сложной управляющей системы. Это тот этап эволюции, который мы связали с понятием сложного рефлекса. Особенно отчетливо виден факт управления раздражимостью на этом этапе в том, что при наличии цели возбуждение эффекторов зависит не только от состояния внешней среды, но и от этой цели, т. е. от состояния каких-то внутренних нейронов сети. Итак, формула этого метасистемного перехода (от третьего к четвертому этапу):

Управление раздражимостью = Сложный рефлекс.

Что же дальше?

3.2. Управление рефлексом


Сколь бы ни была совершенна нервная сеть, построенная по принципу сложного рефлекса, она обладает одним существенным недостатком: неизменностью функционирования во времени. Животное с такой нервной системой ничего не может извлечь из своего опыта, его реакции всегда будут одинаковыми, его действия всегда будут совершаться по одним и тем же планам. Чтобы животное могло обучаться, его нервная система должна содержать какие-то вариабельные компоненты, которые обеспечивали бы изменение связей между ситуациями и действиями. Эти компоненты, следовательно, будут осуществлять управление рефлексами. Хорошо известно, что животные обладают способностью к обучению и выработке новых рефлексов. По терминологии, введенной Павловым, врожденный рефлекс, заложенный в нервную систему природой, называется безусловным рефлексом, а рефлекс, выработанный под действием внешней среды, — условным рефлексом. Когда мы говорим о сложном рефлексе, мы имеем в виду, конечно, безусловный сложный рефлекс. Наличие компонентов, управляющих сложными рефлексами, проявляется в опытах по обучению животных как способность к образованию условных рефлексов.

Однако мы не можем отождествить понятие условного рефлекса с понятием управления рефлексом. Последнее понятие шире. Ведь наше понятие сложного рефлекса, взятое в контексте описания общих принципов эволюции нервной системы, означает по существу любую фиксированную связь между состояниями классификаторов, фиксаторов представлений и эффекторов. Следовательно, управление рефлексами надо понимать как создание под действием индивидуального опыта любых переменных связей между этими объектами. Такие связи называют ассоциациями представлений или просто ассоциациями. Термин «представление» понимается здесь в широком смысле — как состояние любых подсистем мозга, в частности классификаторов и эффекторов. Образование ассоциаций мы будем называть ассоциированием (терминология тяжеловатая, зато точная). Итак, пятый этап эволюции — этап ассоциаций. Формула метасистемного перехода на этом этапе:

Управление рефлексами = Ассоциирование.

3.3. Рефлекс как функциональное понятие


Понятия рефлекса и ассоциации — не структурные, а функциональные понятия. Связь между стимулом S и реакцией R в рефлексе (рис. 3.2) — не передача информации от одной подсистемы к другой, а переход из одного обобщенного состояния в другое. Это разграничение необходимо, чтобы не смешивать рефлекс как определенную функциональную схему, описывающую поведение, с воплощением этой схемы, т. е. с кибернетическим устройством, обнаруживающим эту схему поведения.


Рис. 3.2. Функциональная схема безусловного рефлекса

Путаница легко может возникнуть, ибо простейшее воплощение рефлекторного поведения имеет структурную схему, совпадающую по внешности со схемой на рис. 3.2, только под S и R надо в ней понимать материальные подсистемы, фиксирующие стимул и реакцию. Такое совпадение не совсем случайно. Как мы уже говорили при определении функциональной схемы, разбиение множества всех состояний системы на подмножества, приписываемые вершинам графа, тесно связано с разбиением системы на подсистемы. В частности, с каждой подсистемой, которая может находиться в двух состояниях («да» и «нет»), можно связать множество всех состояний системы в целом, при которых эта система находится в определенном состоянии, скажем «да». Проще говоря, при определении обобщенного состояния мы учитываем только состояние данной подсистемы, а что делается с остальными подсистемами, нам безразлично. Допустим, что буквы S и R обозначают именно такие подсистемы, т. е. подсистема S есть распознаватель стимула (множества ситуаций) S, а подсистема R - эффектор, вызывающий реакцию R. Тогда утверждение, что «да» в подсистеме S передается по каналу связи (стрелка) в подсистему R, приводя ее также в состояние «да», совпадает с утверждением, что обобщенное состояние S переходит (стрелка) в состояние R. Поэтому структурная и функциональная схемы оказываются очень похожими. Правда, на структурной схеме никак не отражено, что «да» вызывает «да», а не «нет», в то время как в этом вся суть рефлекса. Рефлекс, как уже говорилось, понятие функциональное.

3.4. Зачем нужны ассоциации представлений


Эти предварительные соображения нам потребовались для того, чтобы лучше уяснить понятие ассоциации и связь между функциональным описанием через ассоциации и структурным — через классификаторы.

Поскольку с каждым классификатором можно связать одно или несколько обобщенных состояний, иерархии классификаторов соответствует иерархия обобщенных состояний. Вводя понятие классификатора, мы указываем, что каждому состоянию классификатора (теперь мы можем сказать: каждому обобщенному состоянию системы в целом) соответствует наличие определенного понятия на входе системы, т. е. принадлежность входной ситуации к определенному множеству. Понятия «понятие» (аристотелевское) и «обобщенное состояние» близки между собой: и то и другое — множества состояний. Но «обобщенное состояние» — более общее понятие, оно может учитывать состояние не только рецепторов, но и любых других подсистем, в частности классификаторов. Последнее необходимо, чтобы следить за динамикой состояния системы в процессе обработки информации.

Посмотрим, как связаны между собой обобщенные состояния K-го и следующего K+1-го уровня иерархии. Основная задача классификаторов, как мы знаем, сохранение «существенной» и отбрасывание «несущественной» информации. Это значит, что существует какое-то множество состояний K-го уровня, от каждого из которых на функциональной схеме отходит стрелка к одному и тому же состоянию K+1-го уровня. На рис. 3.3 представления (обобщенные состояния) Т1 и T2 в равной мере вызывают представление U. Если Т1 и T2 всегда сопутствуют друг другу, то такая схема будет заведомо выгодна животному. Ему не надо знать, что имеет место как Т1 так и T2, достаточно знать, что имеет место U. Таким образом и осуществляется отбрасывание лишней информации, сжатие ее полезной части. Сжатие информации оказывается возможным благодаря тому, что Т1 и T2 всегда встречаются вместе. Это есть некий факт, внешний по отношению к нервной системе и относящийся лишь к потоку ситуаций, подаваемых на ее вход. Он свидетельствует о наличии определенной организованности потока ситуаций, являющейся следствием организованности среды, окружающей животное. Устройство нервной системы и ее деятельность — система рефлексов — отражают свойства внешней среды. Происходит это потому, что, пробуя разные варианты отбрасывания информации, природа находит, в конце концов, такой вариант, когда отбрасывается в самом деле лишняя информация, являющаяся таковой вследствие частичной организованности внешней среды.



Рис. 3.3. Ассоциация представлений

На этапе безусловного рефлекса структура таких связей, как изображенные на рис. 3.3, не меняется на протяжении жизни животного и одинакова у всех животных данного вида. Но, как мы уже говорили, такое положение неудовлетворительно. Наступает метасистемный переход, и связи между обобщенными состояниями становятся управляемыми. Теперь, если в индивидуальном опыте животного Т1 и T2 всегда (или хотя бы достаточно часто) сопутствуют друг другу, в его мозгу образуются новые связи, не детерминированные наследственностью однозначно. Это и есть ассоциирование - образование новой ассоциации представлений.

Ясно, что ассоциации образуются между представлениями высшего уровня иерархии. Таким образом, самые общие корреляции во внешней среде, одинаковые для всех времен и всех мест обитания, отражаются в постоянном устройстве нижних уровней классификаторов. Более частые корреляции отражаются переменными связями на высшем уровне.

3.5. Вызов по дополнению


Схема на рис. 3.3 может вызвать недоумение. Говоря об ассоциации представлений, мы обычно подразумеваем нечто вроде двойной связи между Т1 и T2, когда Т1 вызывает T2, а T2 вызывает Т1. На нашей же схеме оба представления вызывают нечто третье, а именно U, причем обратные стрелки от U к Т1 и T2 отсутствуют. В действительности же схема на рис. 3.3 более точно соответствует понятию ассоциации представлений, чем схема с двойной связью. В частности, она содержит вызов, в определенном смысле, представлением Т1 представления T2 (и наоборот), но это вызов по дополнению. Представление U содержит в себе как Т1 так и T2, ведь оно задумано нашей нервной системой как эквивалентное одновременному наличию Т1 и T2. Поэтому когда Т1 в отсутствие T2 вызывает U, то в этом самом U неявно содержится T2. Вызывая U, мы как бы дополняем Т1 несуществующим T2.

Этот процесс мысленного дополнения никак не связан с тем фактом, что ассоциация вырабатывается путем обучения. Здесь играет роль только сам способ обработки информации мозгом. Когда работают врожденные механизмы низших уровней, эффект дополнения проявляется еще более ярко, ибо никаким обучением, никакой тренировкой вы его не ослабите и не усилите.



Рис. 3.4. точки образуют линию

Взгляните на рис. 3.4. Вы видите на нем не только точки, но и линию — дугу окружности. На самом деле никакой линии там нет. Но вы мысленно дополняете рисунок так, чтобы они образовали сплошную линию. В терминах рис. 3.3 здесь Т1 — реально существующие точки, U - линия, T2 — дополнительные точки. Тот факт, что вы усматриваете несуществующую линию, свидетельствует о наличии в мозгу (или в сетчатке) классификаторов, создающих представление U.

Почему возникли эти классификаторы? Потому что ситуации, поступающие на вход нашего зрительного аппарата, обладают свойством непрерывности. Освещенности соседних рецепторов сетчатки сильно коррелированы. Изображение на сетчатке — не мозаичный набор точек, а набор световых пятен. Значит, переводя изображение на язык пятен, мозг (мы говорим «мозг» условно, не задаваясь вопросом, где на самом деле осуществляется перевод) отбросит бесполезную информацию и сохранит полезную. Так как состоять из пятен — всеобщее свойство изображений на сетчатке, язык пятен должен располагаться на одном из уровней и быть врожденным. Линия, которую мы «видим» на рис. 3.4, — это длинное и узкое пятно.

3.6. Пятна и линии


Обратите внимание: мы свели понятие линии к понятию пятна. Мы должны были это сделать потому, что подводили теоретическую базу под существование соответствующих классификаторов. Действительно, из двумерной непрерывности изображения на сетчатке можно сделать вывод, что основным понятием для мозга должно быть понятие пятна, а не линии. Линия может входить либо как пятно экзотической формы, либо как граница между пятнами. Это теоретическое соображение подтверждается многими наблюдениями.



Рис. 3.5. Маскировка круга, образуемого вершинами углов

На рис. 3.5,а отчетливо виден круг, образованный вершинами углов. На соседнем рисунке вершины углов расположены в точности так же, но стороны их направлены хаотически как наружу, так и внутрь круга. В результате круг исчезает. Можно проследить за вершинами, перенося внимание с одной на другую, и убедиться, что они расположены на окружности, но увидеть это подобно тому, как это видно на первом рисунке, не удается. И это несмотря на то, что точки, образующие окружность, все являются вершинами углов и нет ни одной вершины, не лежащей на окружности. Даже самая простая программа машинного распознавания окружностей «увидела» бы на рис. 3.5,б (как и на рис. 3.5,а) окружность. Между тем наш глаз ее не видит. А на рис. 3.5,а, где все лучи направлены наружу, наш глаз размазывает их в некое подобие обода и ясно видит внутренний круг — двумерное образование, пятно. Становится видна и окружность — граница этого пятна.



Рис. 3.6. Иллюзия сближения диагоналей

Есть много зрительных иллюзий, являющихся следствием того, что мы «видим пятна», и дающих поучительные примеры врожденных ассоциаций. Одна из лучших представлена на рис. 3.6. Фигура а — квадрат и его диагонали пересекаются под прямым углом. Фигура б построена из дуг окружностей, но вершины ее образуют в точности такой же квадрат, как и на фигуре а, и, следовательно, диагонали также пересекаются под прямым углом. В это почти невозможно поверить — так велика иллюзия, что диагонали фигуры б приближены к вертикали. Эту иллюзию можно объяснить тем, что вместе с микрохарактеристиками фигуры, т. е. с деталями ее формы, мы всегда воспринимаем и ее макрохарактеристику — общий облик. Общий облик фигуры б - пятно, вытянутое по вертикали. О степени вытянутости можно судить по фигуре в. Это прямоугольник, площадь которого равна площади фигур а и б, а отношение ширины к высоте равно отношению средней ширины фигуры б к ее средней высоте. Гипотетический классификатор, регистрирующий общую вытянутость фигуры, придет при созерцании фигуры б в такое же состояние, как при созерцании прямоугольника в. Иначе говоря, хотим мы того или нет, но фигура б у нас ассоциируется с прямоугольником в. Проводя мысленно диагонали в фигуре б, мы отождествляем их с диагоналями прямоугольника в, которые образуют острые вертикальные углы. Классификатор, регистрирующий вытянутость пятна — вещь, несомненно полезная, особенно полезен был он для наших далеких предков, которые и не воспринимали мир в более тонких понятиях. Но из-за того, что мы не можем включать и выключать его по желанию, он оказывает нам иногда дурную услугу, вызывая обман зрения.

3.7. Условный рефлекс и обучение


Однако возвратимся от врожденных ассоциаций к вырабатываемым, т. е. собственно к ассоциированию представлений. В различии между суффиксами этих однокоренных слов — вся суть метасистемного перехода от четвертого к пятому этапу эволюции. Ассоциация - это просто один из аспектов сложного рефлекса, ассоциирование — это управление ассоциациями: образование новых ассоциаций и исчезновение старых.

Наиболее полно способность к ассоциированию представлений проявляется как способность к образованию (и, следовательно, распознаванию) новых понятий. Примером может служить собака, издалека узнающая своего хозяина.



Рис. 3.7. Схема условного рефлекса

Павловский условный рефлекс является более частным проявлением способности к ассоциированию. Его схема изображена на рис. 3.7. Безусловный раздражитель S1 (еда) всегда сопровождается условным раздражителем S2 (свисток), в результате они ассоциируются в одно представление U, которое вследствие наличия в нем S1 вызывает реакцию R (отделение слюны). Тогда раздражитель S2 даже при отсутствии S1 вызывает U и, следовательно, R. Свисток вызывает отделение слюны.

Может возникнуть следующий вопрос. Условный рефлекс возникает на основе безусловного, схема которого есть SR. В то же время если на рис. 3.7 убрать условный раздражитель, то мы получим схему S1UR. Откуда мы знаем, что существует ступень U? Не является ли это произвольной гипотезой?

В действительности схема на рис. 3.7 не содержит абсолютно никаких гипотез. Подчеркнем еще раз, что эта схема функциональная, а не структурная. Мы не делаем никаких предположений об устройстве нервной сети, а только описываем наблюдаемые факты. А эти факты таковы: во-первых, состояние S1 через посредство каких-то промежуточных состояний приводит к состоянию R, во-вторых, состояние S2 также, в конечном счете, приводит к R. Следовательно, в какой-то момент эти два процесса соединяются. Состояние в этот момент мы обозначаем через U и получаем схему, о которой идет речь.

Этим наша схема и наш подход вообще отличаются от павловской схемы рефлекторной дуги, которая как раз и является структурной схемой, физиологической моделью высшей нервной деятельности.

Процесс обучения, если он не сводится к выработке нескольких условных рефлексов (т. е. затрагивает только распознавательную иерархию), включает в себя еще элемент научения — выработки умения, навыка.

Процесс научения также укладывается в схему ассоциирования представлений при том общем смысле, который мы придаем этому понятию. Ведь научение — это выработка и закрепление детального плана для достижения цели, нового плана, которого раньше не было. План можно представить как организованную совокупность ассоциаций. Вспомним схему регулирования (см. рис. 2.6). Блок сравнения должен при фиксированной цели сопоставить каждой ситуации определенное действие. «Необученный» блок сравнения будет пробовать всевозможные действия и останавливаться на тех из них, которые приводят к уменьшению расхождения между ситуацией и целью (метод проб и ошибок). В результате обучения устанавливается связь между ситуацией и соответствующим действием (которое ведь тоже есть представление), так что обученный блок сравнения выполняет нужное действие быстро и безошибочно.

Несколько слов об инстинкте и о соотношении между инстинктивным поведением и поведением, выработанным путем обучения. Что такое инстинкт? Очевидно, это нечто, передающееся по наследству, но что именно? Миллер, Галантер и Прибрам в книге, на которую уже ссылались, определяют инстинкт как «наследственный неизменяемый непроизвольный план». Планы, как мы знаем, устроены по иерархическому принципу. Теоретически можно допустить существование инстинкта, распространяющегося на все этажи иерархии, включающего и общую стратегию, и частные тактические приемы вплоть до сокращения отдельных мышц. «Но если такой инстинкт существует, — пишут указанные авторы, — то мы никогда о нем не слышали». Инстинкт всегда сохраняет определенную высоту положения в иерархии поведения, предоставляя животному встраивать недостающие компоненты низких уровней путем обучения. Волчонок, пытающийся схватить убегающее животное, действует, несомненно, под влиянием инстинкта. Но одно дело пытаться, другое дело уметь это сделать. «Можно считать,— пишут Миллер, Галантер и Прибрам, — что у крыс копуляция является инстинктивной формой поведения. В известных отношениях так оно и есть. Однако грубость копулятивного поведения крысы, которая не имеет опыта в области ухаживания, отчетливо показывает, что известная практика в этих инстинктивных реакциях является необходимой».

По мере усложнения организации животного и возрастания его обучаемости в процессе эволюции инстинкты «отступают вверх», становясь все более абстрактными и оставляя все больше пространства для их реализации. От этого поведение животного становится все более гибким и оперативно меняющимся при изменении внешних условий. Шансы вида на выживание увеличиваются.

3.8. Моделирование


До сих пор, говоря об ассоциациях представлений, мы полностью игнорировали их динамический, временной аспект, т. е. рассматривали связываемые представления как статические и не имеющие никакой координаты во времени. Между тем идея времени может активно входить в наши представления. Мы можем представить себе фигуры, движущиеся и меняющиеся с определенной скоростью, можем мысленно продолжить наблюдаемый процесс. По дороге катится колесо. Вы закрываете глаза на пару секунд и представляете движение колеса. Открыв глаза, вы видите его на том самом месте, где и ожидали. Это, конечно, результат ассоциации представлений, но такой ассоциации или, вернее, таких представлений, которые органически связаны с течением времени. Положение x колеса в момент времени t ассоциируется с положением х1 в момент времени t + ∆t, а также с положением х2 в момент времени t + 2∆t и т. д. Каждое из этих представлений включает в себя представление о времени, к которому оно относится. Каков механизм этого включения, мы не знаем и в соответствии с нашим подходом не будем строить на этот счет никаких гипотез. Заметим только, что ничего особенно удивительного в таком включении нет. Хорошо известно, что в организме есть свой датчик времени — «внутренние часы».

Ассоциация представлений, имеющих временную координату, дает вам возможность предвидеть в своем воображении будущие ситуации. Мы установили наличие таких представлений, опираясь на внутренний, субъективный опыт. Но из того факта, что животные также обнаруживают способность предвидения (посмотрите, как ловит собака кусок сахара), мы заключаем, что их представления могут обладать временной координатой.



Рис. 3.8. Схема моделирования

Говоря языком кибернетики, связывание представлений, включающих временную координату, и вытекающая отсюда способность предвидеть будущее есть не что иное, как моделирование, построение модели окружающей среды.

Дадим общее понятие модели. Рассмотрим две системы α и β. Допустим, что каждому состоянию Ai, системы α мы можем каким-то образом сопоставить одно определенное состояние Bi, системы β (рис. 3.8).

Обратное соответствие не обязательно должно быть однозначным, т. е. одному состоянию β может соответствовать множество состояний α. Так как обобщенное состояние согласно нашему определению есть множество состояний, можно характеризовать это положение как взаимно однозначное соответствие состоянии системы β обобщенным состояниям системы α. Это необходимо, но не достаточно, чтобы считать систему β моделью системы α. Должно еще существовать такое преобразование T(t) системы β, зависящее от времени t, которое моделирует естественное течение времени в системе α. Это означает следующее. Пусть первоначально система α находится в обобщенном состоянии A1, которому соответствует состояние Bi, системы β. Пусть по прошествии времени t состояние системы α становится A2. Тогда преобразование T(t) должно переводить систему β в состояние B2, соответствующее обобщенному состоянию A2. Если это условие выполнено, мы называем систему β моделью системы α.

Преобразование T(t) может, в частности, заключаться просто в том, что мы предоставляем системе β самой по себе менять свое состояние со временем. Такие модели называют моделями в естественном масштабе времени.

...Осаждающие сделали подкоп под крепостную стену и заложили в него несколько бочек с порохом. Рядомгорит свеча, от основания которой начинается пороховая дорожка к бочкам. Когда свеча догорит, будет взрыв. Точно такая же свеча, зажженная в то же время, горит на столе в палатке предводителя осаждающих. Эта свеча служит для него моделью первой. Зная, сколько времени осталось до взрыва, он отдает последние распоряжения... Свирепые лица склонились над столом, волосатые руки сжимают оружие. Свеча догорает. Страшный взрыв сотрясает воздух. Модель не подвела...

Изображение на экране телевизора, когда идет трансляция футбольного матча, можно тоже формально считать моделью футбольного поля и трибун стадиона. Действительно, все условия соблюдены. Однако чувствуется большое различие между случаем двух свечей и случаем трансляции матча. В чем оно состоит? В различии информационных связей между системами α и β. Любое изображение β объекта α является в широком смысле слова его моделью. Но от α к β существует непрерывный поток информации, и только благодаря этому потоку сохраняется соответствие между состояниями α и β. Имея информационный доступ к β, мы фактически имеем доступ к α. Система β служит лишь фазой передачи информации от α. Совсем другое дело в случае двух свечей. Свеча β горит с такой же скоростью, как свеча α, но независимо от нее. Предводитель осаждающих не имеет доступа к свече α и не может получить никакой реальной информации о ее состоянии. Путем моделирования он компенсирует этот недостаток получением эквивалентной информации. Система β играет здесь принципиально другую, более существенную роль. С ее помощью как бы преодолевается пространственный барьер, причем без установления каких-либо новых информационных каналов.

Еще более важен случай, когда модель помогает преодолевать не пространственный, а временной барьер. Информационного канала в будущее, увы, не проложишь. А модель позволяет нам действовать так, как будто такой канал есть. Для этого надо только, чтобы выполнение преобразования T(t) над моделью занимало меньше времени, чем само время t. Можно было бы привести много примеров использования таких моделей в жизни современного человека, однако вряд ли в этом есть необходимость. Вернемся еще раз к ассоциациям представлений.

Мы видели, что ассоциации статических представлений отражают наличие пространственных корреляций, взаимосвязей в окружающей среде. Точно так же ассоциации динамических представлений — модели, создаваемые мозгом — отражают динамические временные корреляции, свойственные внешней среде. Ситуация х через время t вызывает (или может вызвать) ситуацию Y — вот общая формула таких корреляций, и эти корреляции запечатлеваются в мозгу в виде соответствующих ассоциаций.

3.9. Познание мира


Что такое знание? Как можно с кибернетической точки зрения описать ту ситуацию, когда человек или животное знает то-то и то-то?

Допустим, вы знаете, что в соседней комнате находятся два человека. Тот факт, что они там действительно находятся, означает, что если вы войдете в комнату, то увидите там двух людей. Тот факт, что вы знаете об этом, означает, что, не входя в комнату реально, а лишь представив, как вы открываете дверь и входите в комнату, вы представляете себе и двух людей, находящихся в комнате. Следовательно, в вашем мозгу имеет место ассоциация представлений, позволяющая вам предвидеть результаты некоторых действий, т. е. некоторая модель действительности. Так же интерпретируются утверждения, что, видя катящееся колесо, вы знаете, где оно будет через секунду; что собака, на которую замахиваются палкой, знает, что последует удар, и т.п. Знание — это наличие в мозгу какой-то модели действительности. Увеличение знания, т. е. возникновение новых моделей действительности в мозгу, — это процесс познания. Познание мира не есть привилегия человека, оно свойственно уже высшим животным. Пятый этап эволюции можно назвать этапом индивидуального познания мира.

Глава 4. Человек


4.1. Управление ассоциированием


Мы подошли к самому волнующему моменту в истории жизни на Земле — появлению мыслящего существа, человека. Логика нашего повествования побуждает нас связать возникновение мышления с очередным метасистемным переходом. В настоящее время мы еще так мало знаем о процессе мышления и о структуре мыслящего мозга, что всякую теорию, претендующую на объяснение этого явления в целом, надо рассматривать как гипотетическую. Следовательно, и к нашей концепции мышления надо относиться как к гипотезе. Однако эта концепция указывает место мышления в ряду естественных явлений и, как мы увидим, приводит в систему обширное множество фактов. В ее пользу говорит также полное отсутствие произвольных допущений частного характера, которое обычно приходится делать, когда теория включает структурное описание мало изученного объекта. Ядром нашей концепции является не какая-либо гипотеза о конкретной структуре и механизме работы мозга, а выбор таких функциональных понятий, через которые становится возможным последовательное и достаточно убедительное объяснение фактов, относящихся к мышлению.

Итак, мы утверждаем, что появление мыслящих существ, знаменующее начало нового этапа эволюции и даже новой эры — Эры Разума, есть не что иное, как очередной метасистемный переход, происходящий по формуле

Управление ассоциированием = Мышление.

Чтобы доказать это утверждение, мы будем анализировать следствия, вытекающие из управления ассоциированием, и отождествлять эти следствия с теми формами поведения, которые мы наблюдаем у мыслящих существ.

Прежде всего, что такое управление ассоциированием? Представления Х и Y ассоциируются у животного только в том случае, когда они совместно появляются в его опыте. Если не будет их совместного (как правило, многократного) появления, то не возникает и ассоциации. Животное не вольно управлять своими ассоциациями. Оно имеет только те ассоциации, которые ей навязывает среда. Управление ассоциированием означает наличие в мозгу механизма, позволяющего ассоциировать любые два или несколько представлений, которые вовсе не имеют тенденции встречаться в опыте совместно. Иначе говоря, это произвольное, не навязанное внешней средой ассоциирование.

Казалось бы, эта акция совершенно бессмысленна. В огороде бузина, а в Киеве дядька — к чему связывать эти два факта, которые на самом деле никак не связаны между собой?

Тем не менее, произвольное ассоциирование имеет глубокий смысл. Оно действительно было бы бессмысленным, если деятельность мозга сводилась бы к пассивному восприятию впечатлений, их сортировке, компоновке и т. п. Но у него есть и другая задача, кстати основная, — управлять организмом, осуществлять активное поведение, которое меняет окружающую среду, создает новый опыт. Можно побиться об заклад, что будильник и подставка для чайника никак не ассоциируются в вашем сознании. И в сознании вашего трехлетнего сына тоже. Но, впрочем, только до поры до времени. В один прекрасный момент в голове юного гражданина почему-то возникает ассоциация между двумя этими предметами и им овладевает непреодолимое желание постучать подставкой по будильнику. В результате предметы приходят в состояние реального, физического взаимодействия.

При метасистемном переходе то, что раньше было зафиксированным и однозначно определенным внешними условиями, становится изменяемым, подверженным действию метода проб и ошибок. Управление ассоциированием — это, как и всякий метасистемный переход, в высшей степени революционный шаг, направленный против рабского послушания организма диктатуре внешней среды. Как всегда в методе проб и ошибок, только какая-то небольшая часть произвольных ассоциаций оказывается полезной и закрепляется, но это такие ассоциации, которые не могли бы возникнуть непосредственно под влиянием внешней среды. Они-то и обеспечивают разумному существу такие формы поведения, которые недоступны животному, застывшему на предыдущем этапе.

4.2. Игра


Высшие животные обнаруживают одну интересную форму поведения, которая роднит их с людьми и является своего рода провозвестником приближения эры разума. Речь идет не о поведении, связанном со спариванием (которое также иногда называют игрой), а о «чистой» и, по видимости, совершенно бесцельной игре, игре для удовольствия. Так играет кошка с бумажкой, играют друг с другом детеныши всех млекопитающих, а также и взрослые животные.

Что же такое игра? Как возникает это явление в животном мире?

Обычно игру объясняют потребностью в тренировке мышц и нервной системы. Несомненно, что игра оказывает в этом смысле положительное влияние, т. е. она полезна. Однако недостаточно указать на полезность формы поведения, надо еще объяснить, как она становится возможной. Когда котенок играет с бумажкой на нитке, он ведет себя так, как будто он принимает ее за добычу. Но было бы недооценкой умственных способностей котенка полагать, что он всерьез заблуждается. Нет, он уже много раз ловил эту бумажку, кусал ее, ощущал ее противный, несъедобный запах. Представление котенка о бумажке не включается в понятие «добыча». Между тем это представление частично активизирует тот самый план действий, который нормально активизируется понятием «добыча». Точно так же волк, играющий с товарищем, вовсе не принимает его за врага, но ведет себя — до определенной черты — так, как будто перед ним враг. В этом вся сущность игры. Ее можно понять как произвольное установление ассоциации между двумя предметами: бумажка — добыча, товарищ — враг. В результате возникает новое представление, которому, строго говоря, нет эквивалента в реальности. Такое представление мы называем фантазией, плодом воображения. Это бумажка, которая, с одной стороны, явно не есть добыча и в то же время как будто бы и добыча; это товарищ, который одновременно и товарищ и враг.

Синтетическое представление порождает и синтетический план действий, игровой план. Волк вполне серьезно, изо всех сил, старается догнать и вцепиться в товарища, но кусает его уже не всерьез.

Да, игра тренирует мышцы, вырабатывает навыки, которые пригодятся при действиях всерьез. Но это скорее производит впечатление полезного побочного результата, чем специальной стратегической цели, ради которой развиваются игровые формы поведения. Хорошо известно, как любят играть дети. Но в игре их привлекает не только и даже не столько удовольствие от физического упражнения или проявления своей ловкости, сколько игра как таковая. Когда мальчики играют в солдатиков, а девочки в куклы, они ничего не тренируют, кроме своего воображения, т. е. способности произвольного ассоциирования. От этих-то произвольных ассоциаций они и получают удовольствие. Детская игра — фаза развития, через которую неизбежно должен пройти каждый человек, чтобы стать человеком. К. Чуковский в своей замечательной книге «От двух до пяти» много страниц посвящает развитию мысли об абсолютной необходимости элементов игры и фантазии в воспитании ребенка. Дети не могут обойтись без них, они нужны им, как воздух. Дети предаются игре со всем жаром, ощущая ее как нечто нужное, важное, серьезное. К. Чуковский пишет:

Я знал мальчугана, который, играя в трубочиста, воскликнул:

– Не трогай меня, мама, ты запачкаешься!.. И другого, который по ходу игры надолго превратился в котлету и, добросовестно шипя на сковороде, в сердцах оттолкнул свою мать, когда она бросилась к нему с поцелуями:

– Как ты смеешь целовать меня жаренного!

Чуть моя трехлетняя Мура, играя, разложила на полу свои книги, книги тотчас же сделались речкой, где она ловила рыбу и стирала белье. И, нечаянно наступив на одну книгу, она так естественно всхлипнула «Ой, я замочила себе ногу», что и я на секунду поверил, будто эти книги — вода, и чуть не бросился к ней с полотенцем.

Во всех этих играх ребята выступают как авторы и в то же время исполнители сказок, воплощающие их в сценических образах. И жажда верить в свой сказочный вымысел у них так велика, что всякая попытка поставить их в рамки действительности вызывает у них жаркий протест.

Через потребность в игре аппарат управления ассоциациями впервые заявляет о своем присутствии. И поскольку он существует, он должен работать, он требует себе дела. Это так же естественно, как то, что легкие требуют воздуха, а желудок — пищи.

4.3. Изготовление орудий


Однако оставим игры и перейдем к серьезным поступкам взрослых людей.

Говоря о происхождении человека, в качестве первого его отличия от животного указывают на использование и изготовление орудий. Решающим здесь является, конечно, изготовление орудий. Использовать предметы в качестве орудий могут и животные. Дятловый вьюрок с Галапагосских островов с помощью колючки кактуса или щепочки выковыривает червяков из коры дерева. Каждый, кто видел на кинокадрах, как ловко управляется вьюрок с зажатой в клюве колючкой, не может не согласиться, что это явное и весьма искусное использование орудия. Калифорнийская морская выдра ложится на спину на поверхности воды, кладет себе на грудь плоский камень и разбивает об него ракушки. Обезьянам случается пользоваться палкой и камнем. Эти примеры чрезвычайно скудны, однако они показывают, что принципиально в использовании животным орудий нет ничего невозможного. В самом деле, почему план действий, передаваемый по наследству и подкрепляемый обучением, не может включать выбора и использования определенного рода предметов? Ведь такие понятия, как «длинное, острое» или «округлое, тяжелое», вполне доступны животному. Очевидно, примеры, подобные приведенным выше, редки потому, что орудия, которые можно получить от природы без специального изготовления, весьма несовершенны, и животные с большим успехом используют и совершенствуют в процессе эволюции свои естественные органы: клюв, когти, зубы. Чтобы использование орудий стало не исключением, а правилом, надо уметь изготовлять или хотя бы находить подходящие предметы ad hoc, т. е. специально для данного конкретного случая.

Допустим, вам надо забить гвоздь, а у вас под рукой нет молотка. Вы оглядываетесь, ища подходящий предмет, и видите на столе бронзовый бюст Наполеона. Раньше вам никогда не приходилось заколачивать гвозди наполеонами. Можно даже допустить, что ничем, кроме настоящего молотка, вы гвоздей не забивали. Это не помешает вам взять бюст и забить гвоздь. Ассоциации гвоздь — бюст у вас не было. Вы ее создали заново и ad hoc. Вы сопоставили в своем воображении гвоздь и бюст Наполеона, представили, как вы забиваете им гвоздь, и осуществили это на деле.

4.4. Воображение, планирование, преодоление инстинкта


Если в мозгу животного существует ассоциация между предметом Х — орудием и предметом Y — объектом действия (и, конечно, физическая возможность выполнить действие), то оно окажется способным применить орудие. Если же такой ассоциации нет, то животное «не догадается» сделать это. Собаку можно обучить подтаскивать зубами скамейку Х к забору Y, забираться на скамейку и перепрыгивать с нее через забор, который иначе она преодолеть не может. Но если она не обучена этому, то своим умом ей до этого не дойти. Она прекрасно знает, что скамейку можно передвигать с места на место. Она также знает, какие возможности открываются перед ней, если скамейка стоит около забора. Приставьте скамейку — она тут же вскочит на нее и перепрыгнет через забор (предполагается, что ей это почему-либо нужно). Значит, она умеет предвидеть результат комбинации Х и У. Соответствующая модель есть у нее в мозгу. Но эта модель лежит мертвым грузом, ибо собака не может представить себе комбинацию XY в виде цели, к которой надо стремиться, для этого ей не хватает воображения. Мало знать, что будет, если, надо еще вообразить, что может быть. Суховатую формулу, отождествляющую мышление с управлением ассоциированием, можно перевести на менее точный, но более образный язык как следующее утверждение: человек отличается от животного тем, что он обладает воображением.

Построим простенькую модель работы воображения. Обозначим через A ситуацию, которая имеет место в данный момент, и через Z — ситуацию, которой надо достичь. Будем считать, что при заданной ситуации непосредственно достижимой является лишь часть ситуаций, и будем записывать это формулами вида

A → (B, C, H, Z),

где в скобках стоят ситуации, непосредственно достижимые из A.

Допустим, что некое животное (или человек) знает, какие ситуации достижимы из каких, т. е. в его мозгу есть ряд ассоциаций, которые можно изобразить формулами, подобными приведенной. Мы также будем считать, что для каждого перехода от данной ситуации к другой (достижимой непосредственно) известно осуществляющее его действие, но не будем вводить для него обозначения, чтобы не загромождать запись.

Если в мозгу есть именно такая ассоциация, как приведенная выше, и, следовательно, состояние Z достижимо из A, то животное сразу же выполнит нужное действие. Допустим теперь, что мозг содержит следующую совокупность ассоциаций:

A → (B, C, D),

B → (E, F),

D → (G, H, I, J),

Н → (B, C),

I → (B, C, Z).

В этой таблице нельзя отыскать действие, которое приводило бы в Z, поэтому животное, поставленное перед такой задачей, решить ее не сможет. Оно либо ничего не будет делать, либо будет метаться — совершать в беспорядке все действия, которые есть в таблице. Человек же вообразит, что он совершил действие A, чтобы понять, какие ситуации станут для него доступными в этом случае. Иначе говоря, он создаст новые ассоциации, которые можно записать так:

AВЕ,

AВF.

Правда, эти ассоциации оказываются в данном случае бесполезными, но, продолжая подобные попытки, он в конце концов, найдет решение:

ADIZ.

Можно, конечно, идти и с другого конца — от цели Z. Главным здесь является то, что сама таблица ассоциаций не остается неизменной, она становится объектом работы по методу проб и ошибок, пополняется новыми строчками. И эти строчки появляются не под воздействием внешней среды (которое определяет только исходный список ассоциаций), а в результате функционирования специального механизма, подчиненного своим законам и правилам.

Зачатки воображения есть и у высших животных. В частности, они проявляются, как было отмечено, в играх. У самых развитых животных — человекообразных обезьян — элементы воображения уже вполне отчетливо видны в поведении. Они проявляют сообразительность, недоступную собакам и другим животным. Известны опыты, в которых обезьяна использовала подставку (куб), чтобы достать подвешенную приманку, и даже ставила куб на куб, если это не помогало. Обезьяна может вытолкнуть из отрезка трубы приманку с помощью палки, искать подходящую палку и, наконец, расщепить ее надвое, если она оказывается слишком толстой и не входит в трубу. Это уже можно считать началом изготовления орудий.

И все-таки граница проходит не между собакой и обезьяной, а между обезьяной и человеком. В какой-то момент способность управления ассоциированием у наших предков превысила тот порог, за которым она стала фактором, важным для выживания. И тогда эволюция пошла по пути совершенствования этой способности. Совершился метасистемный переход. Человек отделился от мира животных.

В процессе очеловечивания играли роль многие факторы и в первую очередь устройство конечностей человекообезьяны. Какие бы умные указания ни давал мозг, они пропадут впустую, если нет возможности их физической реализации. Но наличие органов, способных осуществлять тонкие действия, само по себе не породит мышления. Насекомые физически способны к очень сложным операциям, лапы ящеров могли бы, в принципе, тоже послужить исходной точкой для развития руки, а щупальца осьминога по своей конструкции совершеннее наших рук. Ведущая роль, несомненно, принадлежит мозгу. В то же время руки человекообезьяны и возможность их освобождения при ходьбе содействовали тому, что способность мозга к управлению ассоциациями стала (через посредство использования и изготовления орудий) фактором, имеющим решающее значение для выживания. В этом же направлении могли действовать и другие факторы, например резкое изменение природных условий. А может быть, играют роль еще какие-то обстоятельства. Выяснение конкретных условий происхождения человека и роли в этом процессе различных обстоятельств — проблема сложная и интересная. Над ней работают многие ученые. Но не она является предметом настоящей книги. Нам достаточно знать, что необходимое для метасистемного перехода сочетание условий осуществлялось.

Так как цели, входящие в качестве важнейших элементов в планы, суть представления, способность произвольно ассоциировать представления означает способность произвольного составления планов. Человек может решить: сначала я сделаю A, потом B, потом C и т. д. Возникает соответствующая цепочка ассоциаций. Человек может решить: надо обязательно сделать X. Возникает ассоциация «X — надо». У животного тоже все время возникают новые конкретные планы. Но механизм их возникновения иной. Они всегда являются частью более общего (стоящего выше в иерархии) плана, а в конечном счете — инстинкта. Цели, которые ставит животное, всегда направлены на осуществление инстинктивного плана действий. Инстинкт — верховный судья поведения животного, его абсолютный и непререкаемый закон. Человек также получает в наследство определенные инстинкты, но благодаря способности управления ассоциациями он может обойти их, может создавать планы, не подчиненные инстинкту и даже враждебные ему. В отличие от животного человек сам себе ставит цели. Откуда берутся эти цели и планы, чему они служат — это другой вопрос. Мы коснемся его, когда будем говорить о человеке как о социальном существе. Сейчас нам важно лишь то, что мозг человеческого индивидуума устроен так, что дает ему возможность выйти за рамки инстинктивного поведения.

4.5. Внутренний учитель


Отнюдь не каждую операцию, которую совершает человек, он совершает «на личном воображении», т. е. как будто впервые открывая ее для себя. Напротив, большую часть операций человек (во всяком случае, взрослый) делает без участия воображения как нечто рутинное, привычное, регулируемое уже сложившимися ассоциациями. Механизм таких операций не отличается от того, что мы наблюдаем у животных. И способ, которым необходимые ассоциации были выработаны, мы называем, как у животных, обучением. Но механизм обучения у людей и у животных радикальнейшим образом различается.

У животных новые ассоциации образуются в некотором смысле насильно, извне. Чтобы образовалась ассоциация, она должна быть мотивационно обоснована, связана с отрицательной или положительной эмоцией. Необходимо подкрепление. Иначе говоря, обучение происходит только «методом кнута и пряника». Когда обучается человек, он сам идет навстречу обучению. Не потому, что он знает, что «учиться полезно». Ребенок этого не знает, но обучается наиболее легко и активно. Ассоциации образуются у него «просто так», без всякого подкрепления. Это работает механизм управления ассоциированием, который требует себе пищи. Если ее нет, человеку становится скучно, а это отрицательная эмоция. Учителю нет надобности навязывать что-либо ребенку или человеку вообще, его задача лишь в том, чтобы дать пищу его воображению. Получая эту пищу, человек испытывает удовольствие. Таким образом, он всегда учится сам, изнутри. Это активный, творческий процесс. Благодаря метасистемному переходу человек приобрел собственного внутреннего учителя, который непрерывно учит его, щелкая внутренним кнутом и заманивая внутренним пряником.

«Внутренний учитель» — не маньяк, он подходит реалистически к возможностям ученика. Отнюдь не все представления, совпадающие или близкие по времени, образуют устойчивые ассоциации. Если бы это было так, то это означало бы наличие абсолютной памяти, т. е. возможность вспомнить каждый эпизод своей жизни. Мы знаем, почему такой способности нет. Можно сделать предположение, что для этого просто не хватает информационной емкости мозга. Однако существование людей, чьи способности к запоминанию несравненно больше, чем у обычных людей, по-видимому, противоречит этой гипотезе и склоняет к выводу, что дело скорее в каких-то деталях устройства управления ассоциированием. Так или иначе, но раз абсолютной памяти нет, необходим критерий для отбора ассоциаций. Один из критериев у человека такой же, как у животных, — эмоциональная нагрузка. Мы в первую очередь запоминаем то, что связано с эмоциями. Однако у человека есть и другой критерий (который, кстати, свидетельствует о наличии управления ассоциированием): мы можем решить запомнить что-либо и в результате действительно это запомнить. Наконец, третий и самый значительный критерий — это критерий новизны. Известно, что человек запоминает новое для него и равнодушно пропускает старое («в одно ухо вошло — в другое вышло»). Но чем отличается «новое» от «старого»? Ведь никакие впечатления не повторяются, строго говоря, дважды. В этом смысле каждое впечатление — новое. Между тем, когда мы слышим рассуждения на избитую тему или видим на экране избитые ситуации, мы начинаем зевать и досадливо машем рукой: «Это уже было!» Когда поток впечатлений укладывается в уже существующие модели, наш «внутренний учитель» не видит необходимости менять модель и впечатления проскальзывают без всяких последствий. Это тот случай, когда мы наперед знаем, что будет дальше. Когда же опыт таков, что мы не знаем, что будет дальше, или тем более если он противоречит модели, то появляются новые ассоциации — модель усложняется. Соотношение с уже существующей в мозгу моделью — вот критерий новизны впечатления.

Заговорив о памяти и других сторонах психики человека, мы затронули множество нерешенных проблем. К счастью, в нашу задачу не входит систематическое изложение психологии человека, тем более в ее «кибернетизированном» варианте. Мы удовлетворимся беглым обзором психических черт, отличающих человека от животного, чтобы убедиться, что они являются естественными следствиями метасистемного перехода — возникновения аппарата, управляющего ассоциированием.

Мы видели, что управление ассоциированием приводит к качественному отличию обучаемости человека от обучаемости животного. Заметим, кстати, что то огромное количественное различие, которое существует между обучаемостью человека и животного и выражается просто в количестве информации, запоминаемой в процессе обучения, также является прямым следствием метасистемного перехода. Оно вытекает из закона разрастания предпоследнего уровня, о котором мы упоминали в свое время. Предпоследний уровень в данном случае — это физические устройства для образования ассоциаций. Размножение этих устройств означает увеличение памяти. Отступая, в виде исключения, от своего принципа — не рассматривать структурных моделей мозга, мы укажем (рис. 4.1) на разрастание коры головного мозга у человека, которая согласно всеобщему (и хорошо обоснованному) мнению является хранилищем ассоциаций.



Рис. 4.1. Площадь поверхности коры головного мозга лошади, орангутанга и человека

4.6. Смешное и прекрасное


Но качественные отличия все-таки интереснее. Мы уже установили, что наличие специального аппарата управления ассоциированием делает для человека обучение активным процессом, связанным с положительными и отрицательными эмоциями. Это истинно человеческие эмоции, недоступные существам, которые не обладают указанным аппаратом. Из того факта, что целью ассоциирования является построение модели (или моделей) внешней среды, можно сделать вывод, что новая эмоция будет иметь положительный знак в случае установления ассоциации, улучшающей мозговую деятельность мира. Эту эмоцию можно назвать удовольствием от новизны, употребляя термин «новизна» в том смысле, который мы придаем ему выше. Соответствующую отрицательную эмоцию называют скукой. Выше мы перечисляли критерии установления и закрепления ассоциаций и отделяли критерий новизны от критерия наличия эмоционального подкрепления. Мы имели в виду обычные эмоции, общие для человека и животного. Возведя удовольствие от новизны в ранг эмоции, мы можем объявить третий критерий частным случаем первого. Тогда мы можем сказать, что непроизвольное ассоциирование всегда связано с эмоциональным подкреплением, но человек по сравнению с животным обладает принципиально новым классом эмоций.

Да, именно классом. «Удовольствие от новизны» — очень общий термин, покрывающий не одну эмоцию, а целый класс их. Можно сразу указать два явно отличающихся представителя этого класса: чувство смешного и чувство прекрасного. Вряд ли кто-нибудь в настоящее время возьмется утверждать, что он до конца понимает природу этих эмоций и может дать им сколько-нибудь детальную кибернетическую интерпретацию. Однако несомненно, что они неотделимы от познания мира, от создания новых моделей.

Что вызывает у нас смех? Совершенно неожиданное, но в то же время законное и задним числом вполне понятное нарушение «нормального» хода событий. Неожиданная ассоциация, бессмысленная на первый взгляд, но отражающая какие-то глубинные связи между вещами. Все это, конечно, создает новую модель мира и доставляет удовольствие, пропорциональное ее новизне. Конец новизны — это конец смешного. Когда нас пытаются смешить в соответствии с хорошо знакомой моделью, мы называем такой юмор плоским. Но это понятие чрезвычайно относительно. Кому незнакома ситуация, когда в ответ на рассказанный анекдот один слушатель разражается хохотом, а другой лишь кисло усмехается? Их различает, очевидно, отсутствие или наличие соответствующей модели. Очень важна для уяснения природы юмора и другая ситуация: когда один хохочет, а другой непонимающе хлопает глазами. «Не дошло!» — говорят в таких случаях. Шутка оказалась слишком тонкой для этого человека, она опирается на такие ассоциации, которых у него нет. Смешное всегда лежит на грани между тривиальным и непонятным. Эта грань у каждого своя, и она передвигается в процессе индивидуального развития. Ничто так отчетливо не проявляет культурного уровня человека, как его понимание смешного.

В чувстве прекрасного больше индивидуальных различий между людьми, оно тоньше и загадочнее, чем чувство смешного. Но в нем есть тот же динамизм, связанный с новизной впечатления. Частое повторение понравившегося музыкального произведения не только делает к нему равнодушным, но, в конце концов, внушает к нему отвращение. Острое ощущение прекрасного кратковременно, оно включает элемент откровения, восторженного удивления. Его можно описать также как внезапное усмотрение какого-то глубокого порядка, соответствия, смысла. Если пытаться дать кибернетическую интерпретацию этому явлению, можно предположить, что чувство прекрасного вызывают те впечатления, которые дают пищу для самых сложных и тонких моделей, реализующихся с помощью классификаторов высшего уровня. Эти классификаторы должны, очевидно, в максимальной степени сжимать информацию, распознавать чрезвычайно сложные понятия. А это и есть усмотрение глубокого внутреннего порядка в кажущемся беспорядке.

Все модели иерархичны. Более сложное строится из более простого, высшее опирается на низшее. Человек может быть недостаточно развит эстетически и не видеть красоты там, где ее видят другие. Неподготовленному слушателю шедевр симфонической музыки покажется бессмысленным нагромождением звуков. С другой стороны, банальная мелодия или примитивный геометрический орнамент не вызовут у нас ощущения прекрасного: здесь порядок слишком очевиден. «У нас» — это у современного цивилизованного человека. Возможно, неандерталец, увидев серию точно вычерченных концентрических окружностей, был бы потрясен до глубины души. Прекрасное тоже всегда на грани между тривиальным и непонятным. Передвижение этой грани — эстетическое воспитание — есть познание мира, построение в мозгу новых моделей.

Мы берем чувство прекрасного в его, если угодно, чистом виде. В действительности оно бывает связано с другими человеческими чувствами, образуя часто неразрывные комплексы и влияя поэтому на многие сферы и аспекты общественной жизни. Это значение эстетических переживаний, которое можно назвать прикладным, признано давно и безусловно. С чистой эстетикой дело обстоит хуже. На протяжении всей истории человечества время от времени раздавались призывы покончить с нею раз и навсегда, как с чем-то не только бесполезным, но и прямо вредным. (Вредность понималась по-разному. Одни объявляли красоту греховной, другие — отвлекающей от классовой борьбы.) И напротив, делались попытки вульгарно-материалистического толка объяснить и «оправдать» прекрасное, сведя его к полезному в самом житейском, бытовом смысле слова. Последнее выглядит так, как если бы кто-то стал расхваливать транзисторный приемник, уверяя, что им можно забивать гвозди и колоть орехи. Это отношение вытекает из непонимания того факта, что чисто эстетическое воспитание есть подготовка мозга к выполнению его самых тонких и высших функций. Мозг един. Модели, созданные в процессе эстетического воспитания, несомненно влияют на восприятие мира человеком, на его творческую деятельность. Как это происходит, в точности неизвестно. Тем ценнее эстетическое воспитание, ибо мы не знаем, чем его можно заменить.

4.7. Язык


До сих пор мы рассматривали человека как индивидуума и интересовались возможностями его мозга. При таком подходе вовсе не очевидно, что появление на Земле человека — это такая уж революция в истории жизни. Лягушка умнее медузы. Собака умнее лягушки. Обезьяна умнее собаки. Теперь появилось существо, которое умнее обезьяны. Ну и что?

Революцию создало появление человеческого общества, обладающего определенной культурой и, в первую очередь, языком. Ключевым моментом является здесь язык.

Под языком вообще понимают определенный способ сопоставления объектам Ri, которые рассматриваются как некая первичная реальность, объектов Li, называемых именами объектов Ri, и рассматриваемых как нечто вторичное, специально созданное для сопоставления объектам Ri,. По отношение к имени Li объект Ri, называют его значением. Совокупность всех объектов Li часто также называют языком (в более развернутой форме ее следовало бы назвать материальным фиксатором или носителем языка). Множество объектов Li, может быть гораздо обширнее и разнообразнее множества языков Li. Так, например, обстоит дело в случае естественных языков: русского, английского и т. п. Ясно, что при замене восприятия реальных объектов и ситуаций на их словесное описание теряется огромное количество информации. В тех случаях, когда информативность объектов Ri и Li одного порядка величины, вместо слова язык часто употребляют кибернетический термин код. Переход от R к L называют кодированием, а обратный переход от L к Rдекодированием. Так, при передаче по радио сообщения с помощью «морзянки», исходный текст — набор букв кодируется набором точек и тире. В этом коде (языке) информация совершает путешествие в эфире и принимается в заданной точке. Затем происходит декодирование с языка точек и тире на язык букв. Процесс кодирования и декодирования в данном случае не приводит к потере информации.

Так как для перехода от значения к имени и обратно нет более удобных общепринятых терминов, чем кодирование и декодирование, мы будем употреблять эти термины в самом общем смысле, не заботясь о соотношении информативностей (и называя язык не «кодом», а именно «языком»).

Объекты Ri и Li могут быть произвольной природы, это не обязательно предметы, а, вообще говоря, явления, звуковые колебания. Заметим, что «явление» — это самый общий термин, которым мы можем обозначить какую-то часть физической реальности, ограниченную в пространстве и времени, «предмет» — более расплывчатое понятие, которое относят к явлениям специального типа, обнаруживающим определенную стабильность: наличие поверхности, через которую отсутствует обмен веществом. Так как в действительности абсолютно непроницаемых границ не существует, и все так называемые предметы непрерывно меняются, это понятие относительно; оно отражает лишь малую скорость изменений.

Элементарный язык есть и у животных, в первую очередь у тех, которые живут сообществами и поэтому должны как-то согласовывать свои действия и «выяснять отношения». Мы называем его элементарным лишь в сравнении с языком человека, сам по себе он не так уж прост и, по-видимому, прекрасно удовлетворяет потребность членов сообщества в обмене информацией. Сигнал опасности, просьба о помощи, намерение вступить в брачные отношения, согласие или отказ на это предложение, приказ подчиниться, приказ убраться восвояси — эти и другие компоненты входят в состав языка большинства птиц и млекопитающих и выражаются жестами и звуками. Пчелы, вернувшись с взятка в улей, сообщают родичам о расположении места, где они были, совершая своеобразные движения, напоминающие танец.

4.8. Языкотворчество


Но язык у человека радикально отличается от языка у животных. Различие здесь такое же, как в употреблении орудий. Для животного язык есть нечто изначально данное, элемент инстинктивного поведения. Если он и меняется, то только вместе с поведением, вместе с общей эволюцией вида. Для человека язык — нечто несравненно более подвижное и изменчивое, чем поведение. Человек сам создает язык, он обладает способностью (и даже потребностью) давать имена, чего не может ни одно животное. Присвоение явлениям (в частности, предметам) имен — это, пожалуй, наиболее простое и наглядное проявление управления ассоциированием. Между словом «лев» и реальным львом нет ничего общего, тем не менее устанавливается ассоциация «лев» — лев, имя — значение. Правда, среди слов, появившихся на заре человеческой культуры, было много звукоподражательных. Это подтверждается обилием таких слов в языках примитивных культур.

То же в еще большей степени относится и к жестам. Жест, очевидно, всегда подражателен в своей основе. Но это не меняет природы ассоциации между именем и значением, как результат намеренного ассоциирования. Допустим, что в некотором примитивном языке лев называется «ррррр» — словом, имитирующим его рычание. Ассоциация «ррррр» — лев возникает не потому, что этот звук можно спутать с рычанием льва (хорош был бы охотник, способный допустить такую ошибку), а потому, что, подыскивая имя для льва, человек перебирает в воображении его особенности и останавливается на одной из них, как допускающей хотя бы приблизительное воспроизведение. Создатель имен воспринимает его субъективно как нечто близкое к значению, подобное ему, а точнее не подобное, а уподобленное, ибо объективная схожесть между именем и значением может быть невелика, почти равна нулю; она служит лишь пуповиной, отсыхающей вскоре после рождения имени. Ассоциация имя — значение возникает совсем не так, как ассоциация между видом миски и отделением слюны в опытах Павлова над собаками. Там условный рефлекс, здесь языкотворчество. Повод, послуживший для выбора имени, забывается, само имя трансформируется, но связь между именем и значением от этого ничуть не страдает.

4.9. Язык как средство моделирования


Язык возникает как средство связи, коммуникации между членами первобытного сообщества. Но, раз возникнув, он вдруг оказывается источником других, совершенно новых возможностей, не связанных в принципе с общением между людьми. Что это за возможности, покажем на примере языка чисел.

Вообразим себе юношу из первобытного племени Ням-Ням. Назовем его для определенности Уу и проследим, как он выполняет функции разведчика.

Уу лежит за толстым старым дубом и неотрывно следит за входом в пещеру на противоположном берегу реки. На восходе солнца сюда подошла группа мужчин из вражеского племени Мань-Мань. Они явно затеяли что-то нехорошее, наверное, оставить в пещере засаду. Они суетятся около пещеры, то входят в нее, то выходят, то исчезают в лесу, то снова возвращаются к пещере. Каждый раз, когда один враг входит в пещеру, Уу загибает один палец, когда один враг выходит из пещеры, он разгибает один палец. Когда враги уйдут, Уу будет знать, оставили ли они засаду и если оставили, то сколько человек. Уу побежит к своему племени и покажет им на пальцах, сколько врагов осталось в пещере.

Почему наш герой имеет возможность, не заходя в пещеру, знать в каждый момент времени, сколько там врагов? Потому что с помощью своих пальцев он построил модель интересующей его части внешнего мира. А интересует его пещера и находящиеся в ней враги. Каждому врагу, находящемуся в пещере, соответствует в его модели загнутый палец. Загнутый палец — это имя врага в пещере, враг в пещере — это значение загнутого пальца. Операции над именами — загибание и разгибание пальцев — соответствуют входу и выходу врагов из пещеры. Это — язык. Его можно назвать языкомпальцев, если иметь в виду физический материал, из которого построена модель, или языком чисел, если иметь в виду способ сопоставления имен значениям. И этот язык используется не только, а в нашем примере даже не столько для передачи информации, сколько для построения модели, которая нужна именно как модель — средство предвидеть события, средство узнать косвенно то, что нельзя узнать прямо. Если родное племя Ням-Ням далеко, а Уу не собирается никому сообщать, сколько врагов в пещере, он все равно имеет основания считать врагов, сгибая и разгибая пальцы. Это нужно ему самому для планирования своих действий. Коммуникативное использование языка, т. е. использование его как средства общения между людьми, дополняется некоммуникативным использованием языка в качестве средства построения моделей действительности.

Тут-то, как говорят англичане, лягушка и прыгает в воду. Моделирующая функция языка — тот заключительный элемент, которого нам не хватало для оценки появления на земле человека как рубежа двух эпох, как события космической важности. Когда астроном определяет положение планет на небе, затем производит какие-то манипуляции над цифрами и в результате предсказывает, где будут планеты через заданный промежуток времени, он делает в сущности то же самое, что юноша Уу из племени Ням-Ням, когда он загибает и разгибает пальцы, наблюдая за входом в пещеру. Искусство, философия, наука — все это не что иное, как создание языковых моделей действительности. Дальнейшая часть настоящей книги будет посвящена анализу этого процесса, его закономерностей и результатов. Но сначала мы бросим общий взгляд на его место в эволюции Вселенной.

4.10. Самопознание


У животных нет понятия о себе самом, это понятие не нужно для обработки информации, поступающей извне. Мозг животного можно сравнить с зеркалом, которое отражает окружающую действительность, но само ни в чем не отражается. В самом примитивном человеческом обществе каждому человеку присваивается имя, и каждый человек произносит свое имя и предложения, в которых его имя содержится. Таким образом, он сам — в виде предложений, содержащих его имя, — становится предметом своего внимания и изучения. Язык представляет собой как бы второе зеркало, в котором отражается весь мир, и в том числе каждый индивидуум, и в котором каждый индивидуум может увидеть (вернее, не может не увидеть!) самого себя. Так возникает понятие «Я». Если заключительный этап кибернетического периода можно назвать этапом познания, то эра разума — это эра самопознания. Система двух зеркал — мозга и языка создает возможность бесчисленного множества взаимных отражений без необходимости выходить из пространства между зеркалами. Это порождает неразрешимые загадки самопознания и в первую очередь загадку смерти.

4.11. Продолжение мозга


Допустим, что в пещеру входят три врага, а выходят два. Тут первобытный человек и без помощи пальцев сообразит, что один враг остался в пещере. Это работает модель, которая есть у него в мозгу. А если входят двадцать пять, а выходят двадцать четыре или двадцать три? Здесь человеческий мозг окажется бессилен: он не содержит нужной модели, нужных понятий. Мы мгновенно и безошибочно различаем множества из одного, двух, трех, четырех предметов и можем отчетливо представить их в своем воображении. Эти понятия даны нам от природы, они распознаются нейронной сетью мозга, подобно понятиям пятна, линии, соприкасания и т. п. С понятиями, которые выражаются числами от пяти до восьми, дело обстоит хуже: здесь многое зависит от индивидуальных особенностей и тренировки. Что же касается понятий «девять», «десять» и т. д., то, за редчайшими исключениями, которые рассматриваются как отклонения от нормы, все они сливаются в одно понятие «много». И тогда человек создает язык, материальный носитель которого (например, пальцы) служит фиксатором новых понятий, выполняя функции тех классификаторов, для которых не нашлось места в мозгу. Если не хватит пальцев, пойдут в ход камешки, палочки, зарубки, а в более развитых языках — цифры и наборы цифр. Какой используется язык — неважно, важно лишь умение кодировать. Процесс счета служит для распознавания новых понятий, выполняя функции нервной сети, работа которой приводит в возбужденное состояние тот или иной классификатор. В результате счета объекту R, например отряду врагов, сопоставляется объект L, например ряд зарубок или цифр. Наконец, правила действий над объектами языка и связи между ними (например, типа 6 + 3 = 9 и т. п.) соответствуют ассоциациям между понятиями в мозгу. Это завершает аналогию между моделями, реализуемыми с помощью языка, и моделями, которые создаются нейронными сетями мозга.

Если орудие — продолжение руки человека, то язык — продолжение его мозга. Он служит для той же цели, для которой служит мозг: увеличению жизнеспособности вида путем создания модели окружающей среды. Он продолжает дело мозга с помощью материала, лежащего за пределами физического тела человека, основываясь на моделях (понятиях и ассоциациях) доязыкового периода, реализуемых нервными сетями. Человек как бы перешагнул через границу своего мозга. Возможности такого перехода (а именно установления связи между внутренним и внешним материалом) открылись благодаря способности управлять ассоциированном, выразившейся в языкотворчестве.

Две функции языка: коммуникативная и моделирующая — неразрывно связаны друг с другом. Счет на пальцах мы привели в качестве примера модели, которая возникает только благодаря языку и которая не может существовать без языка. При коммуникативном использовании языка он выполняет более скромную задачу: фиксирует модель, которая уже существует в чьем-то мозгу. Такие фразы, как «идет дождь», «в соседнем лесу волки» или более отвлеченные: «гадюка ядовита», «огонь гасит воду», суть модели действительности. Когда один человек сообщает это другому, ассоциации, которые раньше были только в голове первого, утверждаются в голове второго.

Благодаря наличию языка человеческое общество коренным образом отличается от сообщества животных. В животном мире члены сообщества контактируют лишь на уровне функций, связанных с питанием и размножением. Члены человеческого общества контактируют не только на этом уровне, но и на самом высоком уровне их индивидуальной организации — на уровне моделирования внешнего мира с помощью ассоциации представлений. Люди, так сказать, контактируют мозгами. Язык — это не только продолжение каждого индивидуального мозга, но и общее, единое продолжение мозгов всех членов общества. Это коллективная модель действительности, над совершенствованием которой трудятся все члены общества и которая хранит опыт предыдущих поколений.

4.12. Социальная интеграция


Метасистемный переход в системе мозга — управление ассоциированием — породил новый процесс — социальную интеграцию, т. е. объединение человеческих индивидуумов в некую целостность нового типа: человеческое общество. Вся история человечества проходит под знаком социальной интеграции, связи между людьми возрастают в количественном и качественном отношении. Этот процесс протекает и в настоящее время, причем весьма интенсивно, и вряд ли кто-либо может уверенно ответить на вопрос, как далеко он пойдет.

Социальная интеграция — это метасистемный переход, она приводит к новому уровню возникновения материи — социальной сфере. Сообщества животных можно рассматривать как первые (и безуспешные) попытки осуществить этот переход. Мы знаем сообщества животных, например муравьев, в которых отдельные особи настолько приспособлены к жизни в сообществе, что не могут жить вне его. Муравейник с полным правом можно назвать единым организмом, так далеко зашли в нем взаимодействие между особями и их специализация. Но это взаимодействие остается на уровне низших функций. «Контакта мозгов» нет. Создания новых моделей действительности нет. Никаких принципиально новых возможностей из-за объединения муравьев в общество не открывается, оно застывает в своем развитии. Муравейник, конечно, является метасистемой по отношению к отдельному муравью. Интеграция индивидуумов имеет место. Но это не новый этап эволюции, а боковое ответвление, тупик. В русской литературе сложилась традиция: слово' «социальное», которое буквально означает «общественное», относить только к человеческому обществу, подчеркивая этим его принципиальное отличие от общества животных. В этом смысле надо понимать термины «социальная сфера» и «социальная интеграция».

Итак, попытки природы образовать новый этап организации материи путем интеграции многоклеточных организмов долгое время не приводили к значительным результатам: не было подходящего материала. Понадобился метасистемный переход в структуре мозга, чтобы индивидуумы приобрели способность образовывать необходимые связи. И еще одно следствие управления ассоциациями имеет важнейшее значение для развития социальной сферы — это способность человека выйти за рамки инстинкта, строить планы действий, никак с ним не связанные, а порой даже ему противоречащие. Эти два свойства делают человека социальным существом, т. е. материалом, пригодным для построения человеческого общества — социума. Слово «материал», сказанное о человеке, коробит; оно звучит как-то унизительно. В самом деле, разве есть какое-то высшее существо, которое строит общество, пользуясь человеком как материалом? Нет, конечно. Человек сам — творец. Причем не какой-то абстрактный Человек (с большой буквы), а конкретный человек, человеческая личность, индивидуум. Все, чем обладает общество, создано творчеством человеческих индивидуумов. А в то же время — такова диалектика отношения между личностью и обществом — человек значителен лишь постольку, поскольку он значителен для общества. Это, конечно, не надо понимать так, что кто не признан, тот не гений. Человек может выступать против всего общества, т. е. против всех живущих в данный момент людей, и руководствоваться в то же время интересами общества, логикой развития общества. Есть два уровня организации материи: уровень животного, для которого высшие законы — это инстинкты самосохранения и размножения, и уровень человека, т. е. человеческого общества. Все, что в человеке мы называем собственно человеческим, — продукт развития общества. Человек как чисто биологическое (в смысле досоциальное) существо — это лишь «возможность» человека в полном смысле слова, и не более. Если в действиях человека есть хоть какая-то логика, то это либо логика животных инстинктов, либо логика развития общества, быть может завуалированная и не осознаваемая в качестве таковой. Другой логике просто неоткуда взяться. Поэтому человек, выступая как творец, все-таки подчиняется хотя и не существу, но какому-то высшему закону эволюции Вселенной и, можно сказать, является материалом для его действия.

4.13. Сверхсущество


Возникновение человеческого общества — крупномасштабный метасистемный переход, при котором интегрируемые подсистемы — это целые организмы. В этом плане его можно сравнить с возникновением многоклеточных организмов из одноклеточных. Однако его значение, его революционность неизмеримо больше. И если с чем-то сравнить его, то только с самим актом возникновения жизни. Ибо появление человека означает появление нового механизма усложнения организации материи, нового механизма эволюции Вселенной. До человека развитие и усовершенствование высшего уровня организации — устройства мозга — происходили лишь в результате борьбы за существование и естественного отбора. Это медленный процесс, требующий смены многих поколений. В человеческом обществе развитие языка и культуры является результатом творческих усилий всех его членов. Отбор вариантов, необходимый для усложнения организации материи по методу проб и ошибок, происходит теперь в голове человека. Он может происходить на уровне интуиции, представляясь результатом внезапного озарения, вдохновения, а может и распадаться на отдельные, отчетливо осознаваемые шаги; но так или иначе он становится неотделимым от волевого акта человеческой личности. Этот процесс существенно отличается от процесса естественного отбора и протекает несравненно более быстро, но по своей функции — построение и использование моделей окружающей среды — и по своим результатам — возрастание обшей массы живого вещества и его влияние на неживое — он полностью аналогичен первому процессу, он является его естественным продолжением. Человек становится сосредоточием Космического Творчества. Темп эволюции многократно возрастает.

Можно рассматривать общество как единое сверхсущество. Его «тело» — это тела всех людей плюс предметы, созданные и создаваемые людьми: одежда, жилища, машины, книги и т. д. Его «физиология» — это физиология всех людей плюс культура общества, т. е. определенный способ управлять предметным компонентом общественного тела и образом мышления людей. Возникновение и развитие человеческого общества знаменуют начало нового (седьмого по нашему счету) этапа эволюции жизни (рис. 4.2). Функциональная формула метасистемного перехода от шестого к седьмому этапу такова:

Управление мышлением = Культура.

Язык входит в культуру в качестве важнейшей составной части, выполняя функции нервной системы. Как и у нервной системы многоклеточного организма, его первая, исторически и логически, функция — коммуникативная — обмен информацией между подсистемами, координация их деятельности. В процессе выполнения этой функции язык — опять-таки в точности так же, как и нервная система «этажом ниже», — получает вторую функцию — моделирование окружающей среды. И подобно тому, как в развитии мозга можно выделить этапы, связанные с метасистемными переходами, развитие языковых моделей происходит (как мы увидим дальше) путем последовательных метасистемных переходов в структуре языка.



 Химическая эра

 1. Химические основы жизни


2. Движение


3. Раздражимость (простой рефлекс)


Кибернетическая эра


4. Нервная сеть (сложный рефлекс)


5. Ассоциирование (условный рефлекс)


Эра разума

6. Мышление


7. Социальная интеграция, культура


Рис. 4.2. Этапы эволюции жизни


Параллели между обществом и многоклеточным организмом были подмечены давно. Но вот вопрос: как относиться к этим параллелям? Можно считать их если и не случайными, то, во всяком случае, поверхностными и малозначительными, что-то вроде сходства стрелы подъемного крана с руками человека. Однако кибернетический подход приводит нас к другой точке зрения, согласно которой аналогия между обществом и организмом имеет глубокий смысл, свидетельствуя о наличии чрезвычайно общих законов эволюции, действующих на всех уровнях организации материи, и указывая нам направление развития общества. Эта точка зрения таит в себе ту угрозу, что, будучи вульгаризована, она легко может привести к концепции тоталитарного государства фашистского типа. В главе 14, рассматривая проблему творческой свободы личности, мы более подробно рассмотрим и этот вопрос. А пока отметим, что возможность вульгаризации теории никак не может быть аргументом против ее истинности. Раздел современной науки, именуемый кибернетикой, дает нам понятия, описывающие эволюционный процесс как на уровне внутриклеточных структур, так и на уровне социальных явлений. Фундаментальное единство эволюционного процесса на всех уровнях организации превращается из философского воззрения в научно обоснованный факт. С ним нельзя не считаться, размышляя о судьбах человечества и его роли во Вселенной.

Подчеркивая космическое значение разума, французские ученые Леруа и Тейяр де Шарден ввели термин ноосфера (т. е. сфера разума) для обозначения той части биосферы, где господствует разум. Эти идеи были подхвачены нашим соотечественником В. П. Вернадским (см. его статью «Несколько слов о ноосфере»). В предисловии к своему главному сочинению «Феномен человека» Тейяр де Шарден пишет:

Я думаю, вряд ли у мыслящего существа бывает более великая минута, чем та, когда с глаз его спадает пелена и открывается, что он не затерянная в космическом безмолвии частица, а пункт сосредоточения и гоминизации универсального стремления к жизни. Человек — не статический центр мира, как он долго полагал, а ось и вершина эволюции, что много прекраснее1.

1 Тейяр де Шарден П. Феномен человека. М.: Наука, 1987.

Глава 5. Со ступеньки на ступеньку


5.1. Материальная и духовная культура


Различают культуру «материальную» и «духовную». Мы поместили эти слова в кавычки (для первого раза; дальше они, как и принято, будут щеголять без кавычек), потому что различие между указанными проявлениями культуры условно, а сами термины не слишком удачно отражают это различие. К материальной культуре относят производительные силы общества и все, что с ними связано, а к духовной — искусство, религию, науку, философию. Если пытаться сформулировать принцип, на основании которого делается разграничение, то лучше всего, вероятно, это сделать следующим образом: материальная культура призвана удовлетворять те потребности, которые общи у человека и животных («материальные» потребности), духовная — потребности специфические, как мы думаем, для человека («духовные» потребности). Очевидно, это различие не совпадает с различием между материальным и духовным в философском плане.

Основным предметом настоящей книги является феномен науки, которая есть часть духовной культуры. Однако наука возникает на сравнительно позднем этапе развития общества и мы никак не можем добраться до этого момента, ибо для нашей цели нужно обрисовать все предшествующие этапы. Вот и сейчас мы не можем пройти мимо материальной культуры, не сказав о ней хотя бы несколько слов. Тем более что в развитии материальной культуры мы обнаруживаем один в высшей степени интересный эффект, к которому приводит иногда метасистемный переход.

5.2. Эффект лестницы


На нижней ступени гигантской каменной лестницы играет ребенок. Ступеньки высоки, и ребенок не может перебраться со своей ступеньки на следующую. Ему очень хочется посмотреть, что там делается; время от времени он пытается схватиться за край ступеньки и вскарабкаться на нее, но это ему не удается... Проходят годы. Ребенок растет и в один прекрасный день вдруг оказывается способным преодолеть это препятствие. Он забирается на манившую его ступеньку и видит, что выше есть еще одна ступенька, на которую он теперь тоже может залезть. Так, преодолевая ступеньку за ступенькой, он поднимается все выше и выше. Пока он не умел перебраться с одной ступеньки на другую, ему не удавалось подняться ни на сантиметр, но едва он научился этому, ему стала доступной не только следующая ступенька, но и вся лестница. Этот эффект мы назовем эффектом лестницы. Схематически он изображен на рис. 5.1.



Рис. 5.1. Эффект лестницы

Эффект лестницы лежит в основе многих явлений перехода малых количественных изменений в большие качественные. Возьмем, например, классическую иллюстрацию гегелевского закона перехода количества в качество — кристаллизацию жидкости при опускании температуры ниже точки плавления. Способность молекулы, колеблющейся вблизи определенного положения равновесия, удержать несколько соседних молекул вблизи определенных положений равновесия является как раз «способностью перехода на следующую ступеньку». Когда в результате понижения температуры (уменьшая амплитуды колебаний) такая способность появляется, начинается процесс кристаллизации, и шаг за шагом (ступенька за ступенькой) происходит упорядочивание расположения молекул. Другой известный пример — цепная реакция. Здесь переход на следующую ступеньку — самовоспроизведение реагентов в результате реакции. В физических системах, где все соотношения, важные для поведения системы в целом, имеют статистический характер, эффект лестницы также проявляется статистически; критерий возможности перехода на следующую ступеньку является количественным и статистическим. Эффект лестницы в этом случае можно отождествлять с цепной реакцией, если понимать последний термин в самом полном смысле.

5.3. Масштаб метасистемного перехода


Нас больше интересует случай, когда переход на следующую ступеньку является качественным, а именно метасистемным переходом. Чтобы в этом случае мог иметь место эффект лестницы, необходимо, очевидно, чтобы система X, претерпевающая метасистемный переход (рис. 5.2), сама оставалась бы подсистемой какой-то более обширной системы Y, в рамках которой обеспечиваются и поддерживаются условия для многократного перехода «со ступеньки на ступеньку» — метасистемного перехода над подсистемой X. Такую систему Y мы называем ультраметасистемой по отношению к ряду X, X', X'',... и т. д. Рассмотрим подробнее вопрос о связи между метасистемным переходом и отношением система — подсистема.



Рис. 5.2. Эффект лестницы в рамках ультраметасистемы Y. Стрелки указывают изменения, происходящие со временем

Мы уже встречались с метасистемными переходами различной масштабности. Метасистемные переходы в структуре мозга совершаются в рамках организма, они не затрагивают организма в целом. Социальная интеграция — это метасистемный переход по отношению к организму в целом, но она не выводит человечество за пределы биогеоценоза — системы взаимодействующих живых существ в масштабе Земного шара. Всегда существует система Y, которая включает данную систему Х в качестве своей подсистемы. Единственным исключением, быть может, является Космос в целом — система Z, которая по определению не входит в состав никакой другой системы. Мы говорим «быть может» потому, что не знаем, можно ли рассматривать Космос как систему в том же смысле, как заведомо конечные системы.



Рис. 5.3. Метасистемный переход WW' в рамках системы Х

Теперь обратим наш взгляд в противоположном направлении — от большого к малому, от целого к части. Что происходит с системой X, когда она эволюционирует, не претерпевая метасистемного перехода? Допустим, что некая подсистема W системы Х совершает метасистемный переход (рис. 5.3). Это значит, что вместо W появляется система W', которая по отношению к W является метасистемой и содержит целый ряд подсистем типа W, но по отношению к Х является подсистемой, аналогичной W, и выполняет те же функции в Х, которые прежде выполняла W, только, вероятно, лучше. В зависимости от роли подсистемы W в системе Х замена W на W' будет иметь для Х большее или меньшее значение. Разбирая этапы эволюции живых существ кибернетического периода, мы на место Х подставляли организм в целом, а на место W — высший этаж управления организмом.



Рис. 5.4. Метасистемный переход на одном из низших уровней организации

Поэтому и метасистемный переход WW' имел первостепенное значение для X. Однако метасистемный переход может произойти где-то «в провинции», на одном из низших уровней организации (рис. 5.3). Пусть W — одна из подсистем X,V — одна из подсистем W, U — одна из подсистем V. Метасистемный переход UU' может сильно улучшить функционирование V, а, следовательно, и функционирование W, хотя уже в меньшей степени, и, наконец, еще в меньшей степени → функционирование X. Итак, эволюционные сдвиги в X, даже не очень значительные, могут быть вызваны метасистемным переходом только на одном из низших уровней структуры.

Эти наблюдения дают новый материал для оценки количественных и качественных изменений в процессе развития. Если система Х содержит однородные подсистемы W и число этих подсистем увеличивается, мы называем такое изменение количественным. Метасистемный переход мы, без сомнения, относим к качественным изменениям. Можно предположить, что всякое качественное изменение вызывает метасистемный переход на том или ином уровне структуры системы. Учитывая описанную выше механику эволюции (редупликация системы плюс метод проб и ошибок), это предположение представляется весьма вероятным.

5.4. Орудия для производства орудий


Вернемся к материальной культуре и эффекту лестницы. Предметы и орудия труда являются частями, подсистемами той системы, которую мы назвали выше «сверхсуществом», возникающим благодаря развитию человеческого общества. Теперь мы будем называть это сверхсущество просто культурой, понимая под этим как ее физическое «тело», так и способ функционирования («физиологию») в зависимости от контекста. Итак, предметы и орудия труда → подсистемы культуры. Они могут обладать своей собственной сложной структурой и входить в соответствии со способом их использования в состав наиболее крупных подсистем культуры, также обладающих внутренней структурой.

В частности, само членение материальных подсистем на предметы труда и орудия труда имеет глубокий смысл и отражает структуру производства. Когда к предметам определенного класса A человек применяет орудие B, то это орудие вместе с предметами A образует уже метасистему по отношению к подсистемам A. Действительно, подсистема B непосредственно действует на подсистемы A и для этой цели специально и создается. (Конечно, это воздействие происходит не без участия человеческой руки и мозга, которые входят в состав всякой производственной системы.) Итак, появление орудия для обработки каких-то предметов, которые ранее не обрабатывались, есть метасистемный переход в рамках системы производства. Как мы видели, умение создавать орудия — одно из первых следствий очеловечивания. И, поскольку человек остается постоянной движущей силой производственной системы, метасистемный переход от предмета труда к орудию труда может повторяться сколько угодно раз. Создав орудие B для обработки предметов класса A, человек начинает думать, как бы его усовершенствовать, и изготовляет орудие C для изготовления орудий класса B. На этом он, конечно, не останавливается и изобретает орудие D для улучшения орудий класса C. И так далее. Орудие труда неизменно превращается в предмет труда. Это — эффект лестницы. Важно освоить сам принцип изготовления орудий — научиться залезать на ступеньку. Дальше все пойдет само собой: система производства становится ультраметасистемой, способной к развитию. Плод этого процесса — современная промышленность, сложившаяся многоуровневая система, которая использует природные материалы, и шаг за шагом превращает их в свое «тело» — сооружения, машины, приборы подобно тому, как живой организм усваивает съеденную пищу.

5.5. Нижний палеолит


Сделаем общий рисунок развития материальной культуры. Историю культуры до появления выплавки металлов делят на две эпохи: палеолит (древний каменный век) и неолит (новый каменный век). В каждой эпохе выделяют отдельные культуры, различающиеся географическим районом и временем, когда они существовали. Культурам, обнаруженным благодаря археологическим раскопкам, были присвоены названия, производные от названий тех мест, где они были обнаружены впервые.

Следы палеолитических культур найдены во многих районах Европы, Азии и Африки. Они позволяют уверенно произвести периодизацию развития культуры в палеолите, разбить палеолит на ряд стадий (эпох), имеющих универсальное значение для всех географических районов.

Древнейшая стадия — это так называемая шелльская культура, за ней следует ашельская, а за ней — мустьерская культура. Эти три стадии объединяются под общим названием нижнего (или раннего) палеолита. Начало нижнего палеолита относят ко времени порядка 700 тысяч лет тому назад, конец (поздняя мустьерская культура) — около 40 тысяч лет назад.

Шелльская и ашельская культуры знают лишь один вид каменного орудия — рубило. Шелльское рубило весьма примитивно — это грубо обитый с двух сторон камень, напоминающий по форме современный колун и примерно такого же размера. Типичное ашельское рубило меньше по размерам и гораздо лучше отделано, оно имеет тщательно заостренные края. Кроме того, на ашельских стоянках уже находят следы использования огня.

Орудия мустьерской культуры обнаруживают явную дифференциацию, здесь мы различаем по крайней мере два несомненно отличных типа каменных орудий: остроконечники и скребла. Техника обработки камня в мустьерский период существенно выше, чем в ашельский. Появляются предметы из кости и рога. Огонь употребляется повсеместно. Умели ли мустьерцы добывать огонь, в точности неизвестно, но очевидно, они умели его сохранять.

Человек нижнего палеолита — это еще в биологическом отношении не современный человек. Шелльская и ашельская культуры принадлежат людям (или полулюдям?) типа питекантропа и синантропа. Мустье — культура неандертальцев. В нижнем палеолите развитие техники изготовления орудий (не только из камня, но также из дерева и других материалов, которые не сохранились до нашего времени) шло параллельно с развитием физических и умственных способностей человека, его эволюцией как вида. Увеличение объема мозга — самое убедительное свидетельство этой эволюции. Следующая табличка показывает вместимость черепной коробки у ископаемых людей, а также у современных человекообразных обезьян и человека (в см3):

Горилла        600 –  685

Питекантроп  800 –  900

Синантроп      1000 – 1100

Неандерталец 1100 – 1600

Современный человек  1200 – 1700

Заметим, что хотя мозг неандертальца по общему объему не намного уступает мозгу современного человека, он имеет существенно меньшие лобные доли, которые играют главную роль в мышлении. Лобные доли мозга являются, по-видимому, основным хранилищем «произвольных» ассоциаций.

5.6. Верхний палеолит


На рубеже между нижним и верхним палеолитом (приблизительно 40 тыс. лет назад) процесс становления человека завершается. Человек верхнего палеолита — это биологически вполне современный человек: homo sapiens. С этого момента всю свою «эволюционную энергию» природа будет вкладывать не в биологию человеческой особи, а в культуру человеческого общества.

В верхнем палеолите различают три культуры: ориньякскую, солютрейскую и мадленскую. Первые две близки между собой, и их объединяют в одну культурную эпоху: ориньяко-солютрейскую. Начало этой эпохи совпадает по времени с концом мустьерской эпохи. Найдено несколько стоянок, на которых встречаются кости как неандертальцев, так и людей современного типа. Отсюда следует, что последнее эволюционное изменение, завершившее формирование человека, было весьма существенным, и новые люди быстро вытеснили неандертальцев.

Техника обработки камня сильно продвинулась вперед в ориньяко-солютрейскую эпоху по сравнению с мустьерской эпохой. Мы встречаем здесь разнообразные орудия и оружие: ножик, копье, дротик, резцы, скребки, шило. Широко используются кость и рог. Возникает шитье, о чем свидетельствуют находки иголок. В одном из памятников солютрейской культуры найден футляр из птичьей кости, содержащий целый набор костяных игл. Там же был найден и костяной рыболовный крючок. В мадленскую эпоху (около 15 тыс. лет назад) уже появляются копьеметалка и гарпун. Замечательным отличием верхнего палеолита от нижнего является возникновение изобразительного искусства. В ориньяко-солютрейскую эпоху появляется наскальная живопись, в мадленскую эпоху она достигает расцвета. Обнаружено большое число изображений (главным образом животных), которые поражают и современного зрителя своей выразительностью, лаконичностью и точностью передачи натуры. Появляются также скульптурные изображения и предметы, служащие для украшения. В вопросе о происхождении искусства есть две точки зрения: первая выводит искусство из магических обрядов, вторая — из эстетических и познавательных целей. Однако если учесть характер первобытного мышления (о чем мы подробно будем говорить ниже), то различие между этими двумя источниками оказывается несущественным.

С точки зрения на материальное производство как на систему, решающим отличием верхнего палеолита от нижнего является появление составных орудий, например копья с каменным наконечником. Это можно рассматривать как метасистемный переход, ибо изготовление составного орудия (оружия) есть создание системы из подсистем, которые до сих пор мыслились изготовителем как нечто самостоятельное (наконечник — колющее каменное орудие, бревно — палка или деревянное копье). Что это не такой простой переход, можно видеть из того факта, что в историческое время существовал народ — коренные жители острова Тасмании, который не знал составных орудий.

Сейчас тасманийцев как этнической группы не существует. Последняя чистокровная тасманийка умерла в 1877 г. Сведения, сохранившиеся о культуре тасманийцев, недостаточны и иногда противоречивы. Тем не менее, их с уверенностью можно считать самой отсталой группой человечества из всех известных этнографии. Здесь сыграла роль их изолированность от остальной части человечества (ближайшие соседи тасманийцев — австралийские аборигены были почти столь же отсталыми) и бедная природа острова, в частности отсутствие животных, крупнее кенгуру. С учетом различий в природных условиях культуру тасманийцев можно сопоставить с ориньяко-солютрейской культурой на ее ранних стадиях. Тасманийцы имели следующие орудия и оружие: каменное ручное рубило, остроконечник, режущее каменное орудие неопределенной формы, деревянную дубину (двух типов: ручную и метательную), деревянное копье, палку для выкапывания съедобных корней и деревянную лопатку для отрывания моллюсков от скал. Кроме того, они умели плести веревки и сумки (корзины) из травы или волоса. Огонь добывали с помощью трения. Изготовлять составных орудий, например придавать рабочей каменной части рукоятку из дерева, они, повторяем, не умели.

5.7. Неолитическая революция


В отличие от палеолитических культур неолитические культуры (известные как по археологическим, так и по этнографическим данным) отличаются большим разнообразием, специфичностью и локальностью. По технике производства орудий неолит представляет собой развитие качественного скачка (метасистемного перехода), сделанного в позднем палеолите: составные орудия, изготовляемые с помощью других орудий. На этом пути человечество совершает ряд выдающихся достижений, из которых самым замечательным является, по-видимому, изобретение лука. Большие перемены происходят также в одежде и устройстве жилищ.

Хотя в отношении изготовления орудий неолит не может похвастать крупномасштабным метасистемным переходом, в этот период все же происходит метасистемный переход огромной важности. Он затрагивает не орудия как таковые, а способ добывания пищи в целом (а, следовательно, опосредованно и орудия). Это переход от охоты и собирательства к скотоводству и земледелию. Его называют иногда неолитической революцией. Животные и растительный мир, которые до этого служили лишь сугубо внешним, не контролируемым источником пиши, становятся теперь (в определенной своей части, которая непрерывно увеличивается) объектом активного воздействия и управления со стороны человека. Мы имеем дело, таким образом, с типичным метасистемным переходом. Возникновение земледелия и скотоводства археологи относят ко времени около 7 тыс. лет назад (VI–V тысячелетие до н. э.), подчеркивая приблизительность этой даты. Из злаковых культур наиболее древними являются пшеница, просо, ячмень, рис. Позже появились рожь и овес. Первым домашним животным стала собака. Ее одомашнивание относится к раннему неолиту, еще до возникновения земледелия. С переходом к земледелию люди одомашнили свинью, овцу, козу, корову. Позже, уже в век металла, появились домашние лошадь и верблюд.

5.8. Век металла


Век металла — следующая за неолитом страница истории человеческой культуры. Переход к выплавке металла знаменует собой метасистемный переход в системе производства. Если раньше материал, из которого делается орудие, — дерево, камень, кость и т. п. — являлся чем-то данным, готовым, то теперь возникает процесс — выплавка металла, направленный не на изготовление орудия, а на изготовление материала для орудия. Благодаря этому люди получают новые материалы с нужными для них свойствами, которых нет в природе. Сначала это бронза, затем железо, различные сорта стали, стекло, бумага, резина. С точки зрения структуры производства век металла следовало бы назвать веком материала. Такие ремесла, как выделка кожи и гончарство, возникшие раньше выплавки металлов, нужно рассматривать, строго говоря, как начало метасистемного перехода к веку материала. Однако в каждом метасистемном переходе есть решающая фаза, когда преимущества создания нового уровня в системе становятся очевидными и бесспорными. Для века материала такой фазой послужила выплавка металлов, особенно железа.

Древнейшие следы бронзы в Месопотамии и Египте относятся к IV тысячелетию до н. э. Начало выплавки рудного железа относят к 1300 г. до н. э.

5.9. Промышленные революции


Следующий качественный скачок в системе производства — использование новых источников энергии, кроме мускульной энергии человека и животных. Это, конечно, тоже метасистемный переход, ибо возникает новый уровень системы — уровень двигателей, управляющий перемещением рабочих частей машины. Происходит первая промышленная революция (XVIII в. н. э.), радикально меняющая весь облик производства. Лейтмотивом технического прогресса становится совершенствование двигателей. Сначала это паровая машина, затем двигатель внутреннего сгорания, затем электромотор. Вслед за веком материала наступает век энергии. Наконец, наше время является свидетелем еще одного метасистемного перехода в структуре производства. Возникает новый уровень — уровень управления двигателями. Начинается вторая промышленная революция, которая, очевидно, в еще большей степени, чем первая, повлияет на общий облик системы производства. Век энергии сменяется веком информации. Автоматизация производственных процессов, внедрение в народное хозяйство вычислительных машин приводят к еще более быстрому, чем прежде, росту производительности труда и придают системе производства характер автономной самоуправляющейся системы.

5.10. Квант развития


Давно подмечено сходство между последовательными этапами развития техники и функциями биологических объектов. Производство технических материалов можно сопоставить образованию и росту живой ткани. Использование двигателей соответствует работе мышц. Автоматическое управление и передача информации соответствуют функционированию нервной системы. Эта параллель существует, несмотря на коренное различие в природе биологических и технических систем и совершенно различные причины, вызывающие их развитие. Тем не менее сходство в стадиях развития отнюдь не является случайным. Оно вытекает из наличия у всех процессов развития одной обшей черты: развитие всегда происходит путем последовательных метасистемных переходов. Метасистемный переход — это, если угодно, элементарная единица, универсальный квант развития. Поэтому нет ничего удивительного, что, сопоставив начальные стадии развития двух разных систем, например технический материал и живую ткань, мы получаем естественное сопоставление следующих стадий, которые образуются накоплением этих универсальных квантов.

5.11. Эволюция мышления


Наша следующая задача в историческом плане — анализ развития мышления начиная с древнейшей фазы, о которой у нас есть надежные сведения. Эта фаза — первобытное общество с культурой позднего палеолита и раннего неолита. Но прежде, чем говорить о первобытном мышлении, прежде, чем «вжиться в роль» первобытного человека, мы исследуем мышление вообще, используя и современный мыслительный аппарат в качестве инструмента исследования, и современное мышление в качестве объекта исследования, непосредственно доступного каждому из нас по личному опыту. Это необходимо, чтобы можно было ясно увидеть отличие первобытного мышления от современного и общее направление развития мышления. Исследование, которое мы собираемся предпринять в двух следующих главах, можно определить как кибернетический подход к основным понятиям логики и к проблеме взаимоотношения языка и мышления.

Глава 6. Логический анализ языка


6.1. Снова о понятиях


Начнем с фундаментальнейшего понятия логики — понятия «понятие». Выше (в главе 2) мы дали кибернетическое определение этого понятия в его аристотелевском варианте. Мы определили понятие как множество ситуаций на входе кибернетической системы. Владеть понятием — значит уметь его распознавать, т. е. уметь определить, принадлежит ли любая данная ситуация к множеству, характеризующему понятие, или не принадлежит.Это определение в равной степени относится и к сложным кибернетическим системам естественного происхождения, об устройстве которых мы имеем лишь общее представление (например, мозг животного), и к тем относительно простым системам, которые создаем мы сами с прикладными или исследовательскими целями.

В первом случае мы приходим к выводу, что система распознает некое понятие, на основе наблюдения за внешними проявлениями деятельности системы. Например, когда мы видим, что собака приходит в радостное возбуждение, заслышав голос хозяина, и совсем иначе реагирует на все остальные звуки, мы заключаем, что собака имеет понятие «голос хозяина». Это понятие вырабатывается у нее естественным путем, без каких-либо усилий со стороны экспериментатора. Чтобы выявить максимальные возможности мозга собаки, экспериментатор может ставить ее в необычайные условия и следить за ее реакцией. Много опытов такого рода было проведено И. П. Павловым и его школой. Если показать собаке фанерные круги и квадраты разного размера и цвета и после предъявления круга давать пищу, а после предъявления квадрата наказывать, то собака научится различать круг и квадрат и будет по-разному реагировать на предъявление этих фигур. Следовательно, собака способна распознавать некоторые общие (абстрактные) понятия, в данном случае — понятия круга и квадрата, отвлеченные от признаков размера и цвета. Значит, мы должны заключить, что собака владеет абстрактными понятиями «круг» и «квадрат».

Но, едва произнеся эту фразу, мы начинаем чувствовать, что такое заключение, пожалуй, было бы слишком поспешным. Утверждение, что собаке доступно понятие «голос хозяина» (имеется в виду, конечно, голос конкретного человека), можно принять без оговорок, но вот утверждение, что собаке доступно понятие квадрата, представляется в каком-то смысле верным, а в каком-то нет. Заметим это себе, чтобы вернуться к этому вопросу позже. А пока завершим экскурс в область умственных способностей собаки указанием на простейшие понятия, которые собаке заведомо недоступны. Предположим, что вы показываете собаке ящик, разделенный на две части, в каждой из которых находится несколько биллиардных шаров. Вы хотите заставить ее отличить случай, когда число шаров в обеих частях одинаково, от случая, когда число шаров различно. Можно держать пари, вы не достигнете цели. Понятие равночисленности собаке недоступно.

Кибернетические системы, обладающие способностью распознавания понятий, создаются также искусственно. В связи с кибернетизацией науки и производства их значение непрерывно возрастает. Для понимания общих принципов и конкретных механизмов работы мозга разработка искусственных распознающих устройств играет решающую роль. Эти устройства служат моделями, с помощью которых люди пытаются приподнять завесу над процессом мышления. Создание «искусственного мозга», выполняющего хотя бы частично те же функции, что и естественный мозг, дает указания о том, как подходить к исследованию деятельности естественного мозга. Интересно, что одним из первых результатов сравнения искусственных и естественных распознающих систем был вывод о чрезвычайно узкой целенаправленности, специализации естественных систем. В рамках своей специализации они достигают высокого совершенства, но зато оказываются совершенно бессильными, когда задача выходит за эти рамки. Распознавание человека по голосу — чрезвычайно трудная задача для искусственных кибернетических устройств, а мозг собаки решает ее без труда. В то же время простейшая для искусственной системы задача сравнения числа биллиардных шаров непосильна для собаки.

В главе 2 мы рассматривали распознающее кибернетическое устройство, на вход которого подавались сигналы от светочувствительных рецепторов, расположенных на экране. Ситуацию, т. е. совокупность значений всех сигналов от рецепторов, мы называли «картинкой»; с точностью до полутонов она совпадает с изображением на экране. Это устройство (распознаватель картинок) послужит нам для иллюстраций и в настоящей главе.

6.2. Свойства и отношения


Примеры понятий, которые мы до сих пор приводили, укладывались в определение понятий как множества ситуаций. Но все ли понятия, которые представляются нам интуитивно ясными и проявляются в языке, таковы? Оказывается, не все. Возьмем, например, понятие, выражаемое предлогами «внутри» или «в» (в том же смысле). Если кому-нибудь не нравится, что понятие выражается предлогом, можно выразить его словосочетанием «находится в» или «нахождение в». Это понятие применимо к устройству, на вход которого подаются «картинки». Например, на рис. 6.1 пятно A находится внутри контура B. Но можем ли мы сопоставить понятию «внутри» какое-либо определенное множество картинок? Нет, не можем. Это видно, например, из рассмотрения картинок, изображенных на рис. 6.2. На картинке a пятно A находится внутри контура В, но не внутри контура C. На картинке b пятно A находится вне контура C, а пятно B — внутри него. Относить ли эти картинки к множеству ситуаций «внутри», которое нам надо было бы построить? Любой ответ будет неудовлетворительным и произвольным, ибо сам вопрос бессмыслен. Понятие «внутри» характеризует не картинку (ситуацию) в целом, а отношение между двумя определенными объектами — деталями картинки. Пока не указаны эти объекты — определенное пятно и определенный контур, ставить вопрос «внутри или не внутри» бессмысленно.

Рис. 6.1. Пятно внутри контура



Рис. 6.2. Пятна и контура

6.3. Аристотелевская логика


Понятия, выражающие свойства ситуации в целом, мы будем называть аристотелевскими, ибо логика Аристотеля есть как раз не что иное, как последовательная теория правильного использования таких понятий. Каждому аристотелевскому понятию соответствует определенное множество ситуаций, а именно тех ситуаций, когда свойство, выражаемое этим понятием, имеет место. Поэтому аристотелевское понятие можно также описать как некое множество или класс ситуаций (явлений, объектов — в том предельно общем смысле, в котором эти термины здесь употребляются, все они равнозначны друг другу и термину «нечто», который из них самый точный, но и самый неудобный из-за необходимости считаться с грамматикой). Поэтому же все законы аристотелевской логики легко выводятся из простейших свойств операций над множествами.

Рассмотрим классический пример силлогизма.

Все люди смертны.

Сократ — человек.

Следовательно, Сократ смертен.

В этом рассуждении участвуют три аристотелевских понятия: «человек», «смертен» и «Сократ». Понятие «человек» характеризуется множеством ситуаций, в которых мы говорим: это — человек. То же относится и к остальным понятиям. Чтобы сделать наглядными свойства множеств, представим каждую ситуацию в виде точки внутри некоторого квадрата (рис. 6.3). Тогда этот квадрат будет олицетворять множество всех мыслимых ситуаций, что соответствует предельно общему понятию «нечто». Остальные понятия, которым соответствуют различные множества точек, будут изображаться различными областями в квадрате. Утверждение «все люди смертны», иначе говоря «каждый человек смертен», означает, что каждая точка, входящая в область «человек», входит также в область «смертен» («смертное существо»), т. е. область «человек» находится целиком в области «смертен». Точно так же вторая посылка силлогизма означает, что область «Сократ» находится целиком внутри области «человек». Отсюда следует, что область «Сократ» находится внутри области «смертен», т. е. верно утверждение «Сократ смертен».


Нечто



Рис. 6.3. Схема силлогизма о Сократе


Нечто




Рис. 6.4. Схема умозаключения disamis

На рис. 6.4 продемонстрирована справедливость следующей схемы умозаключения (disamis по логической терминологии).


Все

A

суть

B

.


Некоторые

A

суть

C

.


Следовательно, некоторые

B

суть

C

.


Логика Аристотеля играла важную роль в развитии европейской культуры. Однако она недостаточно глубоко проникает в структуру нашего мышления, она неспособна отразить процесс расчленения ситуации на отдельные части (объекты) и исследования отношений между этими частями. Когда речь идет о свойствах объектов, аристотелевская логика вполне адекватна, ибо можно представить себе изолированный объект как некую ситуацию. Образуя множество таких ситуаций-объектов, мы получаем отвлеченное понятие, выражающее одно из свойств объекта. Не так обстоит дело с отношениями. Аристотелевская логика может выразить понятие о совокупности объектов, находящихся в данном отношении, но не имеет средств выражения понятия об отношении как таковом. Можно представить множество картинок, имеющих вид контура с пятном внутри; это множество порождает аристотелевское понятие (свойство) «быть контуром с пятном внутри». Но не существует аристотелевского понятия «быть внутри». Логика Аристотеля слишком глобальна, поверхностна. Возьмем такое умозаключение:


Иван — брат Петра.


----------------------


Следовательно, Петр — брат Ивана.


Умозаключение это правильно, но чтобы его обосновать, надо в явном виде добавить посылку о симметричности отношения «брат», которая здесь неявно подразумевается. Эту посылку можно выразить фразой:

Если х — брат у, то у — брат х.

Здесь буквами x и у обозначаются любые лица мужского пола. Однако такая символика выходит за пределы логики Аристотеля.

Можно ли на языке логики Аристотеля выразить этот силлогизм? Можно, если не рассматривать отдельных людей, а пары людей, точнее, упорядоченные пары, т. е. такие пары, где одному лицу приписывается номер один, а другому — номер два. Вот этот силлогизм совершенно законный с точки зрения аристотелевской логики.


Пара (Иван, Петр) обладает свойством: первый — брат второго.


  Каждая пара, обладающая свойством: первый — брат второго, обладает свойством: второй — брат первого.


---------------------


Следовательно, пара (Иван, Петр) обладает свойством: второй — брат первого.


Это громоздкое рассуждение, хотя оно формально и совпадает с предыдущим, бъёт мимо цели, ибо оно не отражает главного в нашем исходном силлогизме — симметричности отношения «брат». Свойства «первый — брат второго» и «второй — брат первого» никак не расчленены, никак не связаны друг с другом и с тем фактом, что они прилагаются к объектам, имеющим вид упорядоченной пары.

Мы не случайно начали кибернетическое исследование понятий с аристотелевских понятий. Они проще, ибо допускают определение исключительно в терминах входных и выходных состояний, без обращения к внутренней структуре распознающей системы. Так было и в истории человеческой мысли. Сначала было осознано наличие аристотелевских понятий и только гораздо позже — отношений.

Так как в математике главное — это исследование отношений между объектами, аристотелевская логика совершенно недостаточна для выражения математических доказательств. Это было замечено давно; примеры из математики, которыми пользуется традиционная логика, говорят сами за себя, они чрезвычайно примитивны и неинтересны. До самого конца XIX в., когда началось создание новой («математической») логики, математика и логика развивались независимо.

6.4. Диалектика Гегеля


В философии решающий удар аристотелевской логике нанес Гегель. Он показал своей диалектикой, что мир надо рассматривать не как совокупность объектов, обладающих некоторыми свойствами, а как совокупность объектов, находящихся в некоторых отношениях друг к другу. При этом свойства не исключаются, конечно, из рассмотрения, ибо понятие отношения является более общим, чем понятие свойства. Отношение может быть определено для произвольного числа объектов. В частности, число объектов может быть равно единице; такое отношение и есть свойство. Наиболее ясными интуитивно и в то же время наиболее важными являются парные отношения, т. е. отношения между двумя объектами. Два — минимальное число объектов при котором отношение перестает быть свойством и становится собственно отношением. Число два лежит в основе гегелевского метода что отражено в самом термине «диалектика».

Важнейшие черты диалектики Гегеля непосредственно вытекают из описания явлений в терминах отношений, а не свойств. Из такого подхода прежде всего следует учение о взаимодействии, взаимосвязанности всего сущего. Далее. Если два элемента находятся в соответствии, не противоречат друг другу, то они выступают как нечто целое и на первый план выходят их общие свойства, а взаимодействие, отношение между ними, отступает на второе место. Отношения между элементами, объектами проявляются постольку, поскольку они являются отношениями противоположности, противоречия, борьбы. Поэтому представление о борьбе противоположностей играет у Гегеля такую важную роль.

Рассматривая отношения между состоянием объекта в данный момент и состоянием этого же объекта в какой-то другой момент времени, мы приходим к понятию изменения. Изменение — это отношение между объектами, разделенными временным интервалом. На языке, оперирующем только со свойствами, но не с отношениями, изменение невыразимо. Самое большее, на что способен такой язык, это изобразить ряд никак не связанных друг с другом состояний объекта. Блестящим выражением этой неспособности является известная апория Зенона о летящей стреле. Рассмотрим летящую стрелу. Возьмем определенный момент времени. В этот момент стрела занимает определенное положение в пространстве. Возьмем другой момент времени. Стрела опять занимает вполне определенное положение в пространстве. То же относится и к любому другому моменту времени. Значит, стрела всегда занимает определенное положение в пространстве. Значит, она всегда на месте.

В аристотелевских понятиях мир представляется чем-то статическим, застывшим или, в лучшем случае, механически размноженным с некоторыми вариациями. Диалектика, напротив, сделав своим предметом исследование отношений, изучает вещи с точки зрения их изменения, движения, развития. Она вскрывает историческую обусловленность и относительность (от слова «отношения»!) вещей, которые при описании в аристотелевских понятиях представляются безусловными и вечными. Комбинация понятия противоположности с понятием отношения между состояниями в последовательные моменты времени порождает понятие об отрицании и отрицании отрицания. Диалектика динамична и революционна.

По отношению к аристотелевской логике диалектика Гегеля выступила в качестве разрушительной силы, и не только по причине своей «общей» революционности, а еще и потому, что она указала на множество противоречий, которые возникают, когда описание явлений, которое требует языка отношений, втискивается в узкие рамки языка свойств. У Гегеля и его последователей эти противоречия окружались зачастую неким ореолом возвышенности и, можно сказать, полумистической значительности. Здесь сказалось, с одной стороны, идеалистическая направленность философии Гегеля, а с другой — то общее свойство новых учений, теорий, движений, что на начальных этапах своего развития они, стараясь высвободиться из рамок старого, предпочитают парадоксальную, преувеличенную форму, приобретают героический, романтический характер. Диалектика Гегеля — это героическая эпоха новой логики, когда старый логический формализм был сломан, а новый еще не создан, и поэтому противоречивым и не поддающимся формализации («диалектическим») казалось даже то, что впоследствии оказалось прекрасно упорядоченным и формализованным. Современному мышлению, свободно пользующемуся языком отношений и вооруженному анализом логических понятий и конструкций, гегелевский стиль мышления представляется темным мудрствованием по поводу ясных вещей. Следующее рассуждение представляет собой грубо упрощенную, карикатурную схему гегелевского диалектического противоречия, показывающую, откуда это противоречие возникает.

Поставим вопрос: является ли число 1000 большим или маленьким? Оно большое, так как оно больше единицы. Оно маленькое, так как оно много меньше миллиона. Значит, оно и большое и небольшое одновременно. Диалектическое противоречие. Большое есть и в то же время небольшое, A есть не A.

Понятия «большое» и «маленькое» рассматривались здесь как свойства объектов (чисел). На самом же деле это не свойства, а замаскированные (с помощью грамматической категории прилагательного) отношения. Точный смысл можно вложить только в понятия «больше» и «меньше». Если с этой точки зрения разобрать приведенное выше рассуждение, то оно окажется просто бессмысленным. Эта карикатура направлена не против Гегеля — его заслуги в создании новой логики неоспоримы, а против тех, кто некритически относится к диалектическому методу Гегеля и во второй половине XX в. пропагандирует образ мышления первой половины XIX в., игнорируя огромный прогресс, достигнутый логикой за полтора столетия.

6.5. Математическая логика


Решающим фактором в прогрессе логики была ее математизация (конец XIX – начало XX вв.). Математизация логики была порождена потребностями математики и осуществлена математиками. Разрыв между математикой и логикой был, наконец, преодолен. Расширив свой язык и математизировав его, логика стала пригодной для описания и исследования математического доказательства. С другой стороны, для решения логических проблем стали применяться математические методы.

Завоевав плацдарм в области математики, новая логика стала проникать в естественные науки и философию. При этом роль собственно математического элемента (использование математических моделей) упала. Тем не менее всю современную логику часто называют «математической» по причине ее языка и происхождения.

6.6. Объекты и высказывания


Прежде чем продвигаться дальше в анализе языка и мышления, нам надо дать краткий набросок современной логики. Для наших целей достаточно рассмотреть только язык современной логики и те понятия, которые связаны с языком. Понятия, связанные с логическим выводом (доказательством), мы пока оставим в стороне.

Современная логика делит все сущее на объекты (или предметы) и высказывания (или утверждения). В естественном языке высказывания изображаются предложениями или наборами предложений, а объекты — словами и словосочетаниями, входящими в состав предложения. Примеры объектов: «цапля», «дядя Коля», «председатель колхоза». Примеры высказываний: «цапля сдохла», «дядю Колю выбрали председателем колхоза». Чаще всего объекты выражаются существительными, но это не обязательно. Например, «курить» — объект в высказывании «курить вредно». В приложении к математике объекты обычно называются термами, а высказывания соотношениями.

Примеры термов:

3.14.ax2 + bx + c.abf(z)dz.

Примеры соотношений:

2 + bx + c = 0.0 < z < 1.Каково бы ни было натуральное число n > 1, найдется простое число р, которое является делителем числа n.Сумма квадратов катетов равна квадрату гипотенузы.

Понятия «объект» и «высказывание» считаются в логике первичными, интуитивно ясными и неопределяемыми. Формальное различие между ними состоит в том, что о высказывании имеет смысл говорить, что оно является истинным или ложным. Так, третий и четвертый примеры математических соотношений представляют собой истинные высказывания, а первое и второе соотношения могут быть истинными или ложными в зависимости от значения переменных х и z. К объектам понятия истинности и ложности неприменимы.

Объекты и высказывания, которые считаются элементарными, т. е. не расчлененными на отдельные составные части, обозначаются в логике буквами. Объекты обычно обозначаются малыми латинскими буквами, а высказывания — большими. Мы будем придерживаться этой символики, но дополнительно введем еще одно соглашение. Для ясности записи и уменьшения словесных пояснений будем иногда обозначать элементарные объекты и высказывания словами и словосочетаниями, взятыми в кавычки. Следовательно, словосочетания в кавычках будут рассматриваться на равных правах с буквами.

Объекты и высказывания, которые не являются элементарными, конструируются, очевидно, из других объектов и высказываний. Мы должны указать теперь способ конструирования.

При наличии двух типов элементов (объекты и высказывания) и предполагая, что элементы, служащие строительным материалом, принадлежат все к одному типу, мы получаем четыре возможных типа конструкций, которые мы сведем в следующую таблицу.


Что конструируется

Из чего конструируется

Название конструкции


Высказывание

Высказывания

Логическая связка


Высказывание

Объекты

Предикат


Объект

Высказывания


Объект

Объекты

Функция


6.7. Логические связки


Широко употребительных логических связок пять. Это отрицание (изображается знаком ¬), конъюнкция (знак ∧), дизъюнкция (знак ∨), импликация (знак ⊃) и эквивалентность (знак ≡).

Высказывание ¬A (читается «не A») означает, что высказывание A ложно. Иначе говоря, ¬A истинно тогда, когда A ложно, и ложно тогда, когда A истинно.

Высказывание AB (читается «A и B») означает утверждение, что верно и A, и B. Оно верно только в том случае, если верны оба высказывания A и B.

Высказывание ABA или B») верно, если верно хотя бы одно из высказываний A и B.

Высказывание AB читается «A влечет B» или «если A, то B». Оно неверно, если A истинно, B ложно, и верно во всех остальных случаях.

Наконец, высказывание A B верно в том случае, если высказывания A и B либо оба истинны, либо оба ложны.

Для обозначения структуры связей пользуются скобками подобно тому, как это делается в алгебре для обозначения порядка выполнения арифметических действий. Так, например, высказывание ¬AB означает «A неверно, а B верно», а высказывание ¬(AB) — «неверно, что A и B оба верны». И так же, как в алгебре, для уменьшения числа скобок устанавливается порядок старшинства связок по силе связи. Выше мы перечислили связки в порядке ослабления связи. Например, конъюнкция связывает сильнее, чем импликация, поэтому высказывание ABC понимается как A ⊃ (BC), но не как (AB) ∧ C. Это соответствует тому, что в алгебре a + b × c означает a + (b × c), но не (a + b) × c.

Приведем несколько примеров составных высказываний.

Известная скороговорка утверждает: «цапля чахла, цапля сохла, цапля сдохла». Это высказывание можно записать в виде: «цапля чахла» ∧ «цапля сохла» ∧ «цапля сдохла».

Соотношение 0 < Z < 1 есть конъюнкция «Z > 0» ∧ «Z < 1», a соотношение |Z| > 1 — дизъюнкция «Z > 1» ∨ «Z < -1». Определение логической связки ≡ данное выше, можно записать так:

[(AB) ⊃ (AB) ∨ (¬A ∧ ¬B)] ∧ [(AB) ∨ (¬A ∧ ¬B) ⊃ (AB)]

Предоставляем читателю перевести на обычный язык следующее высказывание:

«Свет включен» ∧ «Лампочка не горит» ⊃ «Нет электричества» ∨ «Перегорели пробки» ∨ «Перегорела лампочка».

Если считать, что высказывания могут быть только истинными или ложными и, сверх этого, о высказывании ничего сказать нельзя, то перечисленных связок достаточно, чтобы выразить все мыслимые конструкции из высказываний. Достаточно даже двух связок, например отрицания и конъюнкции или отрицания и дизъюнкции. Такая ситуация имеет место, в частности, в отношении утверждений математики. Поэтому в математической логике других связок не используется.

Однако естественный язык отражает большее разнообразие в оценке высказываний, чем просто деление их на истинные и ложные. Например, высказывание можно рассматривать как бессмысленное или как недостоверное, хотя и возможное («в этом лесу, наверное, есть волки»). Этим вопросам посвящены специальные разделы логики, в которых находятся другие связки. Большого значения для современной науки эти разделы (в отличие от классической математической логики) не имеют, и мы их касаться не будем.

6.8. Предикаты


Конструкция, сопоставляющая нескольким объектам высказывание, называется предикатом. Предикаты делятся на одноместные, двухместные, трехместные и т.д. в соответствии с числом объектов, которого они требуют. Для записи их используют функциональные обозначения. Предикат можно записать в виде функции с незаполненными местами для аргументов, например

P( ), L( , ), I( , , )

или же в виде

P(x), L(z, y), I(x, y, z)

оговорив, что x, y, z — предметные переменные, т. е. символы, которые в конечном счете должны быть заменены на объекты, но какие — пока неизвестно. Впрочем, вторая форма изображает, строго говоря, уже не предикат, а высказывание, содержащее предметные переменные. Вместо больших букв мы будем также использовать словосочетания в кавычках, например,

«красный»(x), «между»(x,у, z)

и специальные математические знаки, например,

<(х, у).

Одноместный предикат выражает свойство объекта, предикат более чем с одним аргументом — отношение между объектами. Если места для аргументов в предикате заполнены, то мы имеем дело с высказыванием, утверждающим наличие данного свойства или отношения. Высказывание

«красный»(«мяч»)

означает, что «мяч» обладает свойством «красный». Конструкция

<(a, b)

равнозначна соотношению (неравенству) a < b.

Соединяя предикатные конструкции логическими связками, мы получаем более сложные высказывания. Например, соотношение |z| > 1, которое мы раньше записывали, не расчленяя высказываний на элементы, мы запишем теперь в виде

>(z, 1) ∨ <(z, -1).

6.9. Кванторы


В математике большую роль играют утверждения о всеобщности данного свойства и о существовании хотя бы одного объекта, обладающего данным свойством. Для записи этих утверждений вводятся так называемые кванторы: квантор всеобщности ∀ и квантор существования ∃. Допустим, что некоторое высказывание S содержит переменную (неопределенный объект) х, поэтому будем записывать его в виде S(x). Тогда высказывание

(∀x)S(x)

означает, что для всех х имеет место S(x), а высказывание

(∃x)S(x)

состоит в утверждении, что существует хотя бы один объект х такой, что для него верно высказывание S(x).

Переменная, входящая в высказывание под знаком квантора, называется связанной переменной, ибо высказывание от этой переменной не зависит, подобно тому как сумма

i=nmSi

не зависит от индекса i. Связанную переменную можно заменить любой другой буквой, не совпадаюшей с остальными переменными, и от этого смысл высказывания не изменится. Переменная, которая не является связанной, называется свободной. Высказывание зависит только от свободных переменных, которые оно содержит.

Примеры высказываний с кванторами:

(∀х)(∀у)(«брат»(х, у) ∧ «мужчина»(у)) ⊃ «брат»(у, x).

Для всякого х и всякого у, если х — брат у и у — мужчина, то у — брат x.Если через D(x, y) обозначить высказывание «x является делителем у», то одно из соотношений, приведенных выше в качестве примера высказываний, изобразится в виде

(∀n)(>(n, «1») ⊃ (∃p)D(p, n)).(∃x)W(x) ⊃ ¬(∀x) ¬W(x).

Это соотношение верно для любого высказывания W(x) и показывает, что имеет место связь между кванторами существования и всеобщности. Из существования объекта х, для которого верно W(x), следует, что неверно утверждение, будто для всех х W(x) неверно.

Квантор — это тоже в сущности логическая связка. Приписывание квантора превращает высказывание в новое высказывание, которое содержит на одну свободную переменную меньше. Отличие от связок, которое мы рассматривали выше, состоит в том, что, кроме высказывания, надо указать еще свободную переменную, которую надо связать. Связывание переменной подразумевает подстановку вместо нее конкретных объектов. Если число объектов, которые могут быть подставлены вместо переменной, конечно, то кванторы можно рассматривать просто как удобные сокращения, ибо они могут быть выражены через логические связки — конъюнкцию и дизъюнкцию. Пусть переменная х может принимать n значений, которые мы обозначим буквами х1, х2,..., xn. Тогда имеют место следующие эквивалентности:

(∀x)W(x) ≡ W(x1) ∧ W(x2) ∧ ... ∧ W(xn),

(∃x)W(x) ≡ W(x1) ∨ W(x2) ∨ ... ∨ W(xn).

6.10. Связка «такой, что»


Третья строка таблицы, приведенной в разделе 6.6, описывает конструкцию, которая высказыванию сопоставляет объект. В естественных языках эта конструкция употребляется чрезвычайно широко. Когда мы говорим «красный мяч», мы имеем в виду объект «мяч», который обладает свойством «красный», т. е. такой, что верно высказывание «красный» («мяч»). Высказывание об объекте мы переносим в прилагательное, относящееся к существительному, которым мы обозначили объект, в других случаях для этой цели могут служить причастия, причастные обороты, обороты со связками «который», «такой, что». Если мы пойдем дальше в этом анализе, то обнаружим, что и существительное, подобно прилагательному, указывает в первую очередь на определенное свойство (свойства) объекта. Слово «мяч», как и слово «красный», изображает некоторый класс объектов и ему можно сопоставить одноместный предикат «является мячом»(х), или просто «мяч»(х). Тогда «красный мяч» это такой предмет a, что верны высказывания «мяч»(a) и «красный»(a), иначе говоря, верно высказывание

«мяч»(a) ∧ «красный»(a)

Обратите внимание: в логической записи фигурирует три независимых элемента — буква a, предметы «мяч» и «красный», а в записи на естественном языке их остается только два «красный» и «мяч». Однако буква a, которую в логическую запись вводят для того, чтобы идентифицировать данный объект, отличить его от других, и которую поэтому называют идентификатором, не совсем исчезла в естественной записи. Она перешла в понятие «мяч», превратив его из свойства в предмет! В отличие от слова «красный» слово «мяч» идентифицирует — вы можете сказать «это тот мяч, который мы потеряли вчера» или «я имею в виду тот самый мяч, о котором говорил в предыдущей фразе».

Что же такое «предмет»?

6.11. Физический предмет и логический объект


Опыт учит нас, что мир, в котором мы живем, характеризуется определенной устойчивостью, повторяемостью (точно так же, конечно, как непрерывной текучестью, изменяемостью). Допустим, вы видите дерево. Вы отходите от него, и изображение дерева на сетчатке вашего глаза изменяется. Но изменение это и его зависимость от ваших движений подчиняется определенному закону, который вам уже знаком по опыту наблюдения других предметов. А когда вы возвращаетесь на прежнее место, изображение становится почти в точности таким, как было раньше. Тогда вы говорите: «это — дерево», имея в виду не только ситуацию в данный момент времени (мгновенную фотографию), но и ситуации в близкие моменты. Если речь идет только о классификации отдельных ситуаций самих по себе без связи, без учета их отношения к другим ситуациям, то различия между предметами и свойствами никакого нет; понятие «мяч», как и понятие «красный», полностью исчерпывается указанием некоего множества ситуаций, и распознаватель этих понятий (естественный или искусственный) должен только уметь правильно употреблять фразы: «это — красное», «это — не красное», «это — мяч», «это — не мяч».

Положение меняется, когда надо классифицировать не отдельные ситуации, а временные последовательности ситуаций — будем их представлять в виде кинолент, кадры которых суть мгновенные ситуации. На такой киноленте «мяч» — это не просто деталь ситуации (одного кадра), а деталь ситуации, повторяющаяся на многих кадрах. Распознаватель понятия «мяч» должен не только сказать: «Да, друзья, это — мяч!» — но и выделить определенные детали на кадрах, сказав: «Вот этот мяч на кадре №137, а вот тот же самый мяч на кадре №138, вот он же на кадре №139 и вот он таким казался на кадре №120», — и т.д. Деталь ситуации, именуемая «тем самым мячом», может довольно существенно меняться вследствие изменения положения глаза относительно мяча или изменения формы самого мяча, но идентификация мяча как «того самого» остается неизменной и абсолютной.

Эта абсолютная неизменность является формой, в которой мы отражаем относительную и временную неизменность, которую находим в реальности. Мы как бы проводим линию во времени, соединяя детали на различных кинокадрах, и объявляем, что все, что находится на этой линии, есть «тот же самый» предмет. Эта линия в сочетании с некоторым набором свойств (качеств) и образует понятие о предмете.

Логическое понятие объекта соответствует свойству физических предметов сохранять свою идентичность. Объект логики — это только идентификатор и больше ничего. Он обладает только свойством «быть тем же самым» и является именем воображаемой линии, соединяющей детали на кадрах киноленты. Если есть несколько различных классов объектов, то обычно условливаются обозначать объекты разных классов разными типами идентификаторов, например отрезки — малыми латинскими буквами, точки — большими латинскими буквами, углы — греческими буквами и т.п. Но более конкретные свойства, присущие объектам, записываются уже в виде отдельных утверждений, включающих введение обозначения. Это позволяет обходиться без конструкции со связкой «такой, что». Правда, Бурбаки в самом начале своего знаменитого трактата «Элементы математики» вводит обозначение τx[A(x)] для некоторого объекта, обладающего свойством A(х), т. е. такого, что A{τx[A(x)]} — истинное высказывание. Однако в дальнейшем это обозначение исчезает из текста. Поэтому даже определенного названия для конструкции, сопоставляющей объект высказыванию, не установилось и в нашей таблице мы вынуждены поставить прочерк. Полное разделение труда между идентификаторами и высказываниями оказывается в конечном счете удобнее.

Возьмем для примера фразу: «Рыжий пес вдовы поручика Пшебысского загрыз бродячую кошку». При записи на языке логики эта фраза разложится на несколько высказываний, которые неявно в ней содержатся, выражаясь с помощью грамматической категории определения. Их можно объединить с помощью знака конъюнкции в одно высказывание, однако запись получится более привычной и обозримой, когда все делаемые утверждения просто выписываются, каждое с новой строчки, разделяясь запятыми вместо знаков конъюнкции. Полагая, что смысл вводимых свойств и отношений ясен из контекста, получаем следующий эквивалент указанной фразы:

«пес»(a),

«рыжий»(a),

«принадлежит»(a, b),

«вдова»(b, c),

«поручик Пшебысский»(c),

«загрыз»(a, d),

«кошка»(d),

«бродячая»(d).

6.12. Функции


В приведенном выше примере один из предикатов, а именно предикат «поручик Пшебысский»(c), отличается от остальных предикатов своей явной неэлементарностью. В свойстве «быть поручиком Пшебысским» мы различаем две стороны: иметь чин и иметь фамилию Пшебысский. Поэтому и предикат выражается двумя словами. Конечно, мы могли бы представить каждое из этих слов в виде отдельного предиката, но тот факт, что «поручик» это чин объекта c, а «Пшебысский» — его фамилия, при этом не нашел бы отражения, почему мы и сочли такое разделение бессмысленным.

«Фамилия» и «чин» — это примеры функции от одного аргумента, т. е. конструкции, сопоставляющей объекту-аргументу объект-значение функции. Функция записывается так, как это принято в математике: «фамилия»(x), «чин»(x) и т. п. Если аргументов несколько, то они отделяются друг от друга запятой и мы имеем дело с функцией нескольких переменных. Эта конструкция сопоставляет набору объектов-аргументов (порядок их важен) объект-значение. Пример функции двух аргументов: «результат игры в шахматы» (x, у). Приведем примеры функций из математики. Функции одного аргумента: sin(x), |x|. Функции двух аргументов: арифметические действия, которые можно записывать так: +(х, у), -(х, у) и т.д.; расстояние r(A, B) между двумя точками A и B в пространстве. Функции трех аргументов: угол, образуемый в точке B направлениями на точку A и C; обозначение ∠(A, B, C), сокращенно ∠ABC.

Не всякий объект можно подставить в качестве аргумента (аргументов) в заданную функцию. Если объект a — рыжий пес, то, очевидно, конструкция «чин»(a) бессмысленна. Бессмысленна и конструкция +(a, B), где a — число, а, B — точка в пространстве. Множество объектов, которые могут быть аргументами функции (для функций от многих аргументов — множество наборов объектов), называется ее областью определения. Область определения функции «чин» (x) образуют все те объекты, которые являются военнослужащими. Объекты, которые могут быть значениями данной функции, образуют множество, которое называют областью значений функции. В область значений функции «чин»(x) входят такие объекты, как «прапорщик», «поручик», «майор» и др., но никак не «3.14» или «рыжий пес». Функция «чин»(x) приписывает каждому военнослужащему определенный чин.

Когда мы имеем дело с функциями, одно из отношений между объектами становится особенно важным, а именно отношение равенства. Оно необходимо для установления соответствия между функциональными конструкциями и наименованиями объектов из области значений функций. Выделяя равенство из массы других отношений, мы сохраним для него привычную запись х = у вместо записи в виде предиката =(х, у). Тот факт, что объект c имеет фамилию «Пшебысский» и чин «поручик», будет выглядеть следующим образом:

(«фамилия»(c) = «Пшебысский») ∧ («чин»(c) = «поручик»).

Отношение равенства можно определить формально с помощью следующих четырех утверждений:

(∀a)(a = a).(∀a)(∀b)[(a = b) ⊃ (b = a)].(∀a)(∀b)(∀c)[(a = b) ∧ (b = c) ⊃ (a = c)].(∀a)(∀b)[(a = b) ⊃ (W(a) ≡ W(b))].

Последнее утверждение верно для любого высказывания W(x), зависящего от переменной х. В качестве упражнений предлагаем читателю перевести эти утверждения на естественный язык.

В одном из примеров, приведенных выше, мы видели предикат D(x, y), имеющий смысл: «x является делителем у». Понятие делимости целиком определяется операцией (функцией) умножения, поэтому предикат D(x, у) может быть выражен через функцию. Натуральное (т. е. целое положительное) число p является делителем числа n тогда и только тогда, когда существует такое натуральное число т, что n = p × m. На языке исчисления предикатов

(∀p)(∀n)[D(p, n) ≡ (∃m)(n = ×(p, m))].

Каждой функции от n аргументов можно поставить в соответствие n+1-местный предикат, выражающий то отношение, что один (скажем, последний) аргумент есть данная функция от остальных аргументов. Например, функции ×(x, y) соответствует предикат M(x, y, z), который дает верное высказывание в том и только в том случае, когда z = ×(x, y). В общем случае функции f(x, у, ..., z) соответствует предикат F(x, у, ..., z, u), обладающий свойством

(∀x)( ∀y)...(∀z)( ∀u)[F(x, у, ..., z, и) ≡ (f(x, у, ..., z) = u)].

Предикат F выражает фактически то же понятие, что и функция f. Любое высказывание, содержащее функциональные символы, можнопереписать, используя лишь предикатные символы и введя дополнительно некоторое число объектных переменных. Таким образом, обе конструкции, порождающие новые объекты, — конструкция со связкой «такой, что» и функция — не являются принципиально необходимыми и без них можно обойтись. Однако в отличие от конструкции «такой, что» функциональные символы весьма удобны и широко используются в логике.

6.13. Синтаксис и семантика


В заключение нашего краткого очерка логики рассмотрим вопрос о связи языка логики и естественного языка. Попутно будут введены важные понятия синтаксис и семантика языка.

Вспомним фразу о рыжем псе, которую мы разложили в набор высказываний, выражаемых с помощью предикатов. Смысл, значение, этого набора совпадает со смыслом исходной фразы, а форма записи, структура текста, существенно отличается. В семиотике (наука, изучающая знаковые системы) совокупность правил построения элементов языка называют его синтаксисом, а связь между элементами языка и их значениями — семантикой. Следовательно, первое, что бросается в глаза при сравнении логического и естественного языков, это то, что язык логики имеет другой синтаксис. Этот синтаксис прост и единообразен. Он основан на стиле обозначений, сложившемся в математике, — конструирование более сложных элементов языка из более простых, изображается по аналогии с математической записью операций и функций. Синтаксис языка логики полностью формализован, т. е. существует набор четко сформулированных правил, с помощью которых можно построить любой языковый элемент. Далее, какой бы правильно построенный элемент языка (объект или высказывание) мы ни взяли, всегда можно восстановить путь, которым этот элемент был построен, его структуру. Этот процесс называется синтаксическим анализом элемента. Легко убедиться, что в языке логики синтаксический анализ чрезвычайно прост и однозначен.

Синтаксис (в смысле семиотики) естественного языка — это его грамматика, т. е. правила конструирования предложений из слов (синтаксис в узком, лингвистическом смысле слова) и правила конструирования слов из букв (морфология). В отличие от языка логики синтаксис естественного языка отнюдь не является полностью формализованным. Он включает в себя множество правил с великим множеством исключений. Это различие вполне понятно: язык логики создавался искусственно, а естественный язык — продукт долгого развития, которым никто не управлял сознательно, никто не пользовался заранее продуманным планом. Грамматика естественного языка — это не конструирование, а исследование уже готовой системы, попытка вскрыть и по возможности сформулировать те правила, которыми говорящие на этом языке люди пользуются неосознанно.

Синтаксический анализ предложений естественного языка нередко требует обращения к семантике, ибо без учета смысла, значения предложения, он оказывается неоднозначным. Возьмем, например, такую фразу: «Вот списки студентов, которые сдали зачет по физике». Здесь определение «которые сдали зачет по физике» относится к студентам. Если для уточнения синтаксической структуры фразы использовать скобки подобно тому, как это делается при записи алгебраических или логических выражений, то скобки надо поставить так: «Вот списки (студентов, которые... и т. д.)». Теперь возьмем такое предложение: «Вот списки студентов, которые лежали в шкафу у декана». Формально структура этой фразы в точности такая же, как и предыдущей. На самом же деле здесь подразумевается другая расстановка скобок, а именно «Вот (списки студентов), которые... и т. д.». Мысленно расставляя скобки таким образом, мы опираемся исключительно на смысл фразы, ибо не допускаем, что студенты могли лежать в шкафу у декана.

Вообще оборот со словом «который» — весьма коварная вещь. Л. Успенский в книге «Слово о словах» рассказывает, что однажды он увидел такое объявление:

«Граждане, сдавайте утиль дворнику, который накопился!»

Неудивительно, что этот оборот не прижился в математической логике!

6.14. Логический анализ языка


Итак, для логического анализа, т. е. для построения логического эквивалента фразы естественного языка, мы должны прежде всего провести синтаксический анализ фразы; результаты анализа непосредственным образом отразятся на синтаксической структуре логического выражения. Но и семантика отнюдь не останется в стороне. Когда мы говорим, что «рыжий» — это одноместный предикат, «загрыз» — двуместный предикат, «расстояние» — функция, «и» — логическая связка, «все» — квантор и т.д., мы выполняем семантический анализ понятий, выражаемых естественным языком. Мы классифицируем понятия в соответствии со схемой, зафиксированной в языке логики, и устанавливаем связь между понятиями. Логический анализ — это по существу семантический анализ. Синтаксический анализ нужен постольку, поскольку он необходим для семантического.

Логический анализ может быть более или менее глубоким. В нашем примере он весьма поверхностен. Посмотрим, могли бы мы его продолжить, и если да, то как именно.

Понятия «пес», «рыжий» и «кошка» — одноместные предикаты, которые можно признать элементарными и не подлежащими дальнейшему анализу. Это простые аристотелевские понятия, опирающиеся непосредственно на чувственный опыт; каждый нормальный человек умеет их распознавать, и единственный способ объяснить, что такое «кошка», — это показать кошку.

Понятие «бродячая» — тоже одноместный предикат, но уже более сложный. Рассуждая формально грамматически, можно было бы заключить, что «бродячая» означает «которая бродит». Но это было бы неверным заключением, ибо глагол «бродит» не указывает длительности время провождения, которое он именует. Вполне добропорядочная семейная кошка может выйти на часок побродить по крыше, и это никому не дает права назвать ее «бродячей». Правильнее определить бродячую кошку как кошку, у которой нет хозяина, или же, пользуясь отношением, которое уже входит в наше логическое выражение, как кошку, которая никому не принадлежит. Вот формальная запись этого определения:

«бродячий»(x) ≡ ¬(∃y)(«принадлежит»(x, y)).

(Здесь подразумевается, что х — произвольный объект.)

Обратимся к отношению «принадлежит». Мы ввели его, в некотором смысле, контрабандой, ибо слова «принадлежать» не было в исходной фразе. Но оно подразумевалось и семантический анализ выявил его! Отношение принадлежности передавалось в русской фразе родительным падежом. Здесь мы видим яркий пример неоднозначности и недостаточности синтаксического анализа. Тот же самый родительный падеж, который используется в конструкции «собака вдовы», используется в конструкции «хозяйка собаки», но никак нельзя сказать, что хозяйка «принадлежит» своей собаке. Конструкцию «нос вдовы» можно, конечно, истолковать как «нос, который принадлежит вдове». Но здесь мы уже встречаемся, с семантической неоднозначностью слова «принадлежит», ибо нос, очевидно, принадлежит вдове не так, как принадлежит ей собака.

Чтобы разложить понятие «принадлежит» на элементарные составные части, надо проделать изрядную работу: описать обычаи и законы, связанные с правом собственности. Только в этом случае можно объяснить, что значит «принадлежит». Предикат «вдова» и функции «чин» и «фамилия» (которые мы уже ввели, анализируя понятие «поручик Пшебысский») также связаны с социальной сферой и требуют дальнейшего анализа. Наконец, понятие «загрыз», хотя оно и не связано с социальной сферой и явно проще (ближе к чувственному опыту), чем предыдущие понятия, также могло бы быть подвергнуто логическому анализу. В нем можно выделить, во-первых, элемент завершенности действия, выражающийся глагольной формой, во-вторых, конечный результат — смерть жертвы и, в-третьих, характерную особенность действия — использование зубов.

Логический анализ языка — чрезвычайно интересное направление исследований, но мы не можем останавливаться на нем более фундаментально. Интересующихся отошлем к книге одного из основоположников этого направления Г. Райхенбаха1.

Итог сравнения естественного языка и языка логики подведем следующим образом. Язык логики обладает простым и полностью формализованным синтаксисом. Текст на естественном языке можно путем синтаксического и семантического анализа перевести на язык логики, т. е. сопоставить ему текст на языке логики, имеющий тот же смысл. Семантический анализ естественного текста при переводе может быть более или менее глубоким, т. е. предикаты и функции, входящие в логический текст, могут быть ближе или дальше от непосредственного чувственного и духовного опыта. Существуют такие предикаты и функции, которые разложимы на более элементарные слагающие и которые поэтому нельзя определить иначе, как сославшись на опыт. Такие предикаты и функции мы будем называть первичными.

1 Reihenbuch H. Elements of symbolic logic. New York, 1960.

Глава 7. Язык и мышление


7.1. Что мы знаем о мышлении?


Для правильного подхода к проблеме языка и мышления надо прежде всего четко отделить то, что мы знаем о мышлении, от того, что мы не знаем.

Мы знаем, что мышление — это процесс, происходящий в нервных сетях мозга. Поскольку термин «представление» у нас означает состояние какой-то подсистемы мозга, можно сказать, что мышление — это процесс изменения совокупности представлений. Но в каждый данный момент времени только какая-то (очевидно, небольшая) часть этих представлений доступна, как мы говорим, нашему сознанию. Эти представления можно объединить в одно представление (ибо несколько подсистем составляют в совокупности новую подсистему), которое есть состояние сознания в данный момент. Что такое сознание с точки зрения кибернетической, мы не знаем; есть только ряд отрывочных сведений (в частности, что сознание тесно связано с деятельностью так называемой ретикулярной формации мозга).

Итак, у мышления есть внешняя, проявляющаяся сторона — поток сознательных представлений. Этот поток поддается фиксации и изучению, из него мы пытаемся косвенным образом делать выводы о тех процессах в мозгу, которые не освещаются сознанием. Кое-что о потоке сознания мы знаем довольно твердо. Мы знаем, что в значительной степени он регулируется ассоциациями представлений, которые образуются под воздействием опыта и отражают свойства среды, в которой мы живем. В частности, благодаря ассоциации представлений мы получаем способность в той или иной степени предвидеть будущие ситуации. Мы знаем также, что человек в отличие от животных обладает способностью управлять ассоциированием, которая проявляется как воображение, кодирование, сознательное запоминание. Но мы не знаем конкретного кибернетического механизма этой способности, как, впрочем, и механизма ассоциации представлений. Эти механизмы не даны нам также и субъективно; в потоке сознания мы наблюдаем лишь их проявление, результат их действия. Наконец, субъективно нам дано ощущение свободы выбора своих поступков — свободы воли. Свобода воли проявляется и в мышлении. Мы можем по желанию переключать мысли, думать о том или ином предмете. Кибернетического истолкования свободы воли мы также не знаем, и здесь дело обстоит, пожалуй, хуже всего.

7.2. Языковая деятельность


Среди всех представлений выделенное место в процессе мышления занимают представления о языковых объектах — словах и предложениях. Эти представления всегда (за исключением, конечно, глухонемых) являются единством слуховых и моторных представлений, а у людей, с детства имеющих дело с письменностью, к ним может присоединиться и зрительная компонента. Представляя в уме какое-либо слово, мы мысленно произносим его, слышим и, возможно, видим написанным. Будем для краткости называть их языковыми представлениями. Именно поток языковых представлений называют обычно мышлением. Наличие этого потока является специфической особенностью человека; у животных он отсутствует. Так называемое абстрактное мышление на деле — мышление словами, поток языковых представлений. Достижения мысли, которыми так гордится человечество, были бы невозможны без мышления словами.

Значение языковых представлений состоит в том, что они однозначно связаны со словами и предложениями как материальными элементами материальной системы «язык». Эта последняя система есть совокупность всех слов и предложений, произносимых устно, передаваемых по телефону и радио, написанных или напечатанных на бумаге, закодированных на перфокартах для вычислительных машин и т. д., — одним словом, то, что мы назвали выше нервной системой материального тела культуры. Функционально поток языковых представлений ничем не отличается от последовательности их материальных коррелятов — слов. Внешнюю, наблюдаемую сторону мышления можно описать как деятельность, состоящую в создании некоторых материальных языковых объектов, например, произнесение предложений вслух (к сожалению, эти объекты очень недолговечны) или написание их на бумаге. Такую деятельность мы будем называть языковой.

Есть веские основания именно языковую деятельность считать основной, первичной стороной мышления, а поток языковых представлений — лишь переходным элементом, формой связи между материальными языковыми объектами и совокупностью всех (а не только языковых) представлений. В самом деле, ведь именно языковые объекты являются хранителями и передатчиками информации, а также элементами языковых моделей действительности. Ребенка обучают языковой деятельности подобно тому, как его обучают другим видам деятельности: хождению, стрельбе из лука, забиванию гвоздей. В результате он как бы подключается к языку, использует уже имеющиеся в нем модели и обогащает его новыми. В частности, он может использовать его и некоммуникативно («для себя»), как юноша Уу из племени Ням-Ням, который считал врагов по пальцам. При некоммуникативном использовании языка возможно наличие потока языковых представлений без явной деятельности («я думаю!»), но ведь эти представления возникли и приобрели смысл в результате деятельности с вещественными материальными языковыми объектами! И нередко в процессе размышления мы шепчем отдельные слова и целые фразы, возвращая им материальную оболочку. Первичность вещественной языковой деятельности особенно ясно видна, когда мы имеем дело с научными моделями действительности. Человек может в уме перемножить несколько больших чисел или привести подобные члены в несложном алгебраическом выражении, но это следствие того, что его учили делать это с реальными, написанными символами. Задайте ему задачу посложнее, и он потребует карандаш и бумагу!

Исследованием языковой деятельности занимаются лингвистика и логика. Лингвистику интересует главным образом синтаксис языков (в широком, семиотическом смысле), логику — семантика. Когда синтаксис и семантика сплетаются, невозможно отделить и лингвистику от логики. Правда, традиционная логика провозглашает себя наукой не о языке, а о законах мышления, но это претенциозное заявление не следует принимать слишком всерьез. Из всех разделов знания, изучающих мышление, подход логики самый внешний, поверхностный. Она не исследует реальных механизмов работы мозга, как нейрофизиология, не строит моделей умственной деятельности, как кибернетика, не пытается фиксировать и классифицировать субъективно воспринимаемые душевные состояния, как психология. В качестве объекта изучения она признает лишь четкие, общественно значимые (а не бред сумасшедшего!) мысли. Но такие мысли на самом деле суть не что иное, как языковые представления с общественно значимой семантикой. Логический (семантический) анализ языка приводит к первичным неопределяемым понятиям и на этом кончается; он не выводит нас за пределы языка.

Логика содержит еще теорию доказательства. Если пользоваться языком не в его натуральном виде, а в виде записи, выдержанной в соответствии с каноном исчисления предикатов, то можно установить формальные признаки справедливости умозаключений, формальные правила, пользуясь которыми мы всегда из правильных предпосылок получим правильные заключения. Эти правила (законы логики), которые выражаются также в виде языкового объекта, образуют метасистему по отношению к высказываниям, получающимся в результате применения правил (рис. 7.1). Для теории доказательства предложения являются объектом и результатом работы. Таким образом, вся логика целиком лежит в сфере языковой деятельности. Ее нижний этаж — семантический анализ, верхний — теория доказательства. О теории доказательства речь впереди; пока нас интересует нижний этаж и даже фундамент — связь между языком и работой мозга.

Будем считать, что путем языкового анализа мы можем перевести любую фразу естественного языка на язык логики. Это, конечно, некоторое преувеличение достигнутых к настоящему моменту успехов, но довольно ясно, что в принципе здесь нет ничего невозможного. Логический анализ вскрывает внутреннюю структуру языка, фундаментальные узлы, из которых он состоит. Поэтому поставим себе задачу рассмотреть основные понятия языка логики и уяснить, почему они именно такие и каким образом они связаны с деятельностью мозга. В отличие от предыдущей главы, где речь шла преимущественно о синтаксисе языка, поставим вопрос о его семантике.



Рис. 7.1. Логика как метасистема

7.3. Мозг как «черный ящик»


Сначала попытаемся элементам языка найти непосредственные корреляты в деятельности мозга.

Первое понятие, которое мы ввели при описании языка логики — это высказывания. Что можно ему сопоставить? Напрашивается ответ: ассоциацию представлений. Действительно, язык, как и мозг, — система, служащая для создания моделей действительности. В случае мозга основной самостоятельной единицей, которая может действовать как модель, является ассоциация представлений, в случае языка — высказывание.

Теперь возникает искушение сопоставить объекту представление. На первый взгляд это создает полную и стройную интерпретацию: объект соответствует представлению, отношение между объектами, т. е. высказывание, соответствует отношению между представлениями — ассоциации. Можно взять пример ассоциации «в лесу — волки», который мы приводили в главе 4, и истолковать его следующим образом: «лес» и «волки» — это объекты и в то же время представления, «в лесу — волки» — это высказывание и в то же время ассоциация.

Однако внимательный анализ показывает, что эта интерпретация — большая натяжка, это искусственное внесение языковой структуры в сферу представлений, которая на самом деле такой структурой не обладает. Начать с того, что ассоциация представлений — это тоже представление. Предложению «в лесу — волки» точно так же можно сопоставить представление, как существительным «лес» и «волки». Напомним, что ассоциация между представлениями S1 и S2 есть новое синтетическое представление U (см. рис. 3.7). Верно, что ассоциация представлений есть модель действительности. Но если понимать термин «модель» в широком смысле как некий коррелят действительности, то и любое представление есть модель. Если же понимать модель в узком смысле как коррелят действительности, позволяющий делать предсказания относительно будущих состояний, то не всякая ассоциация будет моделью, а лишь такая, которая отражает временной аспект действительности. Процесс ассоциирования важен потому, что приводит к созданию новой модели, которой ранее не было. Этот процесс допускает вполне строгое логическое определение и может быть обнаружен в опыте подобно тому, как процесс образования системы из подсистем легко определим и обнаружим. Но нельзя определить различия между ассоциацией представлений и представлением, как нельзя установить критерий, по которому отличать системы от подсистем.

Итак, высказывание вызывает представление и объект вызывает представление и наша стройная система рассыпается. Представление оказывается слишком широким и неопределенным понятием, чтобы положить его в основу при изучении семантики языка. О представлении мы знаем только, что оно является обобщенным состоянием мозга, а о структуре мозга мы не знаем почти ничего.

В главе 4 мы определили язык как совокупность объектов Li, каждый из которых является еименм некоторого объекта Ri, называемого его значением. Относительно объекта Ri мы сказали только, что это какие-то явления действительности. Теперь пришло время заниматься уточнением вопроса, что это за явления, т. е. какова семантика естественного языка.

В простейших примерах, которые обычно приводятся для иллюстрации LiRi и которые мы приводили выше (слово «лев» — животное лев и т. п.), объект Ri — это представление об определенном предмете. Вообще язык возникает в результате ассоциации между языковыми и прочими представлениями, поэтому естественно попытаться определить семантику языка через те представления, которые возникают в процессе языковой деятельности. Можно сказать, что значение языкового объекта — это то представление, которое оно вызывает, т. е. фактически то изменение состояния мозга, которое происходит, когда в сознании появляется представление о языковом объекте. Это определение вполне верное, но, увы, не продуктивное, ибо состояния мозга как объективная реальность непосредственно нам недоступны и мы судим о них лишь по их проявлению в действиях человека.

Поэтому встанем на другой путь. Будем рассматривать мозг как «черный ящик», т. е., не пытаясь постичь его устройство, исследовать только наблюдаемые проявления его деятельности. Нас интересует семантика языка, т. е. связь (ассоциации) между языковыми представлениями и всеми прочими представлениями (рис. 7.2). Но, поскольку представления находятся внутри «черного ящика», будем опираться только на соответствующие им входные данные, т. е. языковые объекты, и всю остальную часть действительности, которую мы будем для краткости называть неязыковой. Таков вход «черного ящика». Его выход, очевидно, это наблюдаемые действия человека.



Рис. 7.2. Мозг как «черный ящик»

Так как система действий весьма сложна, мы не сдвинемся с места в попытках изучения семантики, если не выберем какой-то простой тип действия в качестве эталона. Очевидно, должно быть не менее двух вариантов действия, чтобы оно несло какую-то информацию. Пусть их будет ровно два. Назовем их первым и вторым эталонными действиями. Элементарный акт по изучению семантики оформим следующим образом. Человеку, воспринимающему определенную неязыковую действительность, будем предъявлять языковые объекты, а он пусть совершает в качестве реакции на предъявление одно из двух эталонных действий.

7.4. Подтверждение и отрицание


Эту схему мы измыслили чисто теоретически как простейший метод определения семантики языка в условиях, когда мозг представляется черным ящиком. И вот оказывается, что эта схема действительно существует в языковой деятельности, возникая стихийно на ранних этапах развития языка! У всех народов, во всех известных нам языках мы находим два эталонных действия, которые называются подтверждением и отрицанием. О глубокой древности этих действий свидетельствует то, что у подавляющего большинства народов (возможно, у всех) они выражаются не только в словах, но и в жестах. Если мы чуть-чуть приоткроем крышку черного ящика — в той степени, как это отражено на рис. 7.2, то сможем определить подтверждение как действие, которое производится, когда языковый объект и действительность находятся в отношении имязначение (т. е. существует нужная ассоциация между языковыми и неязыковыми представлениями), а отрицание как действие, совершаемое, когда такого отношения нет. Но человек, когда он учится правильно употреблять положительные и отрицательные слова и жесты, разумеется, ничего не знает о представлениях, ассоциациях и т. п. Просто его сначала учат говорить «кошка», «собака» и т. д., указывая на соответствующие предметы, а потом учат совершать подтверждающие действия, когда говорят «это кошка», указывая на кошку, и отрицающее действие, когда говорят «это кошка», указывая на собаку. И на первом и на втором этапе человек обучается правильной языковой деятельности, опираясь на способность своего мозга к распознаванию и ассоциированию, но ничего не зная о механизмах мозга, т. е. используя его как черный ящик.

Последнее замечание объясняет, почему нет ничего удивительного в том, что схема эталонных действий прочно вошла в языковую практику. Мозг человека — черный ящик и для него самого, и для других членов общества. Отсюда потребность в общественно значимом способе уточнения семантики, которая проявляется, едва язык достигает минимального уровня сложности.

Эталонные действия подтверждения и отрицания относятся не к действительности самой по себе, подобно первичным языковым объектам, а к связи между первичными языковыми объектами и действительностью. Они являются элементами метасистемы, по отношению к системе первичных языковых объектов. Введение в общественную практику действий подтверждения и отрицания — это начало того метасистемного перехода в рамках языковой деятельности, следующими этапами которого является появление языка логики и теории умозаключения. Подтверждения и отрицания появляются в развитии человеческой культуры весьма рано, но все же не столь рано, чтобы можно было найти их прообраз в действиях животных. Для первичных языковых объектов такие прообразы существуют, как мы знаем, в виде сигналов у животных. Среди этих сигналов бывают такие, которые можно описать как утвердительные и отрицательные, но они не имеют ничего общего с семантическими действиями подтверждения и отрицания, которые направлены на сами сигналы, закладывают основы метасистемы. Здесь мы видим еще одно проявление закона разрастания предпоследнего уровня. Огромный рост числа первичных языковых объектов (сигналов), который обнаруживается в человеческом обществе, начинается одновременно с зарождением метауровня.

7.5. Феноменологическое определение семантики


Теперь нам нетрудно будет интерпретировать с точки зрения феноменологического («черноящичного») подхода основные понятия логики. Высказывание — это, очевидно, такой языковый объект, к которому относятся действия подтверждения и отрицания. Семантика языка представляется внешнему наблюдателю как функция двух аргументов — высказывания и действительного состояния вещей, принимающая одно из двух истинных значений: «верно» («да», «истина») и «неверно» («нет», «ложь»). Значение этой функции вырабатывается черным ящиком — мозгом человека, владеющего данным языком. Как это происходит, внешний наблюдатель не знает.

Высказывание — основная единица языка. Рассматривая язык как систему, мы должны поставить вопрос: как можно строить высказывание — систему из высказываний — подсистем. Так мы приходим к введению логических связок, о которых говорилось в предыдущей главе.

Реальная действительность воспринимается человеком через посредство органов чувств, она предстает перед ним как совокупность состояний рецепторов — ситуация. Если бы человек не умел управлять своими органами чувств и концентрировать внимание на каких-то частях ситуации, т. е. если бы ситуация всегда являлась для него чем-то целым и полностью заданным извне, то вся логика ограничивалась бы, вероятно, исчислением высказываний. Но на самом деле человек управляет органами чувств, например, может фиксировать зрение на том или ином предмете. Поэтому ситуация — это не просто действительность, а действительность с указателем внимания, т. е. с выделенной областью (определенной приблизительно), о которой мы говорим, что концентрируем на ней внимание.

У понятия внимание есть и психологический аспект, но мы постараемся обойтись без него. Так как, глядя на человека со стороны, можно определить, на что он смотрит (или что ощущает, нюхает и т. п.), действительность с указанием внимания можно рассматривать как аргумент функции при «.черноящичном» подходе. Чтобы уточнить положение выделенной области, люди прибегают к жестам (указывают пальцем) или к словесным пояснениям. Результат в обоих случаях одинаков. Если вы скажете: «Я имею в виду толстую книгу, которую держит в руках девушка в розовом платье», то ваш собеседник будет переводить взгляд, пока он не примет необходимого направления.

Надо учесть и еще один аспект входных данных семантики — временной аспект. Если бы реакция мозга определялась только ситуацией в один определенный момент времени, без связи с близкими по времени ситуациями, то опять-таки логика ограничивалась бы, вероятно, одним исчислением высказываний. Однако в действительности мозг всегда хранит память о ряде прошедших ситуаций, т. е. реакция мозга — и, в частности, эталонное действие — есть всегда функция киноленты ситуаций. Мы часто не отдаем себе в этом отчета, ибо в окружающей нас среде существуют предметы, обнаруживающие относительную неизменность, и когда мы концентрируем внимание на неизменном предмете, нам кажется, что мы имеем дело не с кинолентой, а с одним кадром. На самом же деле, анализ понятия предмет, проведенный выше, показывает, что временной аспект играет в нем решающую роль. Теперь, когда мы ввели понятие указателя внимания, мы можем определить предмет как киноленту ситуаций с одной непрерывной линией указателя внимания.

До какой степени мы склонны игнорировать динамический аспект восприятия, видно из той ситуации, которую мы обычно описываем как наличие двух или нескольких выделенных предметов. Нам кажется, что мы воспринимаем каждый предмет как отдельный и вместе с тем выделяем все предметы, концентрируя на них внимание одновременно. Однако простейший психологический самоанализ убеждает, что на самом деле в такой ситуации внимание совершает быстрые перебежки с одного предмета на другой. На киноленте ситуаций линия указателя внимания будет разрывна, а именно такова, что ее можно легко дополнить до нескольких (по числу предметов) непрерывных линий (рис. 7.3).



Рис. 7.3. Разрывная линия внимания, которая может быть дополнена до двух непрерывных линий

Мы подошли вплотную к определению понятия объекта в логике. Мы установили, что «неязыковая действительность» на рис. 7.2, которая подается на вход черного ящика, всегда частично расчленена, размечена в пространстве и времени. Ее можно представить как киноленту, на которой прочерчена линия перемещения указателя внимания. Причем оказывается, что эта-линия может быть разрывной, но допускать дополнение до нескольких непрерывных линий. Вот эти непрерывные линии и суть объекты.

Таким образом, объект логики полностью освобожден от предметного содержания, оно переносится в высказывания о данном объекте. Объект — это идентификатор, обладающий только свойством быть тождественным самому себе и обозначающий непрерывную линию внимания. Это положение было уже достаточно освещено в предыдущей главе.

Когда вместо нерасчлененной действительности мы подаем на вход черного ящика действительность, расчлененную на объекты, высказывание становится зависимым от способа расчленения, т. е. от объектов, которые мы выделяем: оно превращается в предикат.

7.6. Логическое понятие


Мы почти закончили анализ основ логики с той точки зрения, которая рассматривает мозг как черный ящик. Осталось только определить общее понятие «логическое понятие». Определение это просто: понятие — это предикат или логическая связка. Основание таково: предикаты и связки — это те базисные функциональные узлы, которые мы обнаруживаем в языковой деятельности. Понятие функции в том смысле, как мы его определили выше, можно не возводить в ранг основного логического понятия, так как оно, как мы видели, выразимо через предикаты и связки. Но в более широком смысле и логические связки, и предикаты являются функциями, т. е. определенным способом сопоставления значений (истинных в данном случае) аргументам. Поэтому можно сказать, что логическое понятие — это функция, аргументы которой — языковые объекты и ситуации, а значения — языковые объекты. Результатом логического анализа языка является разложение языковой деятельности на однотипные функциональные элементы — связки и предикаты.

Каждое логическое понятие определяется, во-первых, своим материальным носителем — языковым объектом (в большинстве словом или словосочетанием) и, во-вторых, способом использования этого объекта в общественной языковой деятельности. Второй пункт дает возможность уточнить первый: слова «кошка», «кошка», «кошка», «КОШКА» — это разные языковые объекты (первые два отличаются положением в пространстве, третье и четвертое, вдобавок, шрифтом), но мы считаем их носителями одного понятия, ибо в языковой деятельности они выступают как неразличимые. То же с известными ограничениями (но только с ограничениями!) можно сказать о слове «die Katze» немецкого языка, ибо оно используется аналогично (но только аналогично!) слову «кошка» в русском языке.

Понятия языка образуют иерархическую систему. В некоторых специализированных языках (подъязыках), используемых точными науками, эта иерархия определена совершенно явно и строго. Понятия, расположенные выше в иерархии, приобретают смысл логических определений через понятия более низкого уровня, т. е. указывается, каким образом, умея определять истинностные значения предикатов более низкого уровня, можно определить значение предиката более высокого уровня. В естественных языках строгой иерархии нет, но есть иерархия приблизительная. Это значит, что мы можем оценить «степень удаленности» понятия от непосредственных данных опыта путем логического анализа и расщепления сложных понятий на более простые компоненты; степень удаленности понятия от непосредственного опыта можно отождествить с высотой положения в иерархии. Так как расщепление на компоненты неоднозначно, сам способ расщепления не полностью формализован и, наконец, никто еще не выполнял такой работы для всего языка, оценка положения в иерархии приблизительна. Пожалуй, наиболее твердо установленным фактором является первичность (принадлежность к нижнему уровню иерархии) ряда предикатов, которые никак не поддаются расщеплению.

Между понятиями языка существуют многочисленные перекрестные связи, которые задаются множеством всех истинных высказываний, в которые входят рассматриваемые понятия. Язык — это система, и понятия его имеют смысл только как элементы системы. Значение слова определяется тем, как это слово используется в языковой деятельности. Каждое слово как бы несет на себе отпечаток всех предложений, в которые оно когда-либо входило, оно элемент системы. В традиционной логике, когда говорят о понятиях, указывают на две функции понятия: служить элементом суждения, т. е. способом формирования мысли, и в то же время концентрировать в себе уже имеющиеся мысли, знания о предмете. Эта двойственность является следствием системного характера понятия. Языковый объект (слово), выражающий понятие, используется как элемент для построения модели действительности и ассоциируется функционально, т. е. в языковой действительности (а следовательно, и в нашем воображении), со всеми моделями, в которых он участвует. Поэтому, хотя натренированная собака и отличает квадрат от круга, нельзя сказать, что она владеет понятием «квадрат»: это слово включает в себя множество вещей, о которых собака не имеет ни малейшего представления. Поэтому же наиболее точный перевод с одного языка на другой — это далеко не всегда буквальный перевод: необходимо учесть различие систем. Строго говоря, абсолютно точный перевод вообще невозможен (за исключением, быть может, высказываний, содержащих лишь первичные понятия, доступные собаке).

7.7. Структурный подход


Логическое понятие мы определяем как элемент функционирования языковой системы. Теперь мы попытаемся дать общее определение кибернетического понятия «понятие», опираясь не на функциональный, а на структурный подход.

Рассмотрим снова понятие «внутри» в приложении к распознавателю картинок. Как мы стали бы строить систему, имеющую понятие «внутри»? Очевидно, сначала мы должны были бы сконструировать классификаторы для понятий «пятно» и «контур». Напомним, что классификатор — это кибернетическая система, которая распознает принадлежность входного состояния (ситуации) к определенному множеству (аристотелевскому понятию) и перерабатывает его в выходное состояние, отражающее важнейшие характеристики ситуации. Например, классификатор пятна распознает наличие пятна и фиксирует координаты точек, ограничивающие его. На рис. 7.4 мы обозначили П1, П2,... и K1, K2,... классификаторы пятен и контуров соответственно. Эти классификаторы образуют первый уровень иерархии, ибо их вход — состояние рецепторов. Они переводят ситуации с языка светящихся точек на язык пятен и контуров.

Построив первый уровень, мы принимаемся за второй. Мы конструируем классификатор В (см. рис. 7.4), на вход которого подается выход одного классификатора пятна, пусть это будет Пi, и одного классификатора контура Кj. Выходных состояний у классификатора В должно быть всего два: одно («да») наступает, когда пятно, фиксируемое классификатором Пi, лежит внутри контура, фиксируемого классификатором Кj, а второе («нет») — в противном случае. Нам хотелось бы, чтобы классификатор В можно было бы применить к любой паре (Пi, Кj). Но было бы безумием делать столько экземпляров В, сколько есть пар (Пi, Кj)! Поэтому нам необходим какой-то переключатель, с помощью которого на одно-единственное устройство В можно было бы подать информацию из разных точек системы. Так как бессмысленно подавать на классификатор информацию непосредственно от рецепторов или из каких-либо других неподходящих точек, переключатель следует сконструировать таким образом, чтобы он мог подать информацию от любой из пар (Пi, Кj) и никак иначе.


П — пятно, К — контур, В — внутри, ВВ — войти внутри.



Рис. 7.4. Иерархия классификаторов

Классификатор В расположен на втором уровне системы в целом. Возможно, что он будет использован в качестве входа для третьего уровня. Допустим, например, что от системы требуется распознать понятие «войти в...» Это понятие динамическое, оно связано с временем. В качестве входа здесь надо рассматривать не одну ситуацию, а их последовательность, то, что было выше названо кинолентой ситуаций. При наличии такой киноленты мы говорим, что пятно «вошло в» контур, если сначала оно было вне контура, а потом стало внутри него. Очевидно, распознаватель понятия «войти в» (на рис. 7.4 он обозначен ВВ ) будет на своем входе требовать выхода от распознавателя В или нескольких распознавателей В, относящихся к различным кадрам киноленты (в первом случае он должен иметь устройство для хранения последовательности ответов «да» или «нет»).

Получилась иерархия классификаторов. Это для нас не ново, мы уже рассматривали иерархию классификаторов в главе 2. Но в главе 2 мы ограничивались аристотелевскими понятиями, при этом иерархия классификаторов выступала только как средство распознавания понятий и не входила в определение понятия «понятие». Понятие «понятие» (аристотелевское) мы определили независимо от устройства иерархии классификаторов как некоторое множество ситуаций, иначе говоря, как функцию, принимающую истинное значение «верно» на данном множестве ситуаций.

Теперь же, ища кибернетическое истолкование таких понятий, как «внутри», мы видим, что не можем определить общее понятие «понятие», опираясь только на уровень рецепторов, а можем определить его лишь как элемент системы понятий. Понятию «внутри» соответствует на рис. 7.4 классификатор В не только как устройство, перерабатывающее данный вход в данный выход, но и как подсистема всей системы распознавания, т. е. как элемент, связанный определенным образом с другими элементами системы (в данном случае получивший входную информацию от одного классификатора типа П и одного классификатора типа К).

Мы построили кибернетическую модель понятия «внутри». Но как связана эта модель с действительностью? Какое отношение она имеет к настоящему понятию «внутри», которое проявляется в языке и представляется нам одним из элементов нашего мышления? Можно ли утверждать, что в мозгу есть классификатор, в точности соответствующий этому понятию? Хотя общий вид схемы на рис. 7.4 — наличие рецепторов и классификаторов — отражает нейрофизиологические данные, конкретные функции классификаторов и взаимосвязь между ними отражают данные логики. Поэтому наша схема — не модель устройства, мозга, а модель функционирования языковой системы, точнее структурная схема устройства, которое могло бы выполнять функции, обнаруживаемые в языковой деятельности. В этом устройстве классификаторы выполняют функции, описываемые логическими понятиями, а переключатели (на схеме не показаны, но в тексте упоминались) фиксируют область определения понятий.

class="book">Схему на рис. 7.4 можно воплотить в реальном кибернетическом устройстве, для которого источником информации будут светящиеся точки экрана. Но, если такое устройство будет работать даже очень хорошо, это еще не дает нам, строго говоря, права считать его моделью устройства мозга. Быть может, то расчленение нервных сетей на классификаторы, которое подсказывает рис. 7.4, или аналогичные схемы, взятые из функционирования языка, совершенно не отражают истинного устройства мозга!

7.8. Две системы


Мы имеем перед собой две кибернетические системы. Первая система — человеческий мозг. Ее функционирование — индивидуальное человеческое мышление. Ее задача — координация действий отдельных частей организма в целях сохранения его существования. Эта задача решается, в частности, путем создания моделей действительности, материальным телом которых являются нервные сети, и которые поэтому мы назовем нейронными моделями. Об устройстве мозга мы знаем, что оно основано на иерархическом принципе. Структурные элементы этой иерархии мы называем классификаторами. Функции классификаторов с учетом системного аспекта, т.е. их взаимосвязанности, — это отдельные понятия (в кибернетическом смысле слова, т. е. просто по кибернетическому определению понятия «понятие»), которые можно выделить в функционировании мозга как целого. Назовем их нейронными понятиями.

Вторая система — язык. Ее функционирование — общественная языковая деятельность. Ее задача — координация действий отдельных членов общества в целях сохранения его существования. Эта задача решается, в частности, путем создания моделей действительности, материальным телом которых являются языковые объекты и которые мы поэтому назовем языковыми моделями. Подобно мозгу язык устроен иерархически. Функциональные элементы этой иерархической системы суть логические (языковые)понятия.

Эти системы отнюдь не являются независимыми. Языковая система приводится в движение человеческим мозгом. Без мозга язык мертв. С другой стороны, и мозг находится под сильнейшим воздействием языка. Теперь проблему можно сформулировать так: какова связь между нейронными и логическими понятиями?

Обозрим источники информации об этих системах понятий. Логические понятия целиком у нас на виду; феноменологически мы знаем о них очень много, чуть ли не все, что только можно знать. О нейронных понятиях мы знаем очень мало. Нейрофизиологические исследования дают некоторую информацию только о самых нижних уровнях иерархии. О верхних уровнях никакой независимой от языка информации у нас нет. Но мы знаем, что язык — порождение и в известном смысле продолжение мозга. Поэтому между верхними этажами нейронных понятий и нижними этажами логических понятий должна существовать тесная связь. В конце концов, взялись же откуда-то логические понятия! Логическое понятие предмета, несомненно, имеет весьма определенный нейронный коррелят, т. е. задолго до появления языка и независимо от него мир представлялся людям (и животным) в виде совокупности предметов. Из легкости, с которой люди и животные распознают некоторые отношения между предметами (в частности, трансформации во времени), можно заключить, что и для отношений между небольшим числом предметов есть специальный нейронный аппарат. Никак нельзя признать случайным, что в языках всех народов есть слова, обозначающие предметы, которые окружают человека, и простейшие отношения между ними типа отношения «внутри», которое мы использовали выше в качестве примера. Поэтому рис. 7.4 все-таки можно с известной вероятностью считать моделью устройства мозга!

Говоря о нейронных моделях и понятиях, мы имеем в виду не только врожденную основу этих понятий, но и те конкретные понятия, которые образуются на этой основе под действием потока ощущений. У высших животных и человека образование новых понятий в результате ассоциации представлений играет, как известно, огромную роль. Оно начинается с момента появления на свет и особенно интенсивно идет в молодом возрасте, образуя понятие «мясо», которое нарастает на врожденный понятийный скелет. Это обстоятельство вносит новый элемент в проблему взаимоотношения нейронных и логических понятий. Те начальные нейронные понятия, которые образуются у ребенка до того, как он начинает понимать речь и говорить, можно считать независимыми от языка и рассматривать логические понятия как их отражение. Но более сложные понятия образуются у ребенка под непосредственным и сильнейшим влиянием языка. Ассоциации представлений, лежащие в основе этих понятий, диктуются общественной языковой деятельностью, они в значительной степени навязываются ребенку взрослым в процессе обучения языку. Поэтому, анализируя взаимоотношения языковой деятельности и мышления и пытаясь оценить, сколь хорошо язык продолжает мозг, нельзя рассматривать нейронные понятия как нечто данное и сравнивать с ними логические понятия того или иного языка. Учитывая обратное влияние языковой деятельности на мышление, вопрос можно ставить только так: какие могли бы быть нейронные и логические понятия, если бы развитие языка пошло по тому или иному пути?

7.9. Понятийные сваи


Информационная пропускная способность мозга несравненно больше, чем языка (в процессе речи). Язык не отражает всего богатства ощущений и сознательных представлений. Известно, например, что в древнегреческом языке одно слово обозначало и синий, и зеленый цвет, следовательно, вместо наших двух понятий у них было одно. Значит ли это, что они иначе воспринимали цвета? Конечно, нет. Человеческий глаз различает сотни цветовых оттенков, а слов для их обозначения существует совсем немного.

Первичные логические понятия можно сравнивать с колышками или, лучше, сваями, которые забивают в грунт нейронных понятий. Они проникают на небольшую глубину и занимают лишь небольшую часть площади. На этих сваях воздвигается этаж за этажом, целое здание — иерархия понятий языка. Мы гордимся зданием, потому что оно содержит понятия, которых не было в помине на уровне почвы — среди нейронных понятий. Но хорошо ли забиты сваи? Нельзя ли было забить их в других точках и не поздно ли еще забить дополнительные сваи? Как это повлияет на здание? Иначе говоря, является ли выбор первичных предикатов существенным для развития языка, культуры, мышления? Мы редко задаем себе этот вопрос, потому что не видим чистого грунта: он закрыт зданием языка. Но если спуститься под пол можно прикоснуться к первичному грунту и пошарить в темноте руками. При этом можно еще раз убедиться, как много грунта не затронуто сваями (особенно в сфере духовного опыта) и вспомнить слова Тютчева:

«Мысль изреченная есть ложь».

Из этого сравнения возникает еще один вопрос: сколь хороша архитектура здания? Является ли она единственно возможной, а если нет, то в какой степени выбор того или иного архитектурного проекта влияет на функционирование здания, на возможность его расширения, перестройки и т. п.? Иначе говоря, является ли грамматика языка (по крайней мере, в своих важнейших, принципиальных чертах) чем-то внешним и малозначительным для мышления или же она существенно влияет на мышление и направляет его развитие?

Оба эти вопроса — о влиянии выбора первичных предикатов и грамматики — сформулированы нами в виде, требующем ответа да или нет, лишь в целях ясности изложения. Дело, конечно, не в том, чтобы дать на них утвердительный или отрицательный ответ — он, в конце концов, всегда содержит элемент условности. Факт, что какое-то влияние есть, не вызывает сомнения, — задача в том, чтобы исследовать реальные данные о влиянии языка на мышление.

7.10. Концепция Сепира-Уорфа


Очень интересны с этой точки зрения работы двух американских лингвистов — Э. Сепира и Б. Уорфа. О воззрениях Сепира дает представление следующая цитата, взятая в качестве эпиграфа Б. Уорфом к его статье «Отношение норм поведения и мышления к языку»1:

Люди живут не только в объективном мире вещей и не только в мире общественной деятельности, как это обычно полагают; они в значительной мере находятся под влиянием того конкретного языка, который является средством общения для данного общества. Было бы ошибочным полагать, что мы можем полностью осознать действительность, не прибегая к помощи языка, или что язык является побочным средством разрешения некоторых частных проблем общения и мышления. На самом же деле «реальный мир» в значительной степени бессознательно строится на основе языковых норм данной группы... Мы видим, слышим и воспринимаем так или иначе те или иные явления главным образом благодаря тому, что языковые нормы нашего общества предлагают данную форму выражения.

Б. Уорф, принимая за основу эту концепцию, конкретизирует ее в своих исследованиях некоторых индейских языков и культур и их сравнении с европейскими языками и культурой. Мы изложим некоторые наблюдения и мысли Уорфа о таких логических категориях, как пространство и время, форма и содержание2.

Уорф замечает, что для правильной оценки значений таких категорий необходимо, прежде всего, отрешиться от тех воззрений на взаимоотношения языка и мышления, которые обычно считаются неотъемлемой частью «здравого смысла» и которые Уорф называет естественной логикой. Он пишет:

Естественная логика утверждает, что речь — это лишь внешний процесс, связанный только с сообщением мыслей, но не с их формированием. Считается, что речь, т. е. использование языка, лишь «выражает» то, что уже в основных чертах сложилось без помощи языка. Формирование мысли — это якобы самостоятельный процесс, называемый мышлением или мыслью и никак не связанный с природой отдельных конкретных языков. Грамматика языка — это лишь совокупность общепринятых традиционных правил, но использование языка подчиняется якобы не столько им, сколько правильному, рациональному или логическому мышлению.

Мысль, согласно этой системе взглядов, зависит не от грамматики, а от законов логики и мышления, будто бы одинаковых для всех обитателей Вселенной и отражающих рациональное начало, которое может быть обнаружено всеми разумными людьми независимо друг от друга, безразлично, говорят ли они на китайском языке или на языке чоктав. У нас принято считать, что математические формулы и постулаты формальной логики имеют дело как раз с подобными явлениями, т. е. со сферой и законами чистого мышления. Естественная логика утверждает, что различные языки — это в основном параллельные способы выражения одного и того же понятийного содержания, что поэтому они различаются лишь незначительными деталями, которые только кажутся важными. По этой теории — математика, символическая логика, философия и т. п. — это не особые ответвления языка, но системы, противостоящие языку и имеющие дело непосредственно с областью чистого мышления.

Эта концепция укоренилась так глубоко, что мы даже не осознаем, что она может быть подвергнута критическому анализу. Так, мы осознаем, что дышим воздухом, только когда его нам начинает не хватать. Уорф приводит еще одну иллюстрацию. Предположим, что какой-то народ вследствие определенного дефекта зрения способен воспринимать только синий цвет. В таком случае его люди вряд ли смогут сформулировать ту мысль, что они видят лишь синий цвет. Сам термин синий будет лишен для них того смысла, который вкладываем в него мы, противопоставляя его красному, желтому и т. д. Подобно этому подавляющее большинство людей, говоря или, во всяком случае, думая на одном языке, просто лишены возможности осознать те ограничения, которые он накладывает, и тот элемент произвола, который он содержит. Они лишены возможности сравнения, поэтому ограничения и произвол родного языка кажутся им чем-то универсальным и безусловным, лежащим в самой природе вещей. Когда лингвисты критически исследовали много языков, весьма различающихся по своему строю, они столкнулись с нарушением тех закономерностей, которые ранее считались универсальными. Оказалось, что грамматика — не просто инструмент для воспроизведения мысли, но программа и руководство мыслительной деятельности индивидуума. Уорф пишет:

Мы расчленяем природу в направлении, подсказанном нашим родным языком. Мы выделяем в мире явлений те или иные категории и типы совсем не потому, что они (эти категории и типы) самоочевидны; например, мир предстает перед нами как калейдоскопический поток впечатлений, который должен быть организован нашим сознанием, а это значит в основном — языковой системой, хранящейся в нашем сознании.

Здесь следует заметить, что в последней части приведенной цитаты, где говорится об организации потока впечатлений, Уорф явно увлекается и неверно описывает разделение труда между нейронной и языковой системами, приписывая организацию впечатлений «в основном» языковой системе. В действительности, конечно, огромная часть работы по первичной организации впечатлений выполняется на нейронном уровне, и язык получает уже не сырье, а совершенно определенным способом обработанный полуфабрикат. Здесь Уорф совершает ту же самую ошибку по отношению к нейронной системе, которую, как он справедливо указывает, совершает «естественная логика» по отношению к языковой системе. Он недооценивает нейронную систему из-за того, что она одинакова у всех людей и никакой другой нейронной системы мы не знаем.

К выводу о важности языковой системы для организации впечатлений трудно прийти, если ограничиться сравнением лишь современных европейских языков да еще, возможно, латинского и древнегреческого. Системы этих языков в своих существенных чертах совпадают, что служит аргументом в пользу концепции естественной логики. Но это совпадение объясняется только тем, что европейские языки (за небольшим исключением) принадлежат к одной семье индоевропейских языков, построены в основном по одному и тому же плану и имеют общий исторический корень. Кроме того, они в течение долгого времени участвовали в создании общей культуры и культура эта во многом, и особенно в интеллектуальной области, развилась под определяющим влиянием двух индоевропейских языков: греческого и латыни. Чтобы определить ширину диапазона возможных грамматик, надо обратиться к более экзотическому языковому материалу. Для Уорфа таким материалом служат языки американских индейцев: хопи, шауни и др. По сравнению с ними европейские языки так близки друг к другу, что Уорф объединяет их для удобства сопоставления в один «среднеевропейский стандарт» языка.

7.11. Субстанция


Среднеевропейский стандарт имеет два вида существительных, обозначающих материальные части окружающего нас мира. Существительные первой группы: «a tree — дерево», «a stick — палка», «a man — мужчина» и т. п. — относятся к отдельным предметам, имеющим определенную форму. Существительные второй группы: «water — вода», «milk — молоко», «meat — мясо» — обозначают однородную массу, не имеющую определенных границ. Между этими группами существует весьма четкое грамматическое различие: у существительных, обозначающих вещества, нет множественного числа; в английском языке перед ними опускается артикль, во французском языке ставится партитивный артикль. Однако если вдуматься в смысл различия между этими двумя видами предметов, то станет ясно, что в действительности они не отличаются друг от друга так четко, как в языке, а пожалуй, и вообще ничем не отличаются. И вода, и молоко, и мясо встречаются в природе только в виде больших или малых тел определенной формы. Различие между двумя группами существительных навязывается нам языком и часто оказывается столь неудобным, что приходится пользоваться такими конструкциями, как «кусок мяса» или «стакан воды», хотя слово «кусок» не указывает никакой определенной формы, а слово «стакан» хотя и предполагает определенную форму, но тем самым вносит только путаницу, ибо, говоря «стакан воды», мы имеем в виду лишь количество воды, но не форму ее в сосуде. Наш язык нисколько не потерял бы в изобразительной силе, если бы слово «мясо» обозначало кусок мяса, слово «вода» — некоторое количество воды.

Именно так обстоит дело в языке хопи. Все существительные обозначают у них отдельные предметы и имеют единственное и множественное число. Существительные, которые мы переводим как существительные второй группы (вещества) относятся к телам, у которых форма и размеры не отсутствуют, а просто не указываются, игнорируются в процессе абстракции подобно тому, как в понятии « камень» отсутствует указание на форму, в понятии «шар» — на размер.

Поэтому понятие субстанции как чего-то, имеющего материальное бытие и в то же время принципиально не имеющего никакой формы, не могло бы, по-видимому, возникнуть у хопи и быть понятым человеком, говорящим только на языке хопи. В европейской культуре понятие субстанции возникает как обобщение понятий, выражаемых существительными второй группы, в то время как обобщение понятий, выражаемых существительными первой группы, приводит к понятию предмета. Для хопи, в языке которого деления существительных на две группы нет, возможно только одно обобщение и оно, конечно, приводит к понятию предмета (или тела), ибо можно отвлечься от формы наблюдаемого материального объекта, но нельзя сказать, что она не существует. Мысленно расчленение всего сущего на некую нематериальную форму и материальное, но бесформенное содержание (субстанцию), столь характерное для традиционной европейской философии, покажется, вероятно, хопи надуманным и ненужным. И он будет прав! (Это уже замечание не Уорфа, а автора настоящей книги.) Понятие субстанции, игравшее такую важную роль в спорах средневековых схоластов, совершенно исчезло из современной науки.

7.12. Объективизация времени


Теперь мы остановимся еще на одном интересном отличии языка хопи от среднеевропейского стандарта. В европейских языках множественное число и количественные числительные применяются в двух случаях: 1) когда они обозначают совокупность предметов, образующих реальную группу в пространстве, и 2) для классификации событий по времени, когда количественное числительное не соответствует никакой реальной совокупности. Мы говорим «ten men — десять человек» и «ten days — десять дней». Десять человек мы можем себе представить как реальную группу, например десять человек на углу улицы. Но десять дней мы не представляем в виде совокупности группы. Если это и группа, то воображаемая и состоящая не из «дней», ибо день не есть предмет, а из каких-либо предметов, которые связаны с днями лишь условно, например из листков календаря или отрезков на чертеже. Таким образом, временная последовательность и пространственная совокупность передаются у нас одним и тем же языковым аппаратом, и нам кажется, что это сходство лежит в самой природе вещей. В действительности же это совсем не так. Отношения «быть позже» и «быть расположенным вблизи» субъективно не имеют между собой ничего общего. Уподобление временной последовательности пространственной совокупности дано нам не в восприятии, а в языке. Это подтверждается существованием языков, в которых такое уподобление отсутствует.

В языке хопи множественное число и количественные числительные употребляются только для обозначения предметов, которые могут образовать реальную группу. Выражение «десять дней» не употребляется. Вместо «they stayed ten days — они пробыли десять дней» хопи скажет: «они уехали после десятого дня». Сказать «десять дней больше, чем девять дней» нельзя, надо сказать «десятый день позже девятого».

Европейское представление о времени Уорф называет объективизированным, ибо субъективное восприятие времени как чего-то «становящегося все более и более поздним» оно мысленно превращает в какие-то объективно (или, лучше сказать, объектно) данные, расположенные во внешнем пространстве предметы. Это представление диктуется нашей языковой системой, которая для выражения отношения «позже-раньше» пользуется теми же самыми числами, которые измеряют пространственно данные количества, и теми же самыми словами, которые обозначают пространственные отношения. Это и есть объективизация. Такие термины, как «summer — лето», «September — сентябрь», «morning — утро», «sunset — заход солнца» являются у нас существительными, как и слова, обозначающие реальные предметы. Мы говорим «at sunset — на заходе солнца», так же как «at a corner — на углу», a «in September — в сентябре», как «in London — в Лондоне».

В языке хопи все временные термины — лето, утро и т. п. — представляют собой не существительные, а особые формы наречий, если употреблять терминологию среднеевропейского стандарта. Это — особая часть речи, отличающаяся от существительных, глаголов и даже от других наречий в хопи. Они не употребляются ни как подлежащие, ни как дополнения, ни в какой-либо другой функции существительного. Переводить их следует, конечно, как «летом», «утром» и т. д., но они не являются производными от каких-либо существительных. Объективизация времени полностью отсутствует.

Само понятие «время» в европейской культуре есть результат объективизации отношения раньше-позже в сочетании с представлением о веществе, субстанции. Мы создаем в своем воображении несуществующие предметы — год, день, секунда, а вещество, из которого они состоят, называем временем. Мы говорим «мало времени», «много времени» и просим дать час времени, как если бы мы просили литр молока. У хопи нет основы для термина с таким значением.

Трехвременная система глагола в среднеевропейском стандарте языка непосредственно отражает объективизацию времени. Время представляется бесконечной прямой, по которой передвигается (обычно слева направо) точка. Точка — это настоящее, левее ее — прошлое, правее — будущее. В языке хопи, как и можно было предполагать, все обстоит иначе. Глаголы здесь не имеют времен, подобных европейским. Глагольные формы отражают источник информации и ее характер. И это точнее соответствует действительности, чем трехвременная система. Ведь когда мы говорим «я завтра пойду в кино», это отражает не то, что на самом деле будет, а только наше намерение пойти в кино, намерение, которое существует сейчас и может перемениться в любую минуту. То же относится и к прошедшему времени.

7.13. Лингвистическая относительность


Из всего сказанного вовсе не следует, что объективизация времени — это зло, от которого надо отказаться и перейти на язык типа хопи. Напротив, с объективизацией времени связаны важнейшие черты европейской культуры, которые обеспечили ей столь выдающееся место: историчность (интерес к прошлому, датировка, летопись) и развитие точных наук. Наука в том виде, который нам пока только и известен, не могла бы существовать без объективизации времени. Сопоставление временных отношений пространственным отношениям и следующий за этим шаг — измерение времени — это конструирование определенной модели чувственного опыта. Быть может, это первая модель, создаваемая на уровне языка. Как и всякая модель, она содержит элемент произвола и насилия над действительностью. Но это не значит, что ее надо отбросить. Ее надо улучшать, это верно, но не просто отбрасывать. А чтобы улучшать, надо прежде всего осознавать ее как модель, а не как первичную данность. В этом отношении лингвистический анализ чрезвычайно полезен, ибо он учит отличать относительное от абсолютного, учит видеть относительное и условное в том, что на первый взгляд представляется абсолютным и безусловным. Свою концепцию Уорф так и назвал концепцией лингвистической относительности.

Здесь имеет место любопытная перекличка с физической теорией относительности. Объективизированное время — это основа классической ньютоновской механики. Поскольку воображаемое пространство, в котором мы проектируем время, никак не связано с реальным пространством, мы представляем себе время как что-то такое, что «течет» одинаково во всех точках реального пространства. Эйнштейн осмелился пересмотреть это представление и показал, что оно не содержится в опытных данных и что от него следует отказаться. Но этот отказ, как хорошо известно, дается не без труда. Почему же? Уорф пишет:

Импровизированный ответ, возлагающий всю вину за нашу медлительность в постижении таких тайн космоса, как, например, относительность, на интуицию, является ошибочным. Правильно ответить на этот вопрос надо так: ньютоновские понятия пространства, времени и материи не есть данные интуиции. Они даны культурой и языком. Именно из этих источников и взял их Ньютон.

Здесь опять следует смягчить высказывания увлекающегося лингвиста. Ньютоновские понятия, конечно, непосредственно опираются на нашу интуицию. Но сама эта интуиция не есть чистое отражение первичного чувственного опыта, «калейдоскопического потока впечатлений», а есть продукт его организации и в этой организации язык и культура действительно играют далеко не последнюю роль.

7.14. Метасистемный переход в языке


Язык возникает в результате кодирования явлений действительности языковыми объектами. Но, возникнув, он сам становится явлением действительности. Языковые объекты становятся важнейшими элементами общественной деятельности, они входят в жизнь человека подобно орудиям труда и домашней утвари. И подобно тому, как для изготовления и усовершенствования орудий труда человек создает новые орудия труда, он создает новые языковые объекты для описания действительности, которая уже содержит языковые объекты. Происходит метасистемный переход в рамках системы «язык». Так как новые языковые объекты в свою очередь являются элементами действительности и могут стать объектом кодирования, метасистемный переход может повторяться неограниченное число раз. Подобно другим кибернетическим системам, которые мы рассматривали в этой книге, язык является частью развивающейся Вселенной и развивается сам. И подобно другим системам язык, а вместе с ним и мышление претерпевают качественные изменения путем метасистемных переходов различного масштаба, т. е. захватывающих более или менее крупные подсистемы системы «язык».

При всем различии в физико-химическом отношении, которое существует между языковой системой и нейронной системой, легко видеть, что функционально метасистемные переходы в языке являются естественным продолжением метасистемных переходов в нейронных структурах, служа для создания более совершенных моделей действительности. Для пояснения этой мысли мы снова вернемся к схеме на рис. 7.4. Будем ее рассматривать как схему устройства обработки информации, поступающей от светящегося экрана, а, следовательно, и как частичную (и грубую) модель устройства мозга. На схеме мы видим классификаторы, соответствующие понятиям «пятно», «контур», «внутри» и «войти в». Эти понятия лежат на различных уровнях иерархии, и число уровней, в принципе, не ограничено. Но поставим вопрос: не возможен ли метасистемный переход более крупного масштаба, который можно изобразить не как добавление нового уровня на рис. 7.4, а вообще как выход из плоскости чертежа, создание новой плоскости?

Если сопоставлять нашу искусственную систему реальным биологическим системам, то она соответствует нервной сети с жестко фиксированной иерархией понятий. Это этап сложного рефлекса. Выйти в новую плоскость значило бы перейти к этапу ассоциирования, когда становится управляемой система связей между классификаторами.

Понятия, фигурирующие на рис. 7.4, взяты из языка. Существуют ли в языке понятия, которые «выходят из плоскости» рис. 7.4? Существуют. О понятии «внутри» мы можем сказать, что оно является примером пространственного отношения между объектами. Другими примерами пространственных отношений являются понятия «соприкасается», «пересекается», «между» и т. п. Схему на рис. 7.4 можно было бы дополнить классификаторами, распознающими эти понятия. Ну а само понятие «пространственное отношение»? Оно-то и является искомым метапонятием по отношению к понятиям «внутри», «между» и т. п., оно относится к ним как имя к значению. Если бы мы задумали воплотить понятие «пространственное отношение» в виде какого-то устройства, дополняющего устройства на рис. 7.4, то оно явно должно было бы образовать метасистему по отношению к классификаторам «внутри», «между» и пр. Задача, которую оно могло бы выполнять, это модификация структуры или работы упомянутых классификаторов, или создание новых классификаторов, распознающих какие-то новые, до тех пор не распознаваемые пространственные отношения. А в самом языке с какой целью появляется понятие «пространственное отношение»? Да с такой же! Для лучшего понимания того, как работает языковая система, для ее модификации и создания новых понятий. Метасистемный переход в развитии языка выполняет ту же роль, что и в развитии нейронных структур.

7.15. Понятия-конструкты


Понятия, подобные понятию «пространственное отношение», опираются на действительность не непосредственно, а через посредство промежуточных языковых построений, они становятся возможными в результате определенной языковой конструкции. Поэтому мы их будем называть конструктами. Высказывания, содержащие конструкты, требуют определенной языковой деятельности для установления своей истинности или ложности. Вне языковой системы понятия-конструкты не существуют. Например, понятие «пространственное отношение» не может возникнуть, пока нет слов «внутри», «между» и т. п., хотя соответствующие нейронные понятия уже давно бы и существовали.

Теперь мы можем сделать обзор уровней языка, рассматриваемого как иерархия по управлению. Сигналы животных примем за нулевой уровень языка. Появление эталонных действий подтверждения и отрицания, логических связок и предикатов является, как уже говорилось, метасистемным переходом. Он создает первый уровень языка. Следующий метасистемный переход образует второй уровень языка, понятия которого суть конструкты. Среди них находятся, в частности, понятия грамматики и логики; отличие от первого уровня состоит в том, что на первом уровне грамматика и логика появляются как высшие управляющие системы, которые создают язык, но сами еще не подвергаются управлению, на втором же уровне они становятся объектами изучения и управления (искусственного конструирования). Второй уровень языка можно назвать уровнем конструктов, а также уровнем самоописания.

Уровень развития языка определяет отношение языковой системы к нейронной системе. На нулевом уровне язык передает лишь элементарную управляющую информацию. На первом уровне он приобретает способность фиксировать и передавать некоторые модели действительности, но лишь те модели, которые уже существуют на нейронном уровне. Язык первого уровня можно представить в виде некоего слепка или снимка нейронных моделей (с учетом в качестве поправки обратного влияния языка). Наконец, на уровне конструктов язык получает возможность фиксировать модели действительности, которых не было и не могло быть (имея в виду данный биологический вид человека) на нейронном уровне. Такие модели называют теориями.

Мы приводили числа и действия над ними в качестве простейшего и нагляднейшего примера моделей, не существующих на нейронном уровне и создаваемых на уровне языка. Арифметика — одна из первых теорий, созданных человеком. Легко видеть, что числа, точнее, большие числа, суть конструкты. Числам два и три соответствуют нейронные понятия: мы с одного взгляда отличаем два предмета от трех и от одного. Но число 137 — конструкт. Оно имеет смысл лишь постольку, поскольку имеет смысл число 136, которое в свою очередь опирается на число 135 и т. д.

Здесь есть один метасистемный переход — возникновение процесса счета, порождающего конкретные числа. В рамках метасистемы счета возникает иерархия по сложности — натуральный ряд чисел. Появление понятия «число» знаменует собой новый метасистемный переход, предполагающий, что счет прочно вошел в быт. Для того чтобы считать, абстрактного понятия числа не нужно, потребность в нем появляется лишь тогда, когда начинают рассуждать о счете. Понятие числа — это конструкт более высокого уровня, чем конкретные числа. На том же уровне находятся понятия арифметических действий.

Мы объединили во второй уровень языка все понятия, не опирающиеся непосредственно на нейронные понятия, а требующие вспомогательных языковых конструкций. При таком определении второй уровень является формально последним, но сам содержит иерархию по управлению, которая образуется путем метасистемных переходов и может в принципе быть сколь угодно высокой. Мы видели это на примере конкретных чисел и понятия «число». Язык второго уровня имеет сложную структуру, которую образно можно представить не в виде равномерных слоев, лежащих друг на друге, а в виде здания или комплекса зданий, имеющих и вертикальную, и горизонтальную структуру. Это следствие того, что метасистемный переход может иметь различный масштаб и происходить по отношению к различным подсистемам языка. Различные иерархии по управлению и порождаемые ими иерархии по сложности образуют, переплетаясь, многообразный архитектурный комплекс. Язык второго уровня — это язык философии и науки. Язык первого уровня называют обычно бытовым или разговорным.

7.16. Мышление человека и животных


Иногда говорят, что мышление человека отличается от мышления животных тем, что человек может мыслить в абстрактных понятиях, в то время как животным абстрактные понятия недоступны, а доступны лишь некоторые конкретные понятия. Если термин «абстрактное» понимать как отвлеченное от несущественных признаков (а именно такое понимание является нормой и принято, в частности, в настоящей книге), то это утверждение не выдерживает ни малейшей критики. Мы видели, что решающее отличие мышления человека состоит в наличии управления ассоциациями, которое в первую очередь проявляется как способность к воображению. Что же касается различия в понятиях, то оно во всяком случае не сводится к противопоставлению: абстрактное-конкретное. Всякое понятие абстрактно. Понятие кошка для собаки является абстрактным, ибо содержит, например, отвлечение от расцветки кошки (несущественный признак). Если измерять умственные способности степенью абстрактности понятий, то лягушка окажется одним из самых умных животных, ибо она мыслит с помощью всего-навсего двух, но зато чрезвычайно абстрактных понятий: «нечто маленькое и быстро движущееся» и «нечто большое, темное и не очень быстро движущееся». Как видите, в нашем языке даже не оказалось специальных терминов для этих понятий.

Действительно глубокое отличие в понятийном багаже высших животных и человека состоит в том, что животным недоступны понятия-конструкты, ибо эти понятия предполагают способность к языковой деятельности. Не абстрактные понятия, а понятия-конструкты составляют специфику человеческого мышления. В частичное оправдание приведенного выше суждения надо заметить, что «абстрактными понятиями» часто называют именно понятия-конструкты и говорят о степени абстрактности, когда на самом деле надо было бы говорить о степени «конструктности». Правда, понятие числа образуется путем абстракции, отправляясь от конкретных чисел, а понятие пространственного отношения – отправляясь от конкретных отношений. Но специфику здесь составляет не сам процесс абстракции (он, как мы видели, появился на самых ранних этапах кибернетического периода жизни), а то, что в процессе абстракции существеннейшим образом участвуют языковые объекты. Здесь главное — не абстракция, а конструкция, создание иерархической системы понятий, фиксированных материалом языка. Абстракция без конструкции приводит просто к потере содержания, к таким понятиям, как «нечто» и «некоторый».

1 Цит. по кн.: Новое в лингвистике. М., 1960. Вып.1.

2См. там же статьи Б. Уорфа.

Глава 8. Первобытное мышление


8.1. Системный аспект культуры


Продолжим наше шествие по этапам эволюции. Из области биологии мы перешли в область истории человечества. В главе 5 был дан набросок истории «материальной» культуры. Теперь предметом нашего анализа будет история развития языка и мышления — важнейшей составной части «духовной» культуры. Как мы уже отмечали, деление культуры на «материальную» и «духовную» весьма условно и, когда мы хотим подчеркнуть это, мы помещаем их в кавычки. Использование орудия и тем более создание нового орудия требуют работы воображения и сопровождаются эмоциями, что дает основания рассматривать эти явления как часть «духовной» культуры. В то же время процесс мышления проявляется как определенная языковая деятельность, направленная на вполне материальные предметы — языковые объекты. Язык и мышление, с одной стороны, и материальная культура, с другой стороны, связаны друг с другом теснейшим образом. Историк, поставивший себе задачу детально исследовать механизм развития культуры, не может рассматривать эти явления иначе, как в их взаимосвязи. Он должен также учесть другие стороны культуры и в первую очередь социальную структуру общества, а также влияние природных условий, исторических случайностей и прочих факторов. Но данное исследование не является историческим и наша задача проще: не вдаваясь в детали исторического развития, описать то, что произошло, с кибернетической, или, как еще говорят, с системной, точки зрения. Как и в вопросе о происхождении человека, нас не будут интересовать хитросплетения исторических обстоятельств, приведших к тому, что тот или иной шаг в развитии культуры был сделан в том или ином месте и в то или иное время. Подход наш остается весьма глобальным и общим. Нас интересует лишь один (но зато самый важный в механизме развития!) аспект культуры — ее структура как иерархии по управлению. Соответственно и развитие культуры мы будем рассматривать как усложнение этой иерархии путем последовательных метасистемных переходов. Мы покажем, что, как и в случае биологического развития, важнейшие этапы развития языка и мышления отделяются друг от друга именно метасистемными переходами.

8.2. Дикость и цивилизация


В развитии культуры мы усматриваем прежде всего две четко различающиеся ступени: дикость (первобытная культура) и цивилизация. Четкость различия между ними не означает полного отсутствия переходных форм: переход от дикости к цивилизации не совершается, конечно, мгновенно. Но, раз начавшись, развитие культуры по пути создания цивилизации происходит так быстро, что очевидное и бесспорное отличие нового уровня культуры от старого проявляется за время, несравненно меньшее, чем время существования в состоянии дикости. Возникновение цивилизации носит характер качественного скачка. Все время существования цивилизации на Земле (не более 5 – 6 тыс. лет) составляет небольшую часть от того времени (не менее 40 тыс. лет), в течение которого человечество существует как неизменный в биологическом отношении вид. Таким образом, возникновение цивилизации — это явление, целиком принадлежащее к сфере культуры и никак не связанное с биологическим совершенствованием человека, что отличает его от возникновения языка и трудовой деятельности. Между тем последствия этого явления для биосферы поистине огромны, если даже измерять их не сложностью возникших структур, а простыми количественными показателями. За короткое время существования цивилизации человек в несравненно большей степени повлиял на облик планеты, чем за многие тысячелетия дикости. Особенно бурно растет численность человечества и его влияние на биосферу в течение последних трех столетий (срок совсем уж ничтожный), что является следствием успехов науки — любимого детища цивилизации.

Этот факт требует объяснения. Такой резкий качественный скачок в наблюдаемых проявлениях культуры должен быть связан с каким-то существенным, принципиальным изменением в ее внутренней структуре. Стержнем культуры, обеспечивающим ее единство, ее «нервной системой» является язык. Мы имеем в виду здесь не язык как абстрактную систему выражения мысли, обладающую теми или иными грамматическими особенностями, а язык как живую действительность, как общественную норму языковой деятельности. Иначе говоря, мы имеем в виду всю наблюдаемую (материальную, если угодно) сторону мышления. Поэтому, говоря «язык», мы тут же добавляем «и мышление». Итак, язык (и мышление) — нервная система культуры, поэтому можно ожидать, что существует какое-то важное различие между языком и мышлением первобытных народов и народов, живущих в условиях современной цивилизации. И действительно, изучение культуры отсталых народов обнаруживает у них образ мышления, во многом отличный от образа мышления современного европейца. Это отличие отнюдь не исчерпывается различным уровнем знаний. Если поместить европейца в условия первобытной жизни, то вряд ли он сумеет использовать (и даже проявить!) свое знание закона Ома, или химической формулы воды, или того факта, что Земля вращается вокруг Солнца, а не наоборот. Но различие в образе мышления, в подходе к явлениям действительности останется и немедленно проявится в поведении.

Можно следующим образом суммировать отличие первобытного мышления от современного.

Первобытному человеку мир представляется наполненным всевозможными невидимыми сущностями, духами, которые выступают как причины явлений; чтобы задобрить или изгнать духов, существуют заклинания, ритуальные танцы, жертвоприношения, строго соблюдаемые запреты (табу) и т. п. Один из основоположников научного изучения первобытных культур Э. Тейлор дал этому воззрению наименование анимизма — одушевления всех предметов. Междуразличными предметами могут существовать, согласно представлению первобытных людей, некие таинственные связи и влияния («мистическое сопричастие» по терминологии французского этнографа Л. Леви-Брюля). Такие связи всегда существуют, в частности, между предметом и его изображением или именем. Отсюда — первобытная магия и вера в мистическую связь племени с определенным видом животных (тотем).

Но что больше всего поражает европейца, это не само содержание представлений первобытных людей, а их крайняя устойчивость, нечувствительность к данным опыта. Первобытное мышление невероятно консервативно и замкнуто. Очевидные факты, которые, по мнению европейца, должны были неизбежно изменить представления первобытного человека, заставить его пересмотреть какие-то убеждения, не оказывают почему-то на него никакого действия. А попытки убеждать и доказывать приводят зачастую к результатам, диаметрально противоположным тем, которые ожидались. Именно в этом, а не в вере в существование духов и мистической связи между предметами состоит наиболее глубокое отличие первобытного мышления от современного. В конце концов, все в мире действительно взаимосвязано! Излагая закон всемирного тяготения, мы могли бы говорить, что в каждом теле сидит дух тяготения, и каждый дух стремится приблизиться к другому духу силой, пропорциональной массам двух тел и обратно пропорциональной квадрату расстояния между ними. Это нисколько не помешало бы нам правильно рассчитывать движение планет. Впрочем, если мы не пользуемся словом «дух», мы пользуемся словом «сила». А что такое, в сущности, сила ньютоновского притяжения? Тот же дух: нечто невидимое, неслышимое, неосязаемое, не имеющее вкуса и запаха, но, тем не менее, реально существующее и оказывающее воздействие на вещи.

Указанные особенности мышления первобытных людей обладают поразительной общностью. Можно сказать, что они общи всем без исключения первобытным народам, независимо от их расовой принадлежности и географических условий и несмотря на разнообразие конкретных форм культуры, в которых они проявляются. Это и дает основания говорить о первобытном мышлении, противопоставляя его современному мышлению и рассматривая как первую и исторически неизбежную фазу человеческого мышления. Разумеется, как и при всяком членении непрерывного процесса на отдельные фазы, существуют и переходные формы: в мышлении современного цивилизованного человека мы нередко усматриваем черты, восходящие к интеллектуальной деятельности охотников за мамонтами и пещерными медведями. Но это не уменьшает законности разделения на фазы и попыток объяснить переход от одной фазы к другой.

Итак, в чем основа различия между двумя фазами мышления: первобытной и современной?

8.3. Метасистемный переход к языковой деятельности


Первобытная фаза — это фаза мышления, непосредственно следующая за возникновением языка и характеризующаяся тем, что языковая деятельность еще не стала своим собственным объектом. Переход к фазе современного мышления — это метасистемный переход, состоящий в том, что возникает языковая деятельность, направленная на языковую деятельность. Язык первобытного человека — это язык первого уровня, язык современного человека — язык второго уровня, включающий, в частности, грамматику и логику. Однако переход к современному мышлению не сводится только к метасистемному переходу в языке, если рассматривать язык статически, как некую возможность или способ деятельности. Он включает метасистемный переход в реальной языковой деятельности как общественно значимой норме поведения. При переходе к фазе современного мышления становится общепринятым не только думать что-то о чем-то, но и задавать себе вопросы: а почему я так думаю? Можно ли думать иначе? К каким последствиям приводят те или иные мысли? Коротко говоря, отличие современного мышления от первобытного заключается в том, что оно является мышлением критическим, в то время как первобытное мышление можно назвать докритическим. Критическое мышление так прочно вошло в норму, что воспринимается как нечто само собой разумеющееся, единственно возможное. Правда, нам случается говорить, что то или иное лицо мыслит «некритически», но сам этот термин показывает, что не критическое мышление является не нормой, а отклонением от нормы. Как правило, не критичность мышления рассматривается как недостаток. Тогда стараются чем-то объяснить его: влиянием эмоций, нежеланием прийти к определенным выводам и т. п. Не критичность по отношению к некоторым утверждениям (догматам) может оправдываться особым (священным) происхождением этих утверждений. В основном же потоке наше мышление продолжает оставаться критическим. Это не значит, что оно всегда оригинально и нешаблонно. Но и когда мы мыслим по шаблону, мы, тем не менее, мыслим критически, ибо таков сам шаблон: он включает языковую деятельность, направленную на языковую деятельность, он учит отделять имя от значения и помнить о произвольности связи между ними, он учит думать: «А почему я так говорю и думаю?» И мы не только сами пользуемся этим шаблоном, но пользуемся также результатами использования этого шаблона предшествующими поколениями, внесшими вклад в создание нашей современной культуры.

Иначе обстоит дело в первобытном обществе. Здесь общественной нормой мышления является отношение к словам, представлениям и регламентациям своей культуры, как к чему-то безусловно данному, абсолютному, не отделимому от других элементов реальности, ибо связь между языком и действительностью еще не стала объектом мысли. Это очень существенное отличие от современного образа мышления. Мы рассмотрим первобытное мышление более детально и покажем, что из этой особенности — докритичности — вытекают его основные наблюдаемые черты.

Ниже в этой главе мы пользуемся данными, взятыми из книги Л. Леви-Брюля1. Эта книга интересна тем, что в ней собран большой материал о первобытных культурах, убедительно показывающий отличие первобытного мышления от современного. Что касается концепции Леви-Брюля, то как ее положительную черту следует отметить, что мышление отдельных членов первобытного (в действительности, конечно, не только первобытного, но этого Леви-Брюль почему-то не замечает) общества описывается им как регулируемое коллективными представлениями данной культуры. Заслугой Леви-Брюля является также указание на то, что коллективные представления в первобытном обществе отличаются от наших, поэтому объяснение мышления первобытного человека путем подстановки (часто неосознанной) на его место современного человека совершенно неправомерно. В остальном концепция Леви-Брюля довольно бессодержательна. Он описывает первобытное мышление как «пралогическое», «мистически ориентированное» и «управляемое законом партиципации (сопричастия)». Эти понятия остаются весьма туманными и ничего не прибавляют к собранному материалу. Сочувствие вызывает только сам термин «пралогическое мышление», перекликающийся с нашим определением первобытного мышления как докритического.

8.4. Магия слов


На стадии первобытного мышления ассоциация имя-значение Li - Ri уже существует, ибо язык прочно вошел в жизнь, но она еще не стала объектом внимания, ибо метасистемный переход на второй уровень языковой деятельности пока не произошел. Поэтому ассоциация Li - Ri воспринимается в точности так же, как любая ассоциация Ri - Rj между элементами действительности, например ассоциация молния-гром. Для первобытного мышления связь между объектом и его именем — абсолютная, физическая, так сказать, реальность, усомниться в которой просто невозможно. Фактически — и это вытекает из фундаментального свойства ассоциации — первобытный человек мыслит себе единый объект Li - Ri, у которого имя Li и материальный облик Ri, суть различные части или стороны. О таком отношении к именам среди первобытных народов свидетельствует множество исследователей.

Индеец рассматривает свое имя не как простой ярлык, но как отдельную часть своей личности, как нечто вроде своих глаз или зубов. Он верит, что от злонамеренного употребления его имени он так же верно будет страдать, как от раны, нанесенной какой-нибудь части его тела. Это верование встречается у разных племен от Атлантического до Тихого океана (Дж. Муни).

Потому у многих народов распространен обычай пользоваться в быту не «настоящим» именем человека, а его прозвищем, которое рассматривается как нечто случайное и произвольное. Исследователь народов Западной Африки А. Б. Эллис утверждает, что среди них

существуют верования в реальную и физическую связь между человеком и его именем: можно ранить человека, пользуясь его именем... Настоящее имя царя является тайным... Может показаться странным, что только имя, дающееся при рождении, а не повседневное имя, считается способным переносить в другое место часть личности... Дело в том, однако, что туземцы, по-видимому, думают, будто повседневное имя не принадлежит реально человеку.

Это разделение имен на «настоящие» и «ненастоящие» является, очевидно, первым шагом на пути к метасистемному переходу.

Отношение между предметом и его изображением воспринимается точно так же, как между предметом и его именем. Вообще никакого существенного различия между изображением и именем первобытное мышление не проводит. Это и неудивительно, ибо изображение связано с оригиналом такой же ассоциацией, как и имя. Изображение — это имя, имя — изображение. Все изображения и имена предмета образуют вместе с самим предметом нечто целое, единое (а именно представление, созданное ассоциацией). Поэтому кажется очевидным, что действуя на часть, мы тем самым действуем и на целое, а значит, и на другие его части. Изображая бизона, пронзенного стрелой, человек верит, что он тем самым способствует успешной охоте на реального бизона. Художник и ученый Дж. Кетлин, живший среди манданов (Северная Америка), рассказывает, что манданы верили, что рисунки (и, в частности, портреты), сделанные им, заимствовали у своих оригиналов какую-то часть жизненного начала. «Я знаю, — говорил один из манданов, — что этот человек уложил в свою книгу много наших бизонов, я знаю это, ибо я был при том, когда он это делал, с тех пор у нас нет больше бизонов для питания». Очевидно, этот индеец понимал, что белый человек не укладывал бизонов в книгу в буквальном смысле, в их, так сказать, материальном виде, но ему было очевидно, что в некотором смысле, а именно по отношению к комплексам «реальный бизон — рисунок бизона», белый человек все-таки уложил бизонов в книгу, поэтому их стало меньше. Слово «уложил» используется при этом в несколько метафорическом смысле, если основной смысл относить к действию над «материальным» бизоном, но это не влияет на верность мысли. Множество терминов во всех языках мира используются метафорически, без этого было бы невозможно развитие языка. Когда мы говорим «эти мысли хорошо уложились у меня в голове», то это не значит, что они уложились точно так, как укладываются в чемодане вещи.

8.5. Духи и прочее


Теперь перейдем к «духам», которые играют такую важную роль в первобытном мышлении. Мы увидим, что появление «духов» — неизбежное следствие возникновения языка и что они исчезают (но зато с той же неизбежностью, с которой возникли) только с метасистемным переходом на уровень критического мышления.

Вдумаемся снова в ту ситуацию, когда язык уже существует, но его отношение к действительности еще не стало предметом изучения. Благодаря языку происходит нечто вроде удвоения предметов: вместо предмета Ri человек имеет дело с комплексом RiLi, где Li — имя Ri. В этом комплексе языковый объект Li представляет более доступную и в этом смысле более стабильную компоненту. Произнести слово «солнце» можно независимо от того, видно ли в данный момент солнце или нет. Имя человека можно повторять сколько угодно раз, в то время как сам человек мог давно умереть. Но каждый раз его облик будет всплывать в воображении говорящего. В результате соотношение между именем и значением как бы переворачивается: объект Li приобретает признаки чего-то первичного, а объект Ri — вторичного. Нормальное отношение восстанавливается только после метасистемного перехода, когда Li наравне с Ri, а особенно связь между ними становятся объектом внимания. Пока же этого не произошло, слово Li играет ведущую роль в комплексе RiLi, а услужливое воображение готово связать любые картины с каждым словом, употребляемым в общественной языковой практике. Одни слова языка первобытной культуры обозначают с нашей современной точки зрения реально существующие предметы, другие же обозначают с нашей точки зрения нечто реально не существующее (духи и т. п.). Но с точки зрения первобытного человека между ними нет никакой разницы, разве что чисто количественная. Обычные предметы могут быть видимы, или невидимы (когда они спрятаны или когда темно), или же видимы одними и невидимы другими. То же относится к духам, только увидеть их труднее. Их или никто не видит, или видят только колдуны. В Северной Америке у кламатов знахарь, позванный к больному, должен был совещаться с духами определенных животных. Только тот, кто прошел пятилетний курс подготовки к знахарству, может видеть этих духов, но видит он духов так же ясно, как предметы вокруг себя. Тарагумары верили, что в реках живут большие змеи, имеющие рога и огромные глаза. Но видеть их способны только шаманы. Среди бурят было распространено мнение, что когда ребенок опасно болеет, причиной этого является маленький зверек «анокха», который поедает макушку ребенка. Анокха похож на крота или кошку, но видеть его могут только шаманы. У гуичолов есть ритуальный обряд, выполняя который они кладут головы оленьих самок рядом с головами самцов, причем считается, что у самок, как и у самцов, есть рога, хотя никто, кроме шаманов, их не видит.

Ассортимент невидимого в представлениях первобытных народов чрезвычайно широк. Здесь не только духи, представляемые как нечто бесформенное, но и предметы или существа, имеющие вполне определенный внешний вид с той лишь поправкой, что воспринимается он не всегда и не всеми. Язык в изобилии дает материал для создания воображаемых сущностей. Любое качество легко и непринужденно превращается в сущность. Отличие живого человека от мертвого дает душу, больного от здорового — болезнь. Представление о болезни как о чем-то вещественном, предметном, что может входить и выходить из тела, перемещаясь в пространстве, свойственно, пожалуй, всем первобытным народам. То же относится к душе. Любопытно, что подобно тому, как существуют различные болезни, у некоторых народов существуют и различные «души» в человеке. По наблюдениям А. Б. Эллиса, негры западно-африканского побережья различают два духа человека: «кра» и «сраман». «Кра» живет в человеке, пока он жив, отлучаясь, лишь когда человек спит: сновидения — это приключения «кра» во время сна. Когда человек умирает, его «кра» переселяется в тело другого человека или животного, а может и скитаться по свету в неприкаянном, так сказать, виде. «Сраман» же образуется лишь со смертью человека и продолжает в стране мертвых тот образ жизни, который вел покойный до смерти. Еще ярче эта тенденция проявляется в верованиях индейцев. Манданы, например, полагают, что каждый человек носит в себе несколько духов: один из них белый, другой смуглый, третий — светлой окраски. Дакоты считают, что у человека четыре души: 1) телесная душа, которая умирает вместе с человеком; 2) дух, живущий с телом или вблизи него; 3) душа, которая ответственна за действия тела; и 4) душа, которая остается всегда возле пучка волос покойника, сохраняемого родственниками до того момента, когда его можно будет бросить на территорию врага, где он превращается в блуждающий призрак, несущий болезнь и смерть. Г. Джонс, занимавшийся исследованием верований в Корее, пишет:

Духи занимают все небо и каждую пядь земли. Они подстерегают человека на дорогах, среди деревьев, в горах, в долинах, в речках и ручьях. Они неустанно следят за ним днем и ночью... Даже в собственном доме человек не находит убежища от духов: они и здесь повсюду, они засели в штукатурке стен, повисли на балках, прилепились к перегородкам!

8.6. Мусорная куча представлений


Как мы уже указывали, не сам факт веры в существование невидимых вещей и влияний отличает первобытное мышление от современного, а содержание представлений и особенно его отношение к данным опыта. Мы верим в существование нейтронов, хотя никто не видел их и никогда не увидит. Но мы знаем, что все слова, которые мы произносим, имеют смысл лишь постольку, поскольку они в своей совокупности успешно описывают наблюдаемые явления и помогают их предсказывать. Как только они перестают выполнять эту роль из-за новых данных опыта или из-за перестройки системы словоупотребления (теории), мы их безжалостно отбрасываем. Так случилось, например, с теплородом или эфиром. Еще раньше исчезли из языка и мышления всевозможные воображаемые существа и предметы, столь типичные для мышления наших предков. В первобытном мышлении нас возмущает не допущение существования духов, а то, что это допущение — конечно, вместе с какими-то допущениями о свойствах и повадках духов — решительно ничего не объясняет, а часто просто противоречит опыту. Приведем несколько типичных свидетельств исследователей. На Никобарских островах

туземцы во всех селениях совершили церемонию, называемую «танангла» (т. е. помощь или защита). Церемония эта была призвана предотвратить болезнь, появлявшуюся с северо-западным муссоном. Бедные никобарцы! Они делают это из года в год и все без результата! (Соломон).

Казалось бы, что тяжелой раны от удара копьем вполне достаточно, чтобы объяснить смерть раненого. Тем не менее, если раненый умирает, абипоны верят, будто не оружие убило раненого, а злодейское искусство какого-то колдуна... Они убеждены, что колдун умрет в свою очередь в наказание за убийство их сородича, если только сейчас же после смерти покойника вырвать у него язык и сердце, зажарить их на огне и отдать на съедение собакам. Хотя уже много сердец и языков было съедено собаками и никто ни разу не видел, чтобы непосредственно после этого умер какой-нибудь колдун, абипоны свято сохраняют привязанность к обычаю своих предков и продолжают вырывать язык и сердце у детей и взрослых обоего пола, как только они испускают дух (М. Добрицгофер).

Так как первобытный человек не умеет делать свои представления объектом анализа, они образуют своего рода мусорную кучу. Пополняется эта куча легко, но вот расчисткой ее никто не занимается. Бессмысленных слов для первобытного человека нет и быть не может. Если он не понимает слова, то оно пугает, как пугает незнакомое животное, или оружие, или природное явление. Мнение, возникшее благодаря случайному стечению обстоятельств, сохраняется из поколения в поколение, не имея под собой никакого реального основания. Объяснение какого-либо явления может быть совершенно произвольным и, тем не менее, полностью удовлетворять первобытного человека. Критическое мышление рассматривает каждое объяснение (языковую модель действительности) наряду с другими, конкурирующими объяснениями (моделями), и оно не удовлетворится, пока не будет показано, чем данное объяснение лучше, чем конкурирующее. Это называют в логике законом достаточного основания. Докритическому мышлению закон достаточного основания абсолютно чужд. Здесь ярче всего виден метасистемный переход, отделяющий современное мышление от первобытного.

Благодаря этой особенности вера первобытного человека в действенность магии, заклинания, колдовство и т. п. непоколебима. Его «теория» дает объяснение (часто даже не одно, а несколько!) всему, что происходит вокруг него. Оценить же критически свою теорию или хотя бы отдельные ее части он еще не может. Один дикарь обзавелся фетишем, который должен был сделать его неуязвимым, рассказывает Т. Боудич. Он решил испытать его и получил пулю в руку, которая сломала ему кость. Колдун объяснил это обстоятельство к всеобщему удовлетворению, заявив, что оскорбленный фетиш только что открыл ему причину того, что произошло: этот молодой человек имел половые сношения со своей женой в запретный день. Раненый признался, что это правда, и его соплеменники только укрепились в своей вере. Подобных примеров можно привести несчетное множество.

8.7. Вера и знание


Когда мы говорим, что первобытный человек верит в существование духов и те или иные действия, мы предрасполагаем себя к неправильному пониманию его психологии. Говоря о вере, мы противопоставляем ее знанию. Но само различие между верой и знанием возникает лишь на уровне критического мышления и отражает различие в психологической достоверности представлений, вытекающее из различия их источников. Для первобытного человека нет различия между верой и знанием, и к своим представлениям он относится не так, как мы к своей вере, а как мы к своим знаниям. С точки зрения психологической первобытный человек знает, что существуют духи, знает, что заклинанием можно выгнать болезнь или нагнать ее, знает, что после смерти он будет жить в стране мертвых, и т. д. Поэтому мы избегаем называть воззрения первобытного человека первобытной религией: термины «первобытная философия» или «первобытная наука» имеют не меньше прав на существование. Различать эти виды деятельности можно лишь на уровне критического мышления. Это относится как к различию между верой и знанием, так и к различию между «потусторонним» и «посюсторонним». Тот факт, что в представлениях первобытных людей фигурируют духи, призраки, тени умерших и прочая чертовщина, еще не делает эти представления религиозными, ибо все это воспринимается как нечто вполне посюстороннее и такое же реальное (материальное, если угодно), как звери, ветер, солнечный свет. Л. Леви-Брюль, определяющий психологическую деятельность первобытного человека как мистическую, подчеркивает, тем не менее, что это совсем не то же самое, что мистицизм в современном смысле слова. «За неимением лучшего, — пишет он, — я буду употреблять этот термин не в силу его связи с религиозным мистицизмом наших обществ, который является чем-то в достаточной мере иным, а потому что в самом узком смысле термин «мистический» подходит к вере в силы, влияния, действия, неприметные, неощутимые для чувств, но, тем не менее, реальные». Многих наблюдателей поражает, до какой степени реальными представляются первобытным народам тени и духи их предков. Р. Кодрингтон пишет о меланезийцах: «Когда туземец говорит, что он человек, то он дает понять, что он — человек, а не дух. Отнюдь не следует понимать, что он — человек, а не животное. Разумные существа в мире делятся в его глазах на две категории: на людей, которые живы, и на людей, которые умерли, у племени моту — на та-мур и та-мате. Когда меланезийцы впервые видят белых людей, они принимают их за та-мате, т. е. духов, вернувшихся к жизни, а когда белые спрашивают у туземцев, кто они такие, то последние называют себя та-мур, т. е. людьми, а не духами». У чиригуанов (Южная Америка) два человека, встретившись, обмениваются следующим приветствием: «Ты живой?» — «Да, я живой». Некоторые другие племена Южной Америки здороваются подобным же образом.

8.8. Консерватизм докритического мышления


Докритическому мышлению внутренне присущ консерватизм, он является непосредственным следствием отсутствия аппарата изменения языковых моделей. Всевозможные регламентации и запреты направляют поступки и мышление по строго определенному пути, освященному традицией. Нарушение традиций вызывает суеверный ужас. Известны случаи, когда люди, случайно нарушившие табу, умирали, когда узнавали об этом. Они знали, что должны умереть и умирали в результате самовнушения.

Это не значит, конечно, что в первобытном обществе вообще не происходит прогресса. В рамках дозволенного обычаем первобытные люди проявляют порой чудеса искусства, ловкости, терпения, настойчивости. В тех же рамках из поколения в поколение совершенствуются орудия и оружие, накапливается опыт. Но вот беда — рамки эти чрезвычайно узки и жестки. Только крайние обстоятельства могут заставить племя (а, скорее всего остатки племени, уничтоженного врагами или умирающего от голода) нарушить обычай. Вероятно, именно в таких ситуациях совершались крупнейшие сдвиги в первобытной культуре. Народ, попавший в изоляцию и из-за не слишком благоприятных природных условий не имеющий возможности расплодиться и распасться на смертельно враждующие народы, может в течение тысячелетий сохранять неизменный уровень первобытной культуры.

На стадии докритического мышления язык играет парадоксальную роль. Выполняя свою коммуникативную функцию — общение между людьми, передача опыта от поколения к поколению, стабилизация социальных групп, он служит на пользу людям. Но вот его некоммуникативная, моделирующая функция приносит больше вреда, чем пользы. Мы имеем в виду те модели, которые создаются не на уровне ассоциации неязыковых представлений, а только на уровне языка, т. е. главным образом первобытную «теорию духов». Как мы уже отмечали, коммуникативная функция и становится-то возможной лишь благодаря моделирующей функции. Но пока языковые модели лишь отражают нейронные модели, мы говорим о чистой коммуникативной функции, когда же создаются новые модели — теории, мы говорим о функции некоммуникативной. В первобытном обществе мы видим две теории: зачатки арифметики (счет с помощью пальцев, зарубок и т. п.) и «теорию духов». Арифметика, конечно, явление положительное, но она не играет большой роли в жизни первобытного человека, у многих народов она практически отсутствует; напротив, «теория духов» пронизывает всю его жизнь и оказывает на нее отрицательное влияние. В этом и состоит парадокс; первые самостоятельные шаги языковой системы, которые по идее должны привести (в дальнейшем действительно приводят) к огромному скачку в моделировании действительности, на первых порах дают ядовитые выделения, тормозящие дальнейшее развитие. Это результат дикого, так сказать, произрастания «теории духов». Ее можно сравнить с сорняком, вырастающим на хорошо удобренной почве, если не следить за огородом. Семена сорняков, как мы видели, содержатся в самой почве — языке. Только переход на уровень критического мышления — тщательная культивация почвы, селекция культурных растений и борьба с сорняками — дает ожидаемый урожай.

8.9. Возникновение цивилизации


Мы знаем, что переход этот произошел. Возникновение критического мышления — важнейшая веха эволюции, следующая после появления человека. Критическое мышление и цивилизация возникают одновременно и развиваются в тесной взаимосвязи. Увеличение производительности труда, контакты между различными племенными культурами, разложение общества на классы — все это неумолимо расшатывает традиционное племенное мышление, заставляет человека задуматься над содержанием своих представлений, сравнить их с представлениями других культур; таким образом утверждается и постепенно входит в норму критический характер мышления. С другой стороны, критическое мышление раскрепощает человека, приводит к резкому росту производительности труда, появлению новых форм поведения. Оба процесса поддерживают и усиливают друг друга, общество начинает бурно развиваться. Происходит как бы переворачивание вектора общественного интереса: в первобытном обществе он направлен назад, в прошлое, на соблюдение законов предков, в развивающейся цивилизации он, по крайней мере у части общества («творческого меньшинства» по А. Тойнби), направлен вперед, в будущее, на изменение существующего положения. Обращение языковой деятельности на самое себя порождает эффект лестницы: каждый уровень логического (языкового) мышления, возникший в результате анализа логического мышления, сам становится объектом логического анализа. Критическое мышление есть ультраметасистема, способная к саморазвитию. Вследствие метасистемного перехода культура приобретает динамизм, собственный внутренний импульс к развитию. Первобытные племенные культуры эволюционируют благодаря скрещиванию и борьбе за существование между ними подобно тому, как это происходит в животном мире. Цивилизация эволюционирует под действием внутренних факторов. Правда, и цивилизациям прошлого свойственно было останавливаться в развитии, достигая какого-то потолка, но скачки все же были чрезвычайно велики по сравнению со скачками в первобытных культурах и они увеличивались по мере утверждения критического мышления. Современная цивилизация глобальна, так что фактор ее борьбы за существование как целого (т. е. с конкурентами) отпадает, и все ее развитие происходит исключительно под действием внутренних противоречий. В сущности, только с переходом на уровень критического мышления проявилась революционная сущность возникновения мышления и по настоящему началась Эра Разума.

В процессе метасистемного перехода бывает, как мы знаем, момент, когда новое качество не оставляющим сомнений образом демонстрирует свои преимущества, и с этого момента метасистемный переход можно считать свершившимся окончательно и бесповоротно. В переходе к критическому мышлению этот момент — культура древней Греции, которую совершенно справедливо называют колыбелью современной цивилизации и культуры. В это время — около двух с половиной тысячелетий назад — возникли философия, логика и математика (математика в полном смысле слова, т. е. включающая доказательства). И с этого времени критическое мышление стало признанной и необходимой основой развивающейся культуры.

1 Леви-Брюль Л. Первобытное мышление. М.: Атеист, 1930.

Глава 9. Математика до греков


9.1. Ошибка природы


Мы уже приводили процесс счета в качестве примера использования модели действительности, которая не содержится в мозгу, а создается на уровне языка. И это очень яркий пример. Счет основан на способности расчленять окружающий мир на отдельные предметы. Эта способность возникла довольно давно в ходе эволюции; высшие позвоночные обладают ею, по-видимому, в такой же мере, как и человек. Ясно, что для успешной борьбы за существование живому существу, умеющему различать отдельные предметы, было бы небесполезно также уметь их считать (это помогло бы, например, ориентации в незнакомой местности). Описание с помощью чисел является естественным интегральным дополнением к дифференциальному описанию с помощью распознавания отдельных предметов. С другой стороны, кибернетический аппарат для распознавания чисел, т. е. для счета, может быть чрезвычайно простым. Эта задача гораздо более легкая, чем различение отдельных предметов. Поэтому можно было бы ожидать, что распознавание чисел в пределах, обусловленных устройством органов зрения, появится в ходе эволюции. Человеческий глаз может различать одновременно десятки и сотни отдельных предметов. Мы могли бы ожидать, что с одного взгляда будем также легко отличать совокупность из двухсот предметов от совокупности из двухсот одного, как два предмета отличаем от трех.

Однако природа не пожелала или не сумела дать нам этой способности. Непосредственно распознаваемые числа смехотворно малы — обычно до четырех — пяти. С помощью тренировки можно немного продвинуться вперед, но делается это путем мысленного разбиения на группы или запоминания картины в целом с последующим счетом в уме. Ограничение на непосредственное распознавание остается. Оно никак не связано с устройством органов зрения и обусловлено, очевидно, какими-то более глубинными особенностями строения мозга. Какими же? Пока не знаем. Одно обстоятельство заставляет задуматься и подсказывает некоторые предположения. Вот оно.

Кроме пространственного распознавания чисел, есть еще временное распознавание. Двойной стук в дверь мы никогда не спутаем с тройным или одинарным. Но восемь или десять ударов это уже заведомо «много», и различать такие звуки мы можем только по их суммарной продолжительности (это соответствует суммарной площади, занятой однородными предметами при пространственном распознавании). Предел, ограничивающий оба вида распознавания чисел, одинаков. Случайно ли это совпадение? Быть может, непосредственное распознавание чисел всегда имеет временную природу и ограничено емкостью мгновенной (оперативной) памяти — числом ситуаций, которые она вмещает. Ограничение на пространственное распознавание объясняется при этом предположении тем, что зрительное изображение развертывается во времени (при этом происходит быстрое переключение внимания с предмета на предмет, о чем говорилось выше) и подается для анализа на тот же самый аппарат.

Так или иначе, но в нашем мозговом устройстве природа оставила досадную недоделку и свою работу по созданию «продолжения мозга» человек начинает с исправления ее ошибки: он учится считать. Так начинается математика.

9.2. Счет и измерение


Факты убедительно свидетельствуют о том, что счет возникает раньше, чем названия чисел. Иначе говоря, первоначально языковыми объектами для построения модели служат не слова, а выделенные однотипные предметы: пальцы, камешки, узелки, черточки. Это и естественно. При возникновении языка слова связываются только с теми понятиями, которые уже существуют, т. е. распознаются. Слова «один», «два» и, возможно, «три» появляются независимо от счета (если понимать под счетом процедуру, протяженную во времени и осознаваемую как таковая), ибо они опираются на соответствующие нейронные понятия. Словам для больших чисел взяться неоткуда. Чтобы передать численность какой-то группы предметов, человек пользуется стандартными предметами, устанавливая между ними — один за другим — взаимно однозначное соответствие. Это и есть счет. Когда счет становится распространенным и привычным делом, для наиболее часто встречающихся (т. е. небольших) групп стандартных предметов возникают и словесные обозначения. На некоторых числительных остались следы их происхождения. Так, русское слово «пять» подозрительно похоже на старославянское «пядь» — рука (пять пальцев).

Есть первобытные народы, у которых всего два или три числительных: один, два, три. Все остальное — много. Но это вовсе не исключает умения считать с помощью стандартных предметов и передавать о численности путем разбиения на двойки и тройки или путем таких, не редуцированных еще выражений, как «столько, сколько пальцев на двух руках, одной ноге и еще один». Просто потребность в счете еще не так велика, чтобы заводить специальные слова. Последовательность «один, два, три, много» отражает не неспособность к счету до четырех и дальше, как иногда думают, а различие, которое проводит человеческий мозг между первыми тремя числами и всеми остальными. Ибо совсем без напряжения и бессознательно мы распознаем только числа до трех. Для распознавания четверки надо уже специально сосредоточиться. Так что не только для дикарей, но и для нас все, что больше трех, много.

Чтобы передать большие числа, люди стали считать «большими единицами» — пятерками, десятками, двадцатками.

Во всех известных нам системах счета большие единицы кратны пяти, что свидетельствует о том, что первым счетным инструментом всегда становились пальцы. Из комбинации больших единиц возникли еще большие единицы. В древнеегипетских папирусах встречаются отдельные иероглифы, изображающие числа до десяти миллионов.

Начало измерения, как и счета, относится к глубокой древности: мы находим его уже у первобытных народов. Измерение предполагает умение считать и требует дополнительно введения единицы измерения — меры измерительной процедуры, состоящей в сравнении измеряемого с единицей. Древнейшие меры связаны с человеческим телом: шаг, локоть, фут (ступня).

С возникновением цивилизации потребность в счете и в умении выполнять арифметические действия резко увеличивается. При развитом общественном производстве регулирование отношений между людьми: обмен, раздел имущества, налогообложение — требует знания арифметики и элементов геометрии. И мы находим эти знания в древнейших из известных нам цивилизаций — вавилонской и египетской.

9.3. Запись чисел


Запись чисел в древности (рис. 9.1) наглядно демонстрирует отношение к числу как к непосредственной модели действительности. Возьмем, например, египетскую систему. Она была основана на десятичном принципе и содержала иероглифы для единицы (вертикальная черточка) и «больших единиц». Чтобы изобразить число, надо было повторить иероглиф столько раз, сколько раз он входит в число. Аналогичным образом записывали числа другие народы древности. К этой простейшей форме записи примыкает и римская система. Она отличается лишь тем, что когда меньшая единица стоит слева от большей, ее надо не прибавлять, а отнимать. Это небольшое усовершенствование (вместе с введением промежуточных единиц: V, L, D) устранило необходимость выписывать подряд много одинаковых символов, и сделало римскую систему столь конкурентоспособной, что она существует и по сей день.



Рис.9.1. Запись чисел различными народами древности (из книги: Глейзер Г. И. История математики в школе. М., 1964)

Еще более радикальный способ избежать громоздкого повторения символов — это обозначить ключевые числа (меньше десяти, затем круглые десятки, сотни и т. д.) последовательными буквами алфавита. Так именно и поступили греки около VIII в. до н. э. Для единиц, десятков и сотен им хватило алфавита; числа, большие тысячи, изображались буквами со штрихом внизу слева. Так β обозначало 2, κ — 20, 'β — 2000. Эту систему переняли у греков многие народы: армяне, евреи, славяне и другие. При алфавитной нумерации «модельный» вид числа совершенно исчезает, оно становится просто символом. К тому же результату приводит и скорописное упрощение знаков, имеющих первоначально модельный вид.



Рис. 9.2. Числовые знаки кхарошти

Современные европейские цифры, называемые в отличие от римских «арабскими», ибо они проникли к нам через арабов, имеют, как полагают, индийское происхождение. Не все специалисты соглашаются с этой гипотезой. В индийских письменных документах цифры встречаются впервые в III в. до н. э. В это время в ходу было два вида письма: кхарошти и брахми — и каждое из них имело свои числовые знаки (рис. 9.2 и 9.3). Система кхарошти интересна тем, что в качестве промежуточного этапа между единицей и десятью выбирается число четыре. Вероятно, косой крест в качестве четверки соблазнил создателей чисел кхарошти простотой написания при полном сохранении модельности (четыре луча). Числовые знаки брахми более экономны. Считают, что первые девять знаков брахми породили в конечном счете современные цифры (рис. 9.4).



Рис. 9.3. Числовые знаки брахми

Утрата числами модельного вида с лихвой компенсировалась использованием в древнем мире абака — счетной доски с параллельными прорезями, по которым передвигались камешки. Разные прорези соответствовали единицам разного достоинства. Абак изобрели, вероятно, еще вавилоняне. Он служил для выполнения всех четырех действий арифметики. Греческие купцы широко пользовались абаком, того же типа счетные доски были в ходу у римлян. Латинское слово calculus (камешек) стало обозначать также «исчисление». Римляне же придумали надевать счетные камешки на рейки; так возникли счеты, которыми у нас пользуются и до сих пор. Эти простейшие счетные приборы имели большое значение, и только после того, как полностью сформировалась позиционная система счисления, они стали уступать место выкладкам на грифельной доске или бумаге.



Рис. 9.4. Генеалогия современных цифр (по Menninger, Zahlwort, Ziffer)

9.4. Позиционная система


Основы позиционной системы заложили вавилоняне. В системе счисления, которую они заимствовали от своих предшественников — шумерийцев, мы с самого начала (т. е. в древнейших дошедших до нас глиняных табличках, относящихся к началу третьего тысячелетия до н. э.), видим две основные «большие единицы» — десять и шестьдесят. Откуда взялось число шестьдесят — об этом можно только догадываться. Известный историк математики О. Нейгебауэр полагает, что источником послужило отношение между основными денежными единицами, имевшими хождение в Двуречье: одна мана (по гречески мина) составляла шестьдесят шекелей. Такое объяснение не удовлетворяет нашего любопытства, ибо тотчас же возникает вопрос: а почему в мане шестьдесят шекелей? Не потому ли как раз, что в ходу была шестидесятиричная система? Ведь не потому мы считаем десятками и сотнями, что в рубле сто копеек! Ассириолог Ф. Тюро-Данжен приводит лингвистические аргументы в пользу того, что система счета была первичным явлением, а система мер — вторичным. Выбор числа шестьдесят был, очевидно, исторической случайностью, однако вряд ли можно усомниться, что этой случайности способствовала важная особенность числа шестьдесят: оно имеет необычайно много делителей: 2, 3, 4, 5, 6, 10, 12, 15, 20, 30. Это свойство очень полезно и для денежной единицы (с тех пор как существуют деньги, существует и деление их поровну), и для основаниясистемы счета, если предположить, что какой-то мудрец ввел ее, руководствуясь соображениями удобства вычислений.

Математическая культура вавилонян известна нам по текстам, относящимся к двум периодам: древневавилонскому (1800–1600 гг. до н. э.) и эпохе Селевкидов (305–64 гг. до н. э.). Сравнение их показывает, что в математике вавилонян каких-либо радикальных перемен за эти полтора тысячелетия не произошло.

Вавилоняне изображали единицу узким вертикальным клинышком , а десять — широким горизонтальным . Число 35 выглядело так: . Аналогично изображались числа до 59 включительно. Но 60 изображалось снова узким вертикальным клинышком, таким же, как единица! На самых древних табличках можно видеть, что клинышек, изображающий 60, больше, чем клинышек единицы. Таким образом, число 60 не только понималось как «большая единица», но и изображалось, в буквальном смысле слова, как большая единица. Соответственно появились «большие десятки» для десятикратно увеличенных больших единиц. Затем различие между большими и маленькими клиньями стерлось, они стали распознаваться по своему положению. Так возникла позиционная система. Число 747 = 12 × 60 + 27 вавилонянин записал бы в виде: . Числу 602 = 3600 соответствует третий шестидесятиричный разряд и т. д. Но самое замечательное, что таким же образом вавилоняне изображали и дроби. В числе, следовавшем за числом единиц, каждая единица обозначала 1/60, в следующем за ним числе — 1/3600 и т. д. В современной десятичной записи мы отделяем целую часть от дробной точкой или запятой. Чем же отделяли целую часть от дробной вавилоняне? Ничем! Число могло с равным успехом обозначать и полтора и девяносто. Та же неопределенность имела место и в записи целых чисел: числа n, n × 60, n × 602 и т. д. были неотличимы. Множители или делители, кратные шестидесяти, надо было добавлять по смыслу. Так как 60 — довольно большое число, это к особенным неприятностям не приводило.

Сравнивая вавилонскую позиционную систему с современной, мы видим, что неопределенность в множителе 60 — результат отсутствия знака нуль, который мы приписали бы нужное число раз в конце целого числа или начале дробного. Другим результатом отсутствия нуля является еще более серьезная неопределенность в интерпретации числовой записи, которая соответствует тому случаю, когда мы ставим нули в промежуточных разрядах. В самом деле, как отличить в вавилонской записи число 3601 = 1 × 602 + 0 × 60 + 1 от числа 61 = 1 × 60 + 1? Оба эти числа изображаются двумя единицами. Иногда неопределенность такого рода устранялась путем отодвижения чисел друг от друга с оставлением свободного места для недостающего разряда. Но этот метод не применялся систематически и во многих случаях большой пробел между числами ничего не означал. В астрономических таблицах эпохи Селевкидов встречается обозначение отсутствующего разряда с помощью знака, аналогичного нашей точке (разделитель фраз). В древневавилонскую эпоху ничего подобного мы не находим. Как же умудрялись древние вавилоняне избегать путаницы?

Полагают1, что разгадка состоит в следующем.

Ранние математические тексты вавилонян, дошедшие до нас, представляют собой сборники задач и их решений, созданные несомненно как учебные пособия. Их цель — обучить практическим приемам решения задач. Но ни в одном из текстов не описывается, как производить арифметические действия, в частности такие сложные для своего времени, как умножение и деление. Следовательно, предполагалось, что ученики каким-то образом умеют это делать. Так как совершенно невероятно, чтобы вычисления производились в уме, естественно предположить, что вавилоняне пользовались каким-то счетным прибором типа абака. На абаке числа выступают в своем натуральном, стихийно позиционном виде, а специальный знак для нуля не нужен, ибо бороздка, соответствующая пустому разряду, просто остается без камешков. Представление числа на абаке было основной формой задания числа, и в этом представлении не было никакой неопределенности. Числа, которые приводятся в клинописных математических текстах, играют роль поэтапных ответов, призванных контролировать правильность хода решения. Ученик делал выкладки на абаке и сверялся с глиняной табличкой. Ясно, что такому контролю отсутствие знака для пустых разрядов нисколько не препятствовало. Когда распространились объемистые астрономические таблицы, служащие уже не для контроля, а в качестве единственного источника данных, стали употреблять и разделительный знак для обозначения пустых разрядов. Однако свой «нуль» вавилоняне никогда не ставили в конце числа: очевидно, они его воспринимали именно как разделитель, но не как полноправное число.

Познакомившись с египетской и вавилонской системами записи дробей и действий над ними, греки для астрономических вычислений выбрали вавилонскую, ибо она была несравненно лучше. Но в записи целых чисел они сохранили свою алфавитную систему. Таким образом, греческая система, употреблявшаяся в астрономии, оказалась смешанной: целая часть числа изображалась в десятичной непозиционной системе, дробная часть — шестидесятиричной позиционной.

Не слишком логичное решение для создателей логики! С их легкой руки мы и до сих пор считаем часы и градусы (угловые) десятками и сотнями, а делим их на минуты и секунды.

Зато греки ввели в позиционную систему современный знак 0 — нуль, произведя его, как полагает большинство специалистов, от первой буквы слова ουδεν — «ничто». При записи целых чисел (кроме числа 0) этот знак, естественно, не находил применения, ибо алфавитная система, которой пользовались греки, не была позиционной.

Современную систему записи чисел изобрели индийцы в начале VI в.н.э. Вавилонский позиционный принцип и греческий знак нуль для обозначения пустоты они применили не к основанию 60, а к основанию 10. Система получилась и последовательной, и экономной, и не противоречащей традиции, и чрезвычайно удобной для вычислений.

Индийцы передали свою систему арабам. В Европе позиционная система счисления появилась в XVI в. с переводом знаменитой арабской арифметики ал-Хорезми (ал-Хваризми). Она вступила в жестокую борьбу с традиционной римской системой и в конце концов одержала победу. Однако еще в XVI в. в Германии был издан и выдержал много изданий учебник арифметики, в котором используются исключительно «немецкие», т. е. римские цифры, или, лучше сказать, числа, так как в то время цифрами называли только знаки индийской системы. В предисловии автор пишет: «Я изложил эту счетную книгу обычными немецкими числами на благо и пользу непосвященному читателю (которому сразу трудно будет выучить цифры)». Десятичные дроби в Европе стали употреблять начиная с Симона Стевина (1548–1620).

9.5. Прикладная арифметика


Магистральный путь к современной науке лежит через культуру древней Греции, которая наследовала достижения египтян и вавилонян. Остальные влияния и связи (в частности, передаточная функция, выполненная арабами) были более или менее существенны, но решающего значения, по-видимому, не имели. Истоки египетской и шумеро-вавилонской цивилизаций теряются во мраке первобытных культур. Поэтому в нашем обзоре истории науки мы ограничимся этими тремя культурами древности.

О записи чисел египтянами и вавилонянами мы уже говорили. Надо только добавить несколько слов о том, как египтяне записывали дроби. Система их была с современной точки зрения чрезвычайно оригинальна и столь же неудобна. Египтяне имели специальную форму записи только для так называемых основных дробей, т. е. полученных делением единицы на целое число, и еще двух простых дробей, имевших с древних времен особые иероглифы, а именно 2/3 и 3/4. Впрочем в позднейших папирусах особое обозначение для 3/4 исчезло. Чтобы записать основную дробь, надо было над обычным числом поставить знак , обозначающий «часть», Так = 1/12.

Остальные дроби египтяне разлагали на сумму нескольких основных дробей. Например, 3/8 записывалось как 1/4 + 1/8, а 2/7 в виде 1/4 + 1/28. Для результата деления 2 на 29 египетская таблица давала разложение 2/29 = 1/24 + 1/58 + 1/174 + 1/232.

На технике счета египтян и вавилонян мы останавливаться не будем. Достаточно сказать, что те и другие умели производить четыре действия арифметики над всеми числами (целыми, дробными или смешанными), которые встречались им на практике. Для действий с дробями они пользовались вспомогательными математическими таблицами; это таблицы обратных чисел у вавилонян и таблицы основных дробей — у египтян. Египтяне записывали промежуточные результаты на папирусе, вавилоняне, по-видимому, выполняли действия на абаке, поэтому детали их техники остались неизвестными.

Что же считали древние математики? Есть один отрывок из египетского папируса времен Нового Царства (1500–500 гг. до н. э.), в котором очень образно и с большой дозой юмора описывается деятельность царских писцов и который по этой причине неизменно приводится во всех книгах по истории математики. Не избежим и мы этой участи. Вот этот отрывок2:

Я хочу объяснить тебе, что это такое, когда ты говоришь: «Я, писец, дающий приказы армии»... Я ставлю тебя в тупик, когда приношу тебе повеление от твоего господина, тебе — его царскому писцу... мудрому писцу, поставленному во главе этого войска. Надо сделать наклонную насыпь в 730 локтей длины и 55 локтей ширины; она состоит из 120 отдельных ящиков и покрывается перекладинами и тростником. На верхнем конце она имеет высоту в 60 локтей, а в середине — 30 локтей. Уклон ее дважды по 15 локтей, а настил 5 локтей. Спрашивают у военачальников, сколько понадобится кирпичей, и у всех писцов, и ни один ничего не знает. Все они надеются на тебя и говорят: «Ты искусный писец, мой друг, сосчитай это для нас поскорей. Имя твое славится»... Сколько же нужно кирпичей?

Текст этот, несмотря на свою популярность, не слишком вразумителен. Однако, как бы мы его ни толковали, он дает представление о тех задачах, которые приходилось решать египетским писцам. Мы видим, в частности, что они должны были уметь вычислять (сколь верно — это другой вопрос) площади и объемы. И действительно, египтяне обладали некоторыми познаниями в геометрии. Эти познания, по весьма обоснованному мнению древних греков, возникли в самом Египте. Один из философов школы Аристотеля начинает свое сочинение словами3:

Так как нам необходимо здесь обозреть начало наук и искусств, то мы сообщаем, что геометрия, по свидетельству весьма многих, была открыта египтянами и возникла при измерении Земли. Это измерение было необходимо вследствие разлития реки Нила, постоянно смывавшего границы. Нет ничего удивительного, что эта наука, как и другие, возникла из потребностей человека. Всякое возникающее знание из несовершенного переходит в совершенное. Зарождаясь путем чувственного восприятия, оно постоянно становится предметом нашего рассмотрения и, наконец, делается достоянием нашего разума.

Деление знания на несовершенное и совершенное и определенная извинительная интонация по поводу «низкого» происхождения науки — это, конечно, от греческого философа. Египтяне, как и вавилоняне, не знали ничего подобного. Для них знание было чем-то вполне однородным. Они умели делать геометрические построения и знали формулы для площади треугольника и круга, как умели стрелять из лука и знали свойства целебных трав и даты разлива Нила. Геометрии как искусства выводить «истинные» формулы у них не было, она существовала, по выражению Б. Ван дер Вардена, лишь как раздел прикладной арифметики. Очевидно, при получении формул они использовали некоторые наводящие соображения, однако эти соображения мало кого интересовали. На отношение к формуле они не влияли.

9.6. Познания древних в геометрии


Что же знали египтяне из геометрии? — Правильные формулы для площади треугольника, прямоугольника, трапеции. Площадь неправильного четырехугольника, как можно судить по одному сохранившемуся документу, вычислялась так: полусумма двух противолежащих сторон умножалась на полусумму двух других противолежащих сторон. Формула эта грубо неверна (за исключением того случая, когда четырехугольник прямоугольный и когда она не нужна). Ни в каком разумном смысле ее нельзя назвать даже приближенной. Это, по-видимому, первый зафиксированный историей пример утверждения, которое выводится не из сравнения с опытными данными, а из «общих соображений». Площадь круга египтяне вычисляли, возводя в квадрат 8/9 его диаметра. Это соответствует приближенному значению числа π, отличающемуся примерно на 1% от истинного значения.

Объемы параллелепипедов и цилиндров вычислялись умножением площади основания на высоту. Высшим из известных нам достижений египетской геометрии является правильное вычисление объема усеченной пирамиды с квадратным основанием (Московский папирус). Оно следует формуле

V = (a2 + ab + b2) × h/3,

где h — высота, a и b — стороны верхнего и нижнего основания.

Наши сведения о познаниях древних вавилонян в математике скудны и отрывочны, но общее представление по ним все-таки составить можно.

Совершенно точно известно, что вавилоняне знали «теорему Пифагора», т. е., конечно, не теорему, а самый факт, что сумма квадратов катетов равна квадрату гипотенузы. Как и египтяне, они правильно вычисляли площади треугольников и трапеций. Длину окружности и площадь круга они вычисляли, пользуясь значением π = 3, что гораздо хуже, чем египетское приближение. Объем усеченной пирамиды или конуса вавилоняне вычисляли, умножая полусумму площадей оснований на высоту (неверная формула).

9.7. Арифметика с птичьего полета


Ситуации и представления в нервной системе человека моделируют смену состояний окружающей среды. Языковые объекты моделируют смену ситуаций и представлений. В результате теория является «двухэтажной» языковой моделью действительности (рис. 9.5). Схема использования теории такова. Ситуация Si кодируется языковым объектом Li. Этот объект, конечно, может состоять из множества других объектов и иметь сколь угодно сложную структуру. Объект L1 есть имя для S1. Некоторое время спустя ситуация S1 сменяется ситуацией S2. Осуществляя некоторую языковую деятельность, мы преобразуем L1 в другой объект L2, и, если наша модель правильна, L2 есть имя S2. Тогда, не зная реальной ситуации S2, мы можем получить о ней представление путем декодирования языкового объекта L2. Языковая модель определяется, очевидно, как семантикой объектов Li («материальная часть» по военной терминологии), так и видом языковой деятельности, превращающей L1 в L2.



Рис. 9.5. Двухэтажная языковая модель действительности



Рис. 9.6. Действия над целыми числами

Заметьте, что мы ничего не сказали о «выделении существенных сторон явления», о «причинно-следственной связи» и прочих подобных вещах, которые обычно красуются на почетных местах при описании сущности научного моделирования. И ситуация S1 у нас «не порождает» ситуацию S2, а лишь «сменяется» ею. Это, конечно, не случайно. Нарисованная нами схема логически предшествует упомянутым философским понятиям. Если у нас есть языковая модель, и лишь постольку, поскольку она у нас есть, мы можем говорить о существенных сторонах явления, об идеализации, о причинно-следственной связи и т. п. Все эти понятия, хотя они по внешности предстают как условия создания языковой модели, на самом деле являются лишь описанием в общих терминах (конечно, очень важным и нужным) уже существующих моделей. Хотя эти понятия как-будто бы «объясняют», почему вообще может существовать языковая модель, на самом деле они сами являются элементами языковой модели следующего уровня (иерархии по управлению) и исторически, конечно, появляются позже, чем первичные языковые модели (например, арифметические). Поэтому, прежде чем использовать эти понятия, мы должны констатировать, что языковые модели вообще существуют. И на этом уровне описания нам нечего добавить к схеме на рис. 9.5. «Так бывает» — вот и все.

Как же создаются и развиваются теории? Как и все в мире, по методу проб и ошибок. Если есть отправная точка, то, начиная от нее, человек принимается сооружать языковые конструкции и исследовать, что у него получилось. Фазы конструирования и исследования постоянно сменяют друг друга: конструкция порождает исследование, исследование порождает новые конструкции.

Отправной точкой арифметики является понятие числа (целого). Аспект действительности, который отражает это понятие таков: отношение целого к его частям, способ разложения целого на части. Ту же самую мысль можно выразить и с противоположной стороны: число — способ объединения частей в целое, т. е. в некое множество (конечное). Два числа считаются тождественными, если части (элементы множества) можно поставить во взаимно однозначное соответствие; в установлении этого соответствия и состоит счет. Очевидно, однако, что одних чисел мало для теории, необходимы еще действия над ними — элементы функционирования модели, преобразования L1L2. Возьмем два числа n и m и представим их схематически как два способа разложения целого на части (рис. 9.6,a).

Как из этих двух чисел получить третье, т. е. третий способ разложения целого на части? Сразу приходит на ум два способа, которые можно назвать параллельным и последовательным соединением разложений. При параллельном способе оба целых образуют в качестве частей новое целое (рис. 9.6,b). Это разложение (число) мы назовем суммой двух чисел. При последовательном способе мы берем одно из разложений и каждую его часть разлагаем в соответствии с другим разложением (рис. 9.6,c). Новое число называется произведением. Оно не зависит от порядка производящих чисел. Это очень хорошо видно, если интерпретировать действия над числами не как соединение разложений, а как образование нового множества. Сумма есть, очевидно, результат слияния двух множеств в одно (объединение множеств). Произведение имеет своим прообразом множество сочетаний любого элемента первого множества с любым элементом второго (такое множество называется в математике прямым произведением множеств). Связь этого определения с предыдущим можно проследить таким образом. Пусть первое разложение делит целое A на части a1, a2, ..., an, второе делит B на части b1, b2, …, bm. Сделав первое разложение, пометим буквами ai полученные части. Разлагая каждую часть второго на части bi сохраним первую букву и добавим вторую. Значит, на каждой части результата будет стоять aibj и все эти сочетания будут разные. Подходы от целого к части и от части к целому дополняют друг друга. Из рис. 9.6,c легко увидеть также, что умножение можно свести к повторному сложению.

Конечно, древний человек, создавая арифметику, был далек от этих рассуждений. Но ведь и лягушка не знала, что ее нервная система должна быть устроена по иерархическому принципу! Важно, что это знаем мы.

Имея языковые объекты, изображающие числа, и умея производить над ними сложение и умножение, мы уже получаем теорию, дающую нам работающие модели действительности. Разберем простейший пример, поясняющий схему на рис. 9.5.

Пусть некий земледелец засеял пшеницей поле длиной в 60 шагов и шириной 25 шагов. Допустим, что он ожидает урожая в одну кружку пшеницы с квадратного шага. Прежде чем приступать к уборке, он хочет знать, сколько он получит кружек пшеницы. Здесь S1 — ситуация перед уборкой пшеницы, включающая, в частности, результат измерения длины и ширины поля в шагах и ожидаемую урожайность; S2 — ситуация после уборки, включающая, в частности, результат измерения количества пшеницы кружками; L1 — языковый объект 60 ×25 (знак умножения является таким же отражением ситуации S1, как числа 60 и 25: он отражает структуру множества квадратных шагов на плоскости как прямого произведения множеств линейных шагов в длину и ширину); L2 — языковый объект 1500.

Терминологическое замечание. Под теорией мы понимаем просто языковую модель действительности, дающую нечто новое по сравнению с нейронными моделями. В этом определении не учитывается, что теории могут образовывать иерархию по управлению, да этот факт и трудно отразить без введения математического аппарата. Более общие модели могут порождать более частные модели. Теорию и языковую модель мы будем считать синонимами, но все же, когда речь идет о порождении одной модели другой моделью, мы более общую будем называть теорией, а более частную — моделью.

9.8. Обратный ход модели


Фаза исследования только что созданной теории включает деятельность по двум направлениям. Первое — это всесторонняя проверка теории, сравнение ее с опытом, поиск изъянов. Но допустим, теория хороша. Тогда на первый план выступает второе направление — попытка дать модели «обратный ход», т. е. по заданному L2 определить те или иные особенности L1. Эта процедура отнюдь не лишена практического смысла. Человек использует модель для планирования целенаправленной деятельности, он хочет знать, что ему надо делать, чтобы получить требуемый результат, какое должно быть L1, чтобы получить данное L2. В нашем примере с земледельцем вопрос может быть поставлен, например, так: при известной ширине поля какова должна быть его длина, чтобы получить заданное количество пшеницы?

Однако не всегда исследование обратного хода модели диктуется сиюминутными потребностями практики. Часто это делается из чистого любопытства, по принципу «интересно, что получится?» Тем не менее, результатом такой деятельности будет лучшее понимание устройства и свойства модели и создание новых конструкций и моделей, т. е., в конечном счете, многократно увеличенная польза для практики. В этом состоит высшая мудрость природы, наделившей человека «чистым» любопытством.

В арифметике обратный ход модели приводит к понятию уравнения. Простейшие уравнения порождают операции вычитания и деления. Пользуясь современным алгебраическим языком, мы определяем разность b - a как решение уравнения a + x = b, т. е. такое число x, что это равенство становится верным. Аналогично определяется частное от деления b на a. Операция деления порождает новую конструкцию — дробь. Повторное умножение числа на самое себя порождает конструкцию степени, а обратный ход при наличии этой конструкции — операцию извлечения корня. Это завершает перечень арифметических конструкций, которые были в употреблении у древних египтян и вавилонян.

9.9. Решение уравнений


С развитием техники счета и вообще с развитием цивилизации стали появляться и решаться все более сложные уравнения. Древние не знали, конечно, современного алгебраического языка, они выражали уравнения на обычном разговорном языке подобно тому, как это делается в наших школьных учебниках арифметики. Но это не меняет сущности задач, которые они решали (и так называемых арифметических школьных задач), как задач на решение уравнений.

Величину, подлежащую определению, египтяне называли «аха», что переводят как «некоторое количество» или «куча». Вот пример формулировки задачи из египетского папируса: «количество и его четвертая часть дают вместе 15». Это задача «на части» по современной арифметической терминологии, а на алгебраическом языке она соответствует уравнению

x + 1/4 x = 15.

Приведем пример более сложной задачи египетских времен.

Квадрат и другой квадрат, сторона которого есть 1/2 + 1/4 стороны первого квадрата, имеют вместе площадь 100. Вычисли мне это.

Решение в современных обозначениях:

x2 + (3/4 x)2 = 100, (1 + 9/16) x2 = 100,

5/4x = 10, x = 8, 3/4 x = 6,

Описание решения в папирусе:

Возьми квадрат со стороной 1 и возьми 1/2 + 1/4 от 1, т. е. 1/2 + 1/4 в качестве стороны второй площади. Помножь 1/2 + 1/4 на самое себя, это дает 1/2 + 1/16. Поскольку сторона первой площади взята за 1, а второй за 1/2 + 1/4, то сложи обе площади вместе; это дает 1 + 1/2 + 1/16. Возьми корень отсюда: это будет 1 + 1/4. Возьми корень из данных 100: это будет 10. Сколько раз входит 1 + 1/4 в 10? Это входит 8 раз.

Дальше текст не сохранился, но конец очевиден: 8 × 1 = 8 — сторона первого квадрата, 8 × (1/2 + 1/4) = 6 — второго.

Египтяне умели решать только линейные и простейшие квадратные уравнения с одним неизвестным. Вавилоняне продвинулись гораздо дальше. Вот пример задачи из вавилонских текстов.

Площади двух моих квадратов я сложил: 25 25/60. Сторона второго квадрата равна 2/3 стороны первого и еще 5.

Далее следует совершенно правильное ее решение. Эта задача эквивалентна системе уравнений с двумя неизвестными:

x2 + y2 = 25 25/60, y = 2/3 x + 5.

Вавилоняне умели решать полное квадратное уравнение

x2 ± ax = b,

кубические уравнения

x3 = a и x2 (x + 1) = a,

системы уравнений, подобные приведенной выше, а также вида

x2 ± y = a, xy = b.

Кроме того, они пользовались формулами

(a + b)2 = a + 2ab + b2 и (a + b)(a - b) = a2 - b2,

умели суммировать арифметические прогрессии, знали суммы некоторых числовых рядов и числа, которые впоследствии подучили название пифагоровых (такие целые числа x, y, z, что х2 + у2 = z2).

9.10. Формула


Место древнего Египта и Вавилона в истории математики можно определить следующим образом: в этих культурах впервые появилась формула. Под формулой мы понимаем не только буквенно-цифровое выражение современного алгебраического языка, но вообще всякий языковый объект, являющийся точным (формальным) предписанием, как производить преобразование L1L2 или какие-либо вспомогательные преобразования в рамках языка. Формулы представляют собой важнейшую часть любой развитой теории, хотя, конечно, не исчерпывают ее, ибо в теорию входит еще семантика языковых объектов Li. Утверждение о связи между величинами сторон в прямоугольном треугольнике, содержащееся в теореме Пифагора, — это формула, если даже оно выражено словами, а не буквами. Типовая задача с описанием хода решения («делай так!») и с примечанием, что числа могут быть произвольны (это может быть не высказано, но подразумеваться), — это тоже формула. Именно такие формулы и дошли до нас в египетских папирусах и на вавилонских глиняных табличках.

1 См. замечания И. Н. Веселовского к переводу книги: Ван дёр Варден Б. Пробуждающаяся наука. М.: Физматгиэ, 1959.

2 C небольшими сокращениями.

3 Этот отрывок дошел до нас через Прокла (V в.н.э) — комментатора Евклида.

Глава 10. От Фалеса до Евклида


10.1. Доказательство


Ни в египетских, ни в вавилонских текстах мы не находим ничего, что хотя бы отдаленно было похоже на математическое доказательство. Понятие о доказательстве ввели греки, и это является их величайшей заслугой. Какими-то наводящими соображениями при получении новой формулы люди, очевидно, пользовались и раньше, мы даже приводили пример грубо неверной формулы (для площади неправильных четырехугольников у египтян), явно полученной из внешне правдоподобных «общих соображений». Но только греки стали относиться к этим наводящим соображениям с той серьезностью, которой они заслуживают, стали анализировать эти соображения с точки зрения их убедительности и ввели принцип, согласно которому каждое утверждение, касающееся чисел и фигур (формула), за исключением лишь небольшого числа, должно быть доказано, выведено убедительным, не допускающим сомнений образом из этих «совершенно очевидных» истин. Неудивительно, что именно греки с их демократическим общественным строем создали учение о математическом доказательстве. Споры и доказательство играли важнейшую роль в жизни граждан греческого города-государства (полиса). Понятие о доказательстве уже существовало, оно было общественно значимой реальностью. Осталось только перенести его в область математики, что и было сделано, едва греки познакомились с достижениями древних восточных цивилизаций. Сыграло здесь роль, надо полагать, и то положение молодого любознательного ученика, в котором оказались греки по отношению к египтянам и вавилонянам — своим старшим и не всегда согласным друг с другом учителям. В самом деле, вавилоняне определяют площадь круга по формуле 3r2, а египтяне по формуле (8/9 2r)2 . Где же истина? Здесь есть о чем подумать и поспорить.

Творцы египетской и вавилонской математики остались безымянными. Греки сохранили имена своих мудрецов. Первое из них — имя Фалеса Милетского — является также первым именем, вошедшим в историю науки. Фалес жил в VI в. до н. э. в городе Милете на Малоазиатском побережье Эгейского моря. Одна дата из его жизни установлена твердо: в 585 г. до н. э. он предсказал солнечное затмение. Этот факт, кстати, неоспоримо свидетельствует о знакомстве Фалеса с культурой древних цивилизаций, ибо, чтобы установить периодичность затмений, необходим опыт десятков и сотен лет. Так как у Фалеса не было греческих предшественников, он мог заимствовать свои познания по астрономии только у ученых Востока.



Рис. 10.1. Равнобедренный треугольник

Фалес, как утверждают греки, дал миру первые математические доказательства. В числе доказанных им положений (теорем) называют следующие:

Диаметр делит круг на две равные части.

Углы при основании равнобедренного треугольника равны.

Два треугольника, у которых одинаковы стороны и прилежащие к ней углы, равны.

Кроме того, он первый дал построение круга, описанного вокруг прямоугольного треугольника (и в честь этого открытия, как говорят, принес в жертву быка).

Простейший характер указанных теорем, их интуитивная очевидность показывают, что Фалес полностью осознавал значение доказательства как такового. Эти теоремы, явно доказывались не потому, что были сомнения в их истинности, а с целью положить начало систематическому нахождению доказательств, разработать технику доказательства. Имея такую цель, естественно начинать с доказательства самых простых предложений.

Пусть треугольник ABC равнобедренный (рис. 10.1), т. е. сторона AB равна стороне BC. Разделим угол ABC линией BD на две равные части. Перегнем мысленно наш чертеж по линии BD. Так как угол ABD равен CBD, линия BA ляжет на линию BC, а так как длины отрезков AB и BC равны, точка A ляжет на точку C. Поскольку точка D остается на месте, углы BCD и BAD должны быть равны. Если раньше нам только казалось, что углы BCD и BAD одинаковы (так, вероятно, говорил своим согражданам Фалес), то теперь мы доказали, что эти углы необходимо и с абсолютной точностью должны быть равны (тогда говорили «подобны») друг другу, т. е. совмещаться при наложении.


Рис. 10.2. Построение окружности, описанной вокруг прямоугольного треугольника

10.2. Классический период


Итак, несколько дополнительных точек и линий на чертеже, цепочка логических рассуждений — и в результате из простых и очевидных истин мы получаем истины далеко не простые и далеко не очевидные, в справедливости которых, однако, никто не может ни на минуту усомниться. Это стоит того, чтобы принести в жертву богам быка! Можно представить себе восторг, который испытали греки, совершив такое открытие. Они напали на золотую жилу и с усердием принялись ее разрабатывать. Уже во времена Пифагора (550 г. до н. э.) занятия математикой были очень распространены среди людей, обладавших досугом, и считались делом благородным, почетным и даже священным. Достижения и открытия, одно другого чудеснее, посыпались как из рога изобилия.

Возникновение доказательства — это метасистемный переход в рамках языка. Формула перестает быть вершиной языковой деятельности, появляется новый класс языковых объектов — доказательства и новый вид языковой деятельности, направленный на исследование и производство формул. Это новый этаж иерархии по управлению, и его появление вызывает огромный рост числа формул (закон разрастания предпоследнего уровня).

Метасистемный переход всегда означает качественный скачок, взлет на новую ступень, бурное взрывоподобное развитие. Математика стран Древнего Востока оставалась почти неизменной на протяжении одного-двух тысячелетий, и наш современник читает о ней со снисхождением взрослого к ребенку. Греки же за одно-два столетия создали всю геометрию, над изучением которой трудятся в поте лица наши старшеклассники. И даже больше, ибо школьная программа по геометрии охватывает лишь часть достижений культуры (до 330 г. до н. э.). Вот краткая летопись математики классического периода.

585 г. до н. э. Фалес Милетский. Первые геометрические теоремы.

550 г. до н. э. Пифагор и его последователи. Теория чисел. Учение о гармонии. Построение правильных многогранников. Теорема Пифагора. Открытие несоизмеримых отрезков. Геометрическая алгебра. Геометрические построения, эквивалентные решению квадратных уравнений.

500 г. до н. э. Гиппас-пифагореец, который должен был порвать со своими товарищами, так как делился с посторонними людьми своими знаниями и открытиями (у пифагорейцев это запрещалось). Он дал, в частности, построение шара, описанного вокруг додекаэдра.

430 г. до н. э. Гиппократ Хиосский (не путать с врачом Гиппократом из Коса). Считался самым знаменитым геометром V в. до н. э. Занимался квадратурой круга, осуществляя сложные геометрические построения. Ему известна связь между вписанными углами и дугами, построение правильного шестиугольника, обобщение теоремы Пифагора для тупоугольных и остроугольных треугольников. Все это для него, видимо, уже азбучные истины. Он может квадрировать любой многоугольник, т. е. построить для него квадрат равной площади.

427–348гг. до н. э. Платон. Он сам хотя и не получал новых математических результатов, но математику знал, и она играла важную роль в его философии точно так же, как философия Платона сыграла важную роль в математике. Крупнейшие математики своего времени: Архит, Теэтет, Евдокс и другие были друзьями Платона, его учениками в области философии и учителями в области математики.

390 г. до н. э. Архит Тарентский. Стереометрическое решение задачи об удвоении куба, т. е. построение куба с объемом, равным удвоенному объему данного куба.

370 г. до н. э. Евдокс Книдский. Изящная, логически безукоризненная теория пропорций, вплотную подходящая к современной теории действительного числа. «Метод исчерпывания», лежащий в основе современного понятия об интеграле.

384–322 гг. до н. э. Аристотель. Он положил начало логике и физике. Труды Аристотеля обнаруживают полное владение математическим методом и знание математики, хотя он, подобно своему учителю Платону, и не сделал в ней никаких открытий. Аристотель-философ немыслим без Аристотеля-математика.

300 г. до н. э. Евклид. Он живет уже в новую Александрийскую эпоху. В своих знаменитых «Началах» Евклид собрал и систематизировал все важнейшие труды по математике, существовавшие в конце IV в. до н. э., и изложил их в том же духе, как это было принято в школе Платона. В течение более чем двух тысячелетий школьные курсы геометрии следуют, с большей или меньшей степенью точности, «Началам» Евклида

10.3. Философия Платона


Что такое математика? О чем эта наука? Эти вопросы стали задавать греки, начав сооружать основанное на доказательствах здание математики, ибо ореол абсолютной достоверности, чуть ли не священности математического знания, который оно приобрело благодаря наличию доказательств, сразу же выделил его на фоне остальных, обыденных, житейских познаний. Ответ был дан платоновской теорией идей. Эта теория легла в основу всей греческой философии, определила стиль и образ мышления образованных греков и оказала огромное влияние на дальнейшее развитие философии и науки греко-римско-европейской культуры. Логику, которая привела Платона к его теории, установить нетрудно. О чем идет речь в математике? О точках, линиях, прямоугольных треугольниках и т. д. Но существуют ли в природе точки, не имеющие размеров. Или абсолютно прямые и бесконечно тонкие линии? Или в точности равные отрезки, углы, площади? Ясно, что нет. Выходит, что математика изучает несуществующие, воображаемые вещи, что это наука ни о чем. Но согласиться с этим было бы никак невозможно. Во-первых, математика приносила неоспоримую практическую пользу. Правда, Платон и его последователи относились к практике с презрением, но это было уже логическим следствием философии, а не ее посылкой. Во-вторых, всякий человек, изучающий математику, совершенно ясно чувствует, что имеет дело с реальностью, а не с фикцией, и никакими логическими доводами искоренить это ощущение невозможно. Следовательно, объекты математики реально существуют, но не как материальные предметы, а как образы, или идеи, потому что слово идея (ίδєα) по-гречески и означало образ, вид1. Идея существует вне мира материальных вещей и независимо от него. Чувственно воспринимаемые материальные вещи суть лишь несовершенные и временные копии (или тени) совершенных и вечных идей. Утверждение о реальном, объективном существовании мира идей и составляет сущность учения Платона («платонизма»).

Попытки как-то конкретизировать представления о мире идей и его взаимодействии с материальным миром вызывали в среде платоников (на протяжении многих столетий) безнадежно неразрешимые споры. Сам Платон умудрился остаться неуязвимым, избегая конкретизации и пользуясь языком метафорическим и поэтическим. Впрочем, уже ему пришлось вступить в полемику со своим учеником Евдоксом, который не только доказывал математические теоремы, но еще и отстаивал утверждение, что идеи «примешиваются» к чувственно воспринимаемым вещам, обусловливая их свойства.

Понятия математики не являются единственными обитателями «мира идей» Платона. Всякое общее понятие претендует на место в этом мире. Рассуждение, обосновывающее эту претензию, таково. В нашем языке существуют слова и словосочетания для обозначения единичных понятий, например имена собственные: остров Самос, Афины, Гиппократ. Откуда у нас возникают эти понятия? Из чувственного восприятия соответствующих вещей. Но есть у нас и общие понятия: человек, дерево и т. п. Откуда же у нас берутся эти понятия? Ведь путем чувственного восприятия мы постигаем только конкретные понятия: данный человек, данное дерево и т. д. Если вещи порождают у нас конкретные понятия, то что же порождает общие понятия? Ответ Платона гласит: идеи; идея человека, идея дерева и т. д.

Существование мира идей обеспечивает математике прочное и высокое положение — она становится наукой об идеях. Чувственный опыт дает нам несовершенное, приблизительное знание о несовершенных, приблизительных воплощениях идей. Доказательства математики дают совершенное знание о самих идеях. «При помощи математики, — пишет Платон, — очищается и получает новую жизненную силу орган души, в то время как другие занятия уничтожают его и лишают способности видеть, тогда как он значительно более ценен, чем тысяча глаз, ибо только им одним может быть обнаружена истина».

Под влиянием идеализма Платона математики древней Греции стремились изгнать из своей науки все, что можно истолковать как обращение к данным чувственного опыта. С одной стороны, это имело положительные последствия, так как способствовало разработке техники доказательства и привело к созданию понятия о дедуктивной теории. Греки старались сделать доказательства логически безукоризненными, исключить из них сомнительные выводы и неявные допущения, апеллирующие к наглядности. Они доказывали, а не показывали. Число явных допущений они стремились свести к минимуму, оставить из них лишь те, которые можно было считать выражением свойств «самих идей», ане вещей, т. е. свойств, открывающихся разуму, «внутреннему взору», а не органам чувств. Эти допущения включались в определения исходных понятий или, точнее, слов, ибо понятия (идеи) существовали для греков как объективная реальность, независимая от всяких слов, а определения нужны были лишь для того, чтобы не ошибиться в установлении соответствия между словами и понятиями. Так что явные допущения, делаемые греческими математиками, представлялись им не определениями в современном смысле слова (согласно которому определение порождает математический объект), а просто указаниями на те из истинных свойств реально существующих идей, которые постигаются разумом легче, чем другие, — без вспомогательных рассуждений. Если исключить это отличие и вытекающие из него вольности в обращении с элементарнейшими свойствами геометрических фигур, то в остальном греческая математика удовлетворяет самым высоким современным стандартам; в соотношении логической обоснованности понятий и строгости вывода она несравненно выше, чем европейская математика до середины XIX в. С другой стороны, образ мышления, выраженный в философии Платона, имел и отрицательное влияние. Прежде всего, он приводил к определенному «чистоплюйству» греческих ученых, нежеланию заниматься проблемами, имеющими прикладное, практическое значение. Это пренебрежение распространялось даже на приближенные вычисления. «Приближенными вычислениями стыдно заниматься свободному человеку, они — удел раба», — говорилось в то время. Действительно, приближенные вычисления не приводят к истинным соотношениям, а значит, и не имеют никакого отношения к миру идей; это занятие того же рода, как возделывание масличных деревьев или торговля оливковым маслом. Такая позиция, конечно, ограничивала приток новых задач и идей, способствовала канонизации и регламентации научной мысли, сдерживая тем самым ее развитие. Но, сверх этого, платонизм имел и более конкретное отрицательное влияние на математику, помешав грекам создать алгебраический язык. Это смогли сделать только менее вышколенные и более практичные европейцы. Ниже мы более подробно рассмотрим историю создания современного алгебраического языка и тормозящую роль платонизма, но сначала поговорим об ответах, которые дает современная наука на вопросы, поставленные в платоновское время, и о том, как выглядят ответы, данные Платоном, в исторической ретроспективе.

10.4. Что такое математика?


Для нас математика — это прежде всего язык, позволяющий создавать определенного рода модели действительности — математические модели. Как и в любом другом языке (или ответвлении языка), языковые объекты математики — математические объекты — суть материальные предметы, фиксирующие определенные функциональные единицы — математические понятия. Когда мы говорим, что объекты «фиксируют функциональные единицы», мы понимаем под этим, что человек, используя распознающие способности своего мозга, совершает над этими объектами или в связи с ними определенную языковую деятельность. Ясно, что не конкретный вид (форма, вес, запах) математического объекта играет роль в математике, а именно языковая деятельность, с ним связанная. Поэтому термины «математический объект» и «математическое понятие» часто употребляют как синонимы. Языковая деятельность в математике естественным образом распадается на две части: установление связи между математическими объектами и неязыковой реальностью (эта деятельность определяет семантику математических понятий) и преобразования внутри языка — математические выкладки и доказательства. Математической деятельностью обычно называют только вторую часть, а первую называют приложением математики.

Точки, линии, прямоугольные треугольники и прочее — все это математические объекты, это предметы, которые образуют наши геометрические чертежи или стереометрические модели: пятна краски, шарики из пластилина, проволочки, куски картона и т. п. Семантика этих объектов известна: точка, например, это объект, размерами и формой которого можно пренебречь. Таким образом, «точка» — это просто абстрактное понятие, характеризующее отношение объекта к его окружению. В некоторых случаях мы всю нашу планету рассматриваем как точку. Но когда мы строим математическую (геометрическую) модель, мы обычно наносим на бумагу маленькое пятнышко краски и говорим: «пусть дана точка A». Это пятнышко краски и есть языковый объект Li, а планета Земля может оказаться в роли соответствующего объекта Ri. Никаких других, «настоящих» или «идеальных», т. е. не имеющих размеров, точек нет. Часто говорят, что «настоящих» точек нет в природе, но они существуют в нашем воображении. Это ходячее высказывание либо абсолютно бессмысленно, либо ложно — в зависимости от того, как его толковать. В любом случае оно приносит вред, так как затемняет суть дела. Никаких «настоящих» точек в нашем воображении нет и быть не может. Когда мы говорим, что представляем себе точку, мы просто представляем очень маленький предмет. Можно вообразить только то, что можно составить из данных чувственного опыта. Да и то далеко не все. Число тысяча, например, вообразить нельзя. И большие числа, и идеальные точки, и линии существуют не в нашем воображении, а в нашем языке — как языковые объекты, с которыми мы обращаемся определенным образом. В этих правилах обращения и проявляется сущность математических понятий, в частности «настояшесть» точки: размеры точек на чертеже не влияют на ход доказательства, а если надо поставить две точки так близко, что они сольются в одну, мы можем увеличить масштаб.

Но разве не свойственна утверждениям математики абсолютная точность и достоверность, резко отличающая их от содержания эмпирического знания, по преимуществу приблизительного и гипотетического? Путем измерения мы можем обнаружить, что два отрезка примерно равны, но никогда, что они равны в точности; такие утверждения — привилегия математики. На основании многовекового опыта человечества мы каждый вечер после захода Солнца можем предсказать, что завтра рано утром оно взойдет вновь. Но это предсказание — всего лишь гипотеза, хотя и весьма вероятная. Не исключена возможность, что где-то в недрах Солнца или вне его назревает космическая катастрофа неизвестной природы, в результате которой Солнце погаснет или развалится на части. Когда же мы говорим, что если к двум прибавить два, то будет четыре, или что уравнение x2 = 2 не имеет рациональных решений, мы убеждены, что эти предсказания абсолютно достоверны и будут верны всегда и всюду, если даже не только Солнце, но и вся Галактика развалится на кусочки. Мы просто не можем представить себе, чтобы было иначе. Существует, следовательно, различие между математическими моделями действительности и другими моделями, составляющими содержание нашего житейского опыта и естественных наук. Какова же природа этого различия?

10.5. Точность сравнения величин


Легко видеть, что абсолютная точность сравнения измеримых объектов в математике и абсолютная однозначность математических утверждений являются просто следствием того, что язык математики представляет собой дискретную кибернетическую систему. В самом ли деле дискретную? По отношению к арифметике, алгебре и вообще к языку символов это не вызывает сомнения. Если головку у двойки увеличить или уменьшить, от этого она не превратится ни 2,01, ни в 1,99. Текст из N символов — это кибернетическая система из N подсистем, каждую из которых можно представлять себе в виде клеточки, содержащей символ; пусть полное число различных символов есть n, тогда каждая подсистема может находиться в одном из n состояний. Но геометрический язык — язык фигур — на первый взгляд представляется непрерывной системой. Линии на чертеже могут иметь произвольную длину, образовывать произвольные углы и т. д. И все же в действии геометрический язык оказывается дискретной системой. Детали геометрического чертежа такие, как значения длины отрезков и величин углов, не играют роли ни для хода доказательства, ни для декодирования чертежа. Существенны лишь такие особенности чертежа, как: пересекаются ли две данные прямые, проходит ли данная прямая через данную точку, лежит ли данная точка на пересечении данной прямой и данной окружности и т. п. Всю эту информацию можно закодировать текстом с помощью какой-либо специальной системы обозначений или просто на русском языке. Язык геометрии можно сравнить с языком игры в шахматы. Шахматные фигуры никогда не занимают строго центральное положение в квадратах шахматной доски, могут даже отчасти вылезать за пределы своего квадрата, но это никак не влияет на ходы, которые можно делать фигурами.

Утверждения об абсолютно точном равенстве отрезков, углов и т. п. это просто некоторые состояния системы «геометрический язык». Так как эта система дискретна и детерминированна — при условии соблюдения правил логического вывода, то, если из условий задачи следует, что AB = BC, мы неизменно будем получать этот результат, сколько бы раз ни повторяли доказательство (предполагается, конечно, что система аксиом не противоречива — только такие системы имеют право на существование в математике). Поскольку условие задачи уже формулируется на геометрическом языке, весь путь от условия к результату есть синтаксическое преобразование L1L2 внутри дискретной языковой системы. Совсем другой статус имеют утверждения эмпирического языка. Сам по себе этот язык, конечно, тоже дискретен, но эмпирические утверждения отражают семантические преобразования L1S1 выводящие нас в область неязыковой действительности, которая не является ни дискретной, ни детерминированной. Когда мы говорим, что два стержня имеют равную длину, это означает, что процесс их измерения будет всякий раз давать одинаковый результат. Однако из опыта известно, что, имея возможность неограниченно повышать точность измерения, мы рано или поздно обязательно получим разнящиеся значения длины, поэтому эмпирическое утверждение об абсолютно точном равенстве вообще лишено смысла. Другие утверждения эмпирического языка, которые имеют смысл и могут быть выражены на языке исчисления предикатов, например «стержень номер 1 меньше, чем стержень номер 2», обладают той же «абсолютной точностью», являющейся тривиальным следствием дискретности языка, что и математические утверждения о равенстве отрезков: это утверждение либо «в точности» истинно, либо «в точности» ложно. Однако из-за вариаций процесса измерения ни то, ни другое не является абсолютно достоверным.

10.6. Достоверность утверждений математики


Теперь о достоверности математических утверждений. Платон выводил ее из идеальности предмета математики, из того факта, что математика не опирается на призрачные и переменчивые данные чувственного опыта. Чертежи и символы, по Платону, являются лишь вспомогательным средством для математики, настоящие объекты, с которыми он оперирует, содержатся в его воображении и представляют собой результат восприятия разумом мира идей подобно тому, как чувственный опыт есть результат восприятия органами чувств материального мира. Нельзя не согласиться с тем, что воображение играет в работе математика решающую роль (как, впрочем, и во всех областях творческой деятельности). Правда, говорить, что математические объекты содержатся в воображении не совсем правильно: в основном они все-таки содержатся в чертежах и текстах, а воображение выхватывает их лишь небольшими частями. Мы не содержим, а, скорее, пропускаем математические объекты через воображение, и свойства нашего воображения определяют функционирование математического языка. Что же касается источника, определяющего содержание нашего воображения, то тут мы фундаментально расходимся с Платоном: источником является тот же чувственный опыт, что и в эмпирических науках. Поэтому математика создает — хотя и через посредство воображения — модели все того же, единственно существующего (насколько нам известно) мира, в котором мы живем.



Рис. 10.3. Построение равностороннего треугольника

Надо сказать, что греческие математики, создав изумительное по красоте здание логически строгих доказательств, все же оставили в нем ряд дырок, причем дырки эти лежат, как мы уже отмечали, в самых нижних этажах здания — в области определений и элементарнейших свойств геометрических фигур. А это и свидетельствует о завуалированном обращении к столь презираемому платониками чувственному опыту. Математика времен Платона дает даже более яркий материал, чем современная математика, для опровержения тезиса о её независимости от опыта.

Первое доказываемое предложение первой книги Евклида содержит способ построения равностороннего треугольника по заданной его стороне. Способ таков (рис. 10.3). Пусть AB — заданная сторона треугольника. Из точки A, взятой в качестве центра, опишем окружностьπA радиуса AB. Такую же окружность (πB) опишем из точки B. Обозначим через C любую из точек пересечения этих окружностей. Треугольник ABC равносторонний, ибо AC = = AB.

В этом рассуждении есть логическая дырка: откуда следует, что построенные нами окружности вообще пересекутся? Вопрос этот чрезвычайно каверзный, ибо факт наличия точки пересечения C нельзя отнести ни к свойствам окружности, ни даже к свойствам пары окружностей (ибо они отнюдь не всегда пересекаются); мы имеем здесь дело с более специфическим свойством данной ситуации. Вероятно, Евклид чувствовал наличие здесь дырки, но не нашел, чем ее заткнуть.

Откуда же у нас уверенность, что окружности πA и πB пересекаются? В конечном счете, разумеется, из опыта. Из опыта созерцания и рисования прямых, окружностей и линий вообще. Из безуспешных попыток провести окружности πA и πB таким образом, чтобы они не пересекались.

Итак, мнение Платона о полной независимости, современной ему математики от опыта нельзя признать обоснованным. Однако вопрос о природе математической достоверности требует дальнейшего исследования, ибо просто сослаться на опыт и приравнять тем самым математическую достоверность эмпирической достоверности значило бы броситься в крайность, противоположную платонизму. Ведь мы ясно ощущаем, что математическая достоверность чем-то отличается от эмпирической. Чем же?

Утверждение, что окружности радиуса AB с центрами в A и B пересекаются (мы будем для краткости обозначать это утверждение через E1), представляется нам если не совсем, то почти абсолютно достоверным, мы просто не можем себе представить, чтобы они не пересеклись. Не можем себе представить... Этим-то и отличается математическая достоверность от эмпирической! Когда мы говорим о завтрашнем восходе солнца, мы можем представить, что солнце не взойдет. И только на основании опыта мы полагаем, что оно, вероятно, взойдет. Здесь есть две возможности, и предсказание, какая из них осуществится, имеет вероятностный характер. Когда же мы говорим, что дважды два — четыре и что окружности, построенные так, как было указано выше, пересекаются, мы не можем представить, чтобы было иначе. Мы не видим другой возможности, поэтому и утверждения эти воспринимаем как абсолютно достоверные и независимые от конкретных наблюденных нами фактов.

10.7. В поисках аксиом


Для понимания природы математической достоверности очень поучительно довести до конца разбор утверждения E1. Поскольку у нас все-таки остались некоторые сомнения относительно абсолютной необходимости пересечения окружности на рис. 10.3, попробуем представить себе ситуацию, когда они не пересекаются. Полная неудача этой попытки будет означать, что утверждение E1 математически достоверно и не может быть разложено на более простые утверждения; тогда его следует принять в качестве аксиомы. Если же нам ценой большего или меньшего насилия над воображением удастся представить себе ситуацию, в которой πA и πB не пересекаются, эта ситуация, надо полагать, придет в противоречие с какими-то более простыми и глубокими утверждениями, обладающими математической достоверностью; тогда мы их и примем за аксиомы, а наличие противоречия будет служить доказательством E1. Таков обычный путь к установлению аксиом в математике.


Рис. 10.4. «Перескакивающие» окружности

10.8. Об аксиомах арифметики и логики


Первичные положения арифметики принципиально имеют ту же природу, что и первичные положения геометрии, но они, пожалуй, еще проще и очевидней, их отрицание еще более невообразимо, чем отрицание геометрических аксиом. Возьмем, например, аксиому, гласящую, что для любого числа a

a + 0 = a.

Число 0 изображает пустое множество. Можете ли вы представить себе, что от слияния некоторого множества с пустым множеством число элементов в нем изменится? Или вот еще одна арифметическая аксиома: для любых чисел a и b

a + (b + 1) = (a + b) + 1,

т. е. если единицу прибавить к числу b и результат сложить с а, то получим такое же число, как если бы мы сначала сложили a и b, а затем к результату прибавили единицу. Если проанализировать, почему мы не можем вообразить ситуацию, противоречащую этому утверждению, то мы увидим, что дело в тех же соображениях непрерывности, которые проявляются и в геометрических аксиомах. В процессе счета мы как бы проводим непрерывные линии, соединяющие считаемые предметы с элементами стандартного множества и, конечно, линии во времени (вспомним происхождение понятия «предмет»), непрерывность которых обеспечивает тождественность числа самому себе.

Естественный звуковой язык при перенесении его на бумагу порождает линейный язык, т. е. такую систему, все подсистемы которой суть линейные последовательности знаков. Знаки — это предметы, относительно которых предполагается только то, что мы умеем отличать одинаковые (тождественные) знаки от различных. Линейность естественных языков является результатом того, что звуковой язык развертывается во времени, а отношение следования во времени легко моделируется отношением порядка расположения на пространственной прямой. Специализация естественного языка привела к созданию математического линейного знакового языка, который в настоящее время образует основу математики.

Действуя в рамках линейных знаковых языков, мы постоянно пользуемся некоторыми их свойствами, которые представляются нам столь очевидными и само собой разумеющимися, что мы даже не даем себе труда сформулировать их в виде аксиом. Возьмем для примера такое утверждение: если к символу (знаку) B приписать слева символ A, а справа — символ C, то получится такое слово (последовательность знаков), как если к A приписать справа В, а затем C. Это и ему подобные утверждения обладают математической достоверностью, ибо мы не можем себе представить, чтобы было иначе. Один из разделов современной математики — теория полугрупп — изучает свойства линейных знаковых систем с аксиоматической точки зрения и простейшие из их свойств объявляет аксиомами.

И геометрические, и арифметические, и линейно-знаковые аксиомы имеют одну и ту же природу и опираются, в сущности, на одни и те же фундаментальные понятия, такие как тождество, движение, непрерывность, порядок. Никакой принципиальной разницы между этими группами аксиом нет. И если выбирать для них какой-то один термин, то их следовало бы назвать геометрическими или геометрически-кинематическими, так как все они отражают свойства нашего пространственно-временного опыта и пространственно-временного воображения. Более или менее значительное различие можно обнаружить лишь в группе «собственно геометрических» аксиом: некоторые аксиомы, касающиеся прямых и плоскостей, отражают более специфический опыт, связанный с существованием твердых тел. То же относится, по-видимому, и к метрическим понятиям. Впрочем, и это различие довольно условное. Можем ли мы говорить что-нибудь всерьез о тех понятиях, которые мы имели бы, если бы в мире не было твердых тел?

До сих пор речь шла лишь об абсолютной достоверности аксиом. А откуда у нас уверенность в достоверности утверждений, полученных из аксиом путем логического вывода?

Из того же источника: наше воображение отказывается допускать ситуацию, когда путем логического вывода мы из верных посылок получаем неверные результаты. Логический вывод состоит из последовательных шагов. На каждом шаге мы, опираясь на предшествующие утверждения, получаем новое утверждение. Из разбора формального логического вывода, который мы отложим до следующей главы, будет видно, что наша уверенность в том, что на каждом шаге мы из истинных утверждений можем получить только истинное утверждение, основывается на логических аксиомах2, которые представляются нам столь же достоверными, как и рассмотренные выше математические аксиомы, и по той же причине - абсолютной невообразимости противоположной ситуации.

Имея эту уверенность, мы приобретаем уверенность, что сколько бы шагов ни содержал бы логический вывод, он все равно будет обладать этим свойством. Здесь мы используем следующую важнейшую аксиому.

Аксиома индукции: Допустим, что функция f(x) оставляет неизменным свойство Р(х), т. е.

(∀х){P(x)) ⊃ P[f(x)]}.

Обозначим через fn(x) результат последовательного n-кратного применения функции f(x), т. е.

f1(x) = f(x), fn(x) = f[fn(x)].

Тогда при любом n функция fn(x) также оставляет неизменным свойство P(x), т. е.

(∀n)(∀х){P(x) ⊃ P[fn(x)]}.

По своему происхождению и характеру логические аксиомы и аксиома индукции (которую относят к арифметике, так как она включает понятие числа) ничем не отличаются от остальных аксиом: все они суть математические аксиомы. Различие существует лишь в характере их использования. Когда математические аксиомы применяются к математическим утверждениям, они становятся элементами метасистемы. в рамках системы математически достоверных утверждений и мы называем их логическими аксиомами. Благодаря этому система математически достоверных утверждений становится способной к развитию. Великое открытие греков состояло в том, что можно прилагать достоверное к достоверному, и получать таким образом новое достоверное.

10.9. Сваи, уходящие вглубь


Описание математических аксиом как моделей действительности, которые истинны не только в сфере реального опыта, но и в сфере воображения, опирается на их субъективное восприятие. Можно ли дать им более объективную характеристику. Воображение возникает на определенном этапе развития нервной системы как произвольное ассоциирование представлений. Предыдущим этапом был этап непроизвольного ассоциирования (уровень собаки). Естественно предположить, что переход от непроизвольного ассоциирования к произвольному не произвел существенной перемены в том материале, который имеется в распоряжении ассоциирующей системы, т. е. в представлениях, образующих ассоциации,— это следует из иерархического принципа устройства и развития нервной системы, при котором надстройка верхних этажей слабо влияет на нижние. Из того же принципа следует, что в процессе предыдущего перехода — от фиксированных понятий к непроизвольному ассоциированию — самые нижние уровни системы понятий остались неизменными и обусловили те всеобщие глубокие свойства представлений, которые были в наличии и до ассоциирования и которые ассоциирование изменить не может. Не может изменить их и воображение. Эти свойства инвариантны относительно преобразований, осуществляемых воображением. На них-то и опираются математические аксиомы. Если представить себе деятельность воображения как перетасовку и склейку каких-то элементов, «кусков» чувственного восприятия, то аксиомы — это модели, которые истинны для каждого куска и поэтому — для любой их комбинации. Способность воображения разрезать чувственный опыт на куски не безгранична, ибо, возникая на некотором этапе развития, оно принимает уже существующую систему понятий как некий фон, как основу, не подлежащую переделке. Такие глубокие понятия, как движение, тождество, непрерывность, заложены были в этом фоне, поэтому и модели, опирающиеся на эти понятия, оказываются универсально истинными не только для реального опыта, но и для любых конструкций, которые способно создать воображение. Математика образует каркас здания естественных наук. Ее аксиомы — это сваи, уходящие в самую глубь нейронных понятий, ниже того уровня, где начинает хозяйничать воображение. Отсюда та прочность основы, которая отличает математику от эмпирического знания. Она пренебрегает поверхностными ассоциациями, составляющими каждодневный жизненный опыт, предпочитая продолжать строительство костяка системы понятий, начатого природой и заложенного в нижние уровни иерархии. И уже на этом костяке будут образовываться «необязательные» модели, которые мы относим к естественным наукам, как на базе врожденных и «обязательных» понятий низшего уровня образуются «необязательные» ассоциации представлений, составляющие содержание жизненного опыта. Требования, диктуемые математикой, обязательны; строя модели действительности, мы не можем обойти их, если бы даже захотели. Поэтому возможную неистинность теории мы всегда выносим за пределы сферы действия математики. Если обнаруживается расхождение между теорией и экспериментом, изменяют внешнюю, «необязательную» часть теории, но никому не приходит в голову высказать предположение, что в данном случае оказалось неверным равенство 2 + 2 = 4.

«Обязательность» классических математических моделей не противоречит появлению математических и физических теорий, которые, на первый взгляд, вступают в конфликт с нашей пространственно-временной интуицией (например, неевклидова геометрия или квантовая механика). Эти теории суть языковые модели действительности, полезность которых проявляется не в сфере повседневного опыта, а в весьма специальных ситуациях. Они не разрушают и не заменяют классических моделей, а продолжают их. Так, квантовая механика опирается на классическую. А какая теория может обойтись без арифметики? Парадоксы и противоречия возникают тогда, когда мы забываем, что понятия-конструкты, входящие в новую теорию, это — новые понятия, если даже их обозначают старыми именами. Мы говорим о «прямой» в неевклидовой геометрии и называем электрон «частицей», хотя языковая деятельность, связанная с этими словами, — доказательство теорем и квантово-механические выкладки — совсем не такая, как в прежних теориях, из которых были заимствованы термины. Если дважды два не равно четырем, то либо два — не два, либо «жды» — не «жды», либо четыре — не четыре.

Особую роль математики в процессе познания можно выразить в виде утверждения, что математические понятия и аксиомы представляют собой не результат, а условие и форму познания действительности. Эта мысль была развита Кантом, и с ней можно согласиться, если рассматривать человека как полностью данное существо и не задавать себе вопроса: а почему человеку свойственны эти условия и формы познания? Но, задав этот вопрос, мы должны прийти к выводу, что они сами являются моделями действительности, выработанными в процессе эволюции (который в одном из важных своих аспектов есть не что иное, как процесс познания мира живыми структурами). С точки зрения законов природы принципиальной разницы между математическими и эмпирическими моделями нет; это разграничение отражает лишь наличие в устройстве человеческого мозга черты, отделяющей врожденные модели от благоприобретенных. Положение этой черты, надо полагать, содержит элемент исторической случайности. Проходи она в другом уровне, мы, возможно, были бы не в силах вообразить, что солнце может не взойти или что человек может парить над землей, как будто силы тяжести не существует.

10.10. Платонизм в ретроспективе


Идеализм Платона — результат своеобразной проекции элементов языка в действительность. «Идеи» Платона имеют то же происхождение, что и духи первобытного мышления, — это воображаемые значения реально существующих имен. На первых этапах развития критического мышления еще не существует правильного понимания природы абстрагирования и взаимоотношения между языковыми объектами и неязыковой деятельностью. Первобытный комплекс имя-значение еще навязывает представление о взаимно однозначной связи между именем и значением. Для слов, обозначающих определенный, единственный предмет, взаимная однозначность как будто имеет место, ибо предмет мы представляем себе как что-то одно. А как быть с общими понятиями (универсальными)? В сфере реально существующего для значений вообще не остается места, все расхватано «единичными» понятиями — ведь к каждому предмету можно подкрепить бирку с именем. Образующуюся пустоту и заполняет «идея». Подчеркнем, что идеализм Платона отнюдь не включает утверждения о примате духовного над материальным, т. е. не является спиритуализмом (этот термин, широко используемый в западно-европейской литературе, у нас мало употребителен и часто заменяется термином «идеализм», что приводит к неточностям). Духовный опыт, по Платону, это такая же эмпирия, как чувственный опыт, и никакого отношения к миру идей не имеет. «Идеи» Платона — чистые призраки, причем призраки, порожденные не духовным, а чувственным опытом.

С современной кибернетической точки зрения единичным понятием можно считать только строго определенную, единичную ситуацию, т. е. указание всех рецепторов, образующих вход нервной системы. Нечего и говорить, что субъективно мы совершенно не осознаем единичных, в этом смысле, понятий. Близкие ситуации становятся неразличимыми где-то на самых ранних стадиях обработки информации, и представления, с которыми имеет дело наше сознание, это обобщенные состояния, т. е. общие, или абстрактные понятия (множество ситуаций). Понятия об определенных предметах, которые традиционная логика наивно принимает за первичные элементы чувственного опыта и называет «единичными» понятиями, в действительности, как показано выше, являются весьма сложными конструкциями, требующими анализа киноленты ситуаций и опирающимися на более элементарные абстрактные понятия, такие, как непрерывность, форма, цвет, пространственные отношения и т. п. Причем чем «конкретнее» понятие с точки зрения логики, тем сложнее оно с точки зрения кибернетики. Так, «конкретная кошка» отличается от «просто кошки» тем, что для придания смысла первому понятию требуется более длинная кинолента ситуаций, чем второму, строго говоря даже бесконечно длинная, ибо, имея в виду конкретную кошку, мы имеем в виду не только ее «личное дело», которое ведется со дня рождения, но и всю ее генеалогию. По своей природе «конкретные» и «абстрактные» понятия ничем принципиально не различаются, и те и другие отражают свойства реального мира. Если различие и есть, то оно противоположно тому, которое усматривает традиционная логика: абстрактные общие понятия чувственного и духовного опыта (не смешивать с конструктами математики!) проще и ближе к природе, чем конкретные понятия, связанные с определенными предметами. Логиков ввело в заблуждение то обстоятельство, что в языке конкретные понятия появляются раньше, чем абстрактные. Но это как раз свидетельствует об их относительно более высоком положении в иерархии нейронных понятий-положений, благодаря которому они оказались на стыке с языковыми понятиями.

Платоновская теория идей, постулировав вымышленное идеальное бытие обобщенных предметов, поставила одноместные предикаты (свойства) в выделенное положение по сравнению с многоместными предикатами (отношениями), она придала свойствам статус истинного бытия, в котором отказала отношениям. Это со всей наглядностью проявилось в логике Аристотеля. Отсюда предметность и статичность мышления, столь характерная для греков классического периода. В следующей главе мы увидим, как этот образ мышления отразился на развитии математики.

1 Созвучие с русским не случайно, это древний индоевропейский корень (ср. лат. vidi — увидел).

2 Для знакомых с математической логикой заметим: в широком смысле, включая правила вывода.

Глава 11. От Евклида до Декарта


11.1. Число и величина


Во времена Пифагора и ранних пифагорейцев руководящую высоту в греческой математике занимало понятие числа. Пифагорейцы считали: Бог положил числа в основу мирового порядка. Бог — это единство, а мир — множественность. Божественная гармония в устройстве Космоса проявляется в виде числовых отношений. Немалую роль в этом убеждении сыграло открытие пифагорейцами того факта, что сочетания звуков, приятные для слуха (гармонические), создаются в том случае, когда струна укорачивается в отношениях, образуемых минимальными целыми числами: 1:2 (октава), 2:3 (квинта), 3:4 (кварта) и т. д. Числовая мистика пифагорейцев отражала их веру в то, что, в конечном счете, все закономерности природных явлений вытекают из свойств целых чисел.

Мы видим здесь проявление человеческой склонности к переоценке только что сделанных открытий. Физики конца XIX в. полагали подобно пифагорейцам, что они имеют универсальный ключ ко всем явлениям природы и что при надлежащем усердии с его помощью можно раскрыть секрет любого явления. Этот ключ — представление о пространстве, заполненном частицами и полями, которые подчиняются уравнениям Ньютона и Максвелла. Однако с открытием радиоактивности и дифракции электронов высокомерие физиков разлетелось в пух и прах.

В случае с пифагорейцами аналогичную роль сыграло открытие существования несоизмеримых отрезков, т. е. таких отрезков, что отношение их длин не выражается никаким отношением целых чисел (рациональным числом). Не соизмеримы, например, сторона квадрата и его диагональ. Это утверждение легко доказать, опираясь на теорему Пифагора. В самом деле, допустим противное, т. е. что диагональ квадрата находится в некотором отношении m:n к его стороне. Если числа m и n имеют общие множители, их можно сократить, поэтому будем считать, что общих множителей у m и п нет. Значит, при измерении длины некоторым единичным отрезком длина стороны есть n, а диагонали m. Из теоремы Пифагора следует, что должно иметь место равенство m2 = 2n2. Следовательно, m2 должно делиться на 2, а, следовательно, 2 должно быть в числе делителей m, т. е. m = 2m1. Делая эту подстановку, получаем 4m12 = 2n2, т. e. 2m12 = n2. Значит, n также должно делиться на 2, что противоречит предположению об отсутствии у m и n общих множителей. На это доказательство часто ссылается Аристотель. Полагают, что оно было обнаружено еще пифагорейцами.

Если существуют величины, которые при заданном масштабе не выражаются числами, то число не может больше считаться основой основ, оно низвергается со своего пьедестала. Математикам приходится теперь пользоваться более общим понятием геометрической величины, и изучать отношения между величинами, которые иногда (скорее, в виде исключения, чем правила) могут выражаться отношением целых чисел. Такой подход лежит в основе всей греческой математики, начиная с классического периода. Соотношения, которые мы знаем как алгебраические равенства, были известны грекам в геометрической формулировке как отношения между длинами, площадями, объемами построенных определенным образом фигур.

11.2. Геометрическая алгебра


На рис. 11.1 показана хорошо известная геометрическая трактовка соотношения

(a + b)2 = a2 + 2ab + b2.

Столь же тривиальное с алгебраической точки зрения равенство

(a + b)(a - b) = a2 - b2

требует уже более сложного геометрического рассмотрения. Ему соответствует следующая теорема во второй книге «Начал» Евклида (рис. 11.2):

«Если прямая линия разделена на равные и неравные части, то прямоугольник, содержащийся между неравными частями1 всей прямой, вместе с квадратом отрезка между точками деления равен квадрату на половине прямой».

Доказывается теорема следующим образом.

Прямоугольник ABFE равен прямоугольнику BDHF. Прямоугольник BCGF равен прямоугольнику GHKJ. Если к этим двум прямоугольникам (образующим вместе прямоугольник ACGE, «содержащийся между неравными частями всей прямой») добавить квадрат FGJI, то получится как раз квадрат BDKI, построенный «на половине прямой». Итак, мы имеем равенство

(a + b)(a - b) + b2 = a2,

эквивалентное приведенному выше, но не содержащее трудно интерпретируемого вычитания площадей.



Рис. 11.1. Геометрическая трактовка тождества (a + b)2 = a2 + 2ab + b2



Рис. 11.2. Геометрическая трактовка тождества (a + b)(a - b) = a2 - b2

Ясно, что если даже эти простейшие алгебраические соотношения требуют в геометрической трактовке определенных усилий для понимания формулировки теоремы и изобретательности для ее доказательства, то далеко по этому пути продвинуться невозможно. Во всем, что касается собственно геометрии, греки проявили себя как искуснейшие мастера. Но та линия развития математики, которая началась с алгебры, а затем породила анализ бесконечно малых и современные аксиоматические теории, т. е. линия, связанная с использованием не языка фигур, а языка символов, оказалась им совершенно недоступной. Греческая математика осталась ограниченной, сдавленной узкими рамками понятий, имеющих наглядный геометрический смысл.

11.3. Архимед и Аполлоний


В Александрийскую эпоху (330–200 до н. э.) живут два великих ученых, в работах которых греческая математика достигает своей высшей точки, — Архимед (287–212 до н. э.) и Аполлоний (265?–170? до н. э.). Архимед в своих геометрических трудах уже далеко выходит за пределы фигур, образованных прямыми и окружностями. Он развивает теорию конических сечений, исследует спирали. Главная заслуга Архимеда в геометрии — многочисленные теоремы о площадях, объемах и центрах тяжести фигур и тел, образованных не только прямыми линиями и не только плоскими поверхностями. Он использует «метод исчерпывания». Чтобы проиллюстрировать круг задач, решаемых Архимедом, перечислим задачи, вошедшие в его сочинение «Метод», цель которого, как это видно из заглавия, не полная сводка результатов, а освещение метода работы. «Метод» содержит решение следующих 13 задач: площадь параболического сегмента, объем шара, объем сфероида (эллипсоида вращения), объем сегмента параболоида вращения, центр тяжести сегмента параболоида вращения, центр тяжести полушария, объем сегмента шара, объем сегмента сфероида, центр тяжести сегмента шара, центр тяжести сегмента сфероида, центр тяжести сегмента гиперболоида вращения, объем сегмента цилиндра, объем пересечения двух цилиндров (последняя задача — без доказательства).

Не меньшее значение, чем работы по геометрии, имели исследования Архимеда в области механики. Он открыл свой знаменитый «закон Архимеда», занимался законами равновесия тел. Он был необыкновенно искусен в изготовлении различных механических устройств и приспособлений. Благодаря машинам, сделанным под руководством Архимеда, жители его родного города Сиракузы отразили первый штурм города римлянами. Механические соображения часто использовались Архимедом в качестве подспорья при выводе геометрических теорем. Однако было бы ошибкой полагать, что Архимед хотя бы в чем-то отклонялся от традиционного греческого образа мышления. Он считал задачу решенной только тогда, когда находил безупречное с логической точки зрения геометрическое доказательство. Свои механические изобретения он рассматривал как забаву или же, как житейские занятия, не имеющие никакого научного значения. Плутарх пишет:

Хотя эти изобретения прославили его сверхчеловеческую мудрость, тем не менее он ничего не писал по таким вопросам, ибо полагал, что сооружение всякого рода машин и вообще всех приспособлений для практического употребления — дело низкое и неблагородное; сам же он стремился лишь к тому, что по красоте своей и совершенству находится далеко от царства необходимости.

Из всех своих достижений сам Архимед больше всего гордился доказательством того, что объем шара, вписанного в цилиндр, составляет две трети объема цилиндра. Он завешал изобразить на своей могильной плите цилиндр с вписанным в него шаром. Римский полководец Марцелл, солдат которого убил Архимеда после взятия Сиракуз, (как утверждают, вопреки распоряжению Марцелла), разрешил родственникам Архимеда выполнить завещание покойного.

Аполлоний прославился, главным образом, своей работой по теории конических сечений. Фактически эта работа — последовательное алгебраическое исследование кривых второго порядка, выраженное на геометрическом языке. В наше время все результаты, полученные Аполлонием,может легко проверить любой студент, используя методы аналитической геометрии. Но, чтобы сделать то же в рамках чисто геометрического подхода, Аполлонию потребовалось проявить чудеса математической интуиции и изобретательности.

11.4. Упадок греческой математики


Б. Ван дер Варден пишет2:

После Аполлония греческая геометрия сразу кончается. Правда, были еще эпигоны, вроде Диокла и Зенодора, которые время от времени решали некоторые задачи, оставшиеся им от Архимеда и Аполлония, словно крохи от пира великих. Писались еще, правда, произведения типа сборников вроде сочинения Паппа Александрийского (300 г.); математика еще применялась для практических или астрономических задач, причем разрабатывалась плоская и сферическая тригонометрия. Но, кроме тригонометрии, ничего значительного, ничего нового уже не появлялось. Геометрия конических сечений дожила до Декарта в той форме, какую придал ей Аполлоний; произведения Аполлония читались очень мало, а частью были также утрачены. «Метод» Архимеда также был потерян из вида, и проблема интегрирования оставалась без движения, пока за нее не взялись снова в XVII в. ...

Упадок греческой математики частично был вызван причинами внешнего порядка — политическими бурями, охватившими Средиземноморскую цивилизацию. Однако решающее значение имели все же внутренние причины. В астрономии, замечает Ван дер Варден, развитие шло все время по восходящей линии; тут бывали короткие и длинные остановки, но после их окончания работа возобновлялась с того места, где она остановилась. В геометрии же имел место явный регресс. Причина кроется, конечно, в отсутствии алгебраического языка. У Ван дер Вардена мы читаем:

Уравнения первой и второй степени можно было хорошо передать на языке геометрической алгебры; в крайнем случае, это было возможно для уравнений третьей степени. Но пойти дальше можно было, только пользуясь громоздкими и утомительными средствами пропорций.

Гиппократ, например, приводил кубические уравнения x3 = V к пропорции

a : х = х : у = у : b,

а Архимед писал уравнение третьей степени

х2(a - х) = 2

в виде пропорции

(a - x) : b = c2 : x2.

Этим путем еще можно добраться до уравнений четвертой степени; примеры этого, пожалуй, можно найти и у Аполлония. Однако дальше пойти нельзя; больше того, чтобы получать результаты этим в высшей степени сложным методом, нужно было еще обладать математическим гением и быть весьма искушенным по части преобразования пропорций при помощи геометрических фигур. Нашими алгебраическими обозначениями может пользоваться каждый инженер или естествоиспытатель, а греческой теорией пропорций и геометрической алгеброй —только очень одаренный математик.

К этому присоединяется еще другое обстоятельство, а именно трудность письменной передачи.

Чтение доказательств у Аполлония требует долгого и напряженного размышления. Вместо удобной алгебраической формулы стоит длинная фраза, где каждый отрезок обозначается двумя буквами, которые всякий раз еще нужно отыскивать на чертеже. Чтобы понять ход мыслей, приходится заменять эти фразы современными сжатыми формулами...

При устном объяснении на отрезки можно указывать пальцем, можно делать ударение на особенно важных местах и, кроме того, можно рассказать, каким образом получилось доказательство. Все это отпадает в письменной формулировке строго классического стиля: доказательства закончены, логически обоснованы, но они ничего не подсказывают. Не можешь ничего возразить, чувствуешь, что попался в логическую мышеловку, но не видишь, какая основная линия рассуждений за этим скрывается.

Таким образом, пока еще традиция не прерывалась, пока каждое поколение могло передавать свою методику следующему, все шло хорошо и наука процветала. Но как только по ряду причин внешнего характера устная передача прерывалась, и оставались только одни книги, понимать труды великих предшественников становилось крайне трудно, а выйти за их пределы и двинуться вперед — почти невозможно.

Почему же греки, несмотря на их высокую математическую культуру и обилие одаренных математиков, так и не смогли создать алгебраического языка? Обычный ответ на этот вопрос таков, что этому помешала именно их высокая математическая культура, конкретнее — высокий уровень требований к логической строгости теории, ибо иррациональные числа, которыми, как правило, выражаются значения геометрических величин, греки не могли рассматривать как числа; если отрезки были несоизмеримы, то считалось, что числового отношения для них просто не существует. Это объяснение, хотя оно и верно в общих чертах, следует вместе с тем признать неточным и поверхностным. Стремление к логической строгости не может быть само по себе отрицательным фактором в развитии математики. Если оно выступает в качестве отрицательного фактора, то, очевидно, лишь в комбинации с какими-то другими факторами и вряд ли следует решающую роль в этой комбинации приписывать именно стремлению к строгости. Совершенная логическая строгость в окончательных формулировках и доказательствах не мешала Архимеду пользоваться нестрогими наводящими соображениями. Почему же она помешала созданию алгебраического языка? Здесь дело, конечно, не просто в высоком стандарте логической строгости, а во всем строе мышления, в философии математики. Декарт, создав современный алгебраический язык, вышел за рамки греческого канона, но это вовсе не значит, что он погрешил против законов логики или пренебрегал доказательствами. И иррациональные числа он мыслил как «точные», а вовсе не как замененные на свои приближенные значения. Некоторые неполадки с логикой начались уже после Декарта, в эпоху бурного развития анализа бесконечно малых. Тогда математики были так увлечены потоком открытий, что им просто было не до логических тонкостей. В XIX в. появилось время подумать, и под анализ была подведена более прочная логическая основа.

Причины ограниченности греческой математики мы уясним себе после того, как разберем сущность переворота в математике, произведенного Декартом.

11.5. Арифметическая алгебра


Успехи геометрии оттеснили на задний план искусство решения уравнений. Однако оно продолжало развиваться и породило арифметическую алгебру. Возникновение алгебры из арифметики — это типичный метасистемный переход. Когда ставится задача о решении уравнения — независимо от того, формулируется ли она на обычном разговорном языке или на специализированном, — это еще задача арифметическая. И когда указывается общий метод решения — на примерах, как это делается в начальной школе, или даже в виде формулы, мы все еще не выходим за пределы арифметики. Алгебра начинается тогда, когда сами уравнения становятся объектом деятельности, когда изучаются свойства уравнений и правила их преобразования. Наверно, каждый, кто помнит, как он познакомился с алгеброй в школе (если только это было на уровне понимания, а не зазубривания), помнит и то радостное чувство изумления, которое испытываешь, когда оказывается, что разнотипные арифметические задачи, приемы решения которых представлялись друг с другом совершенно не связанными, решаются путем однотипных преобразований уравнений по нескольким простым и понятным правилам. Все ранее известные методы вписываются в стройную систему, открываются новые методы, вводятся в рассмотрение новые уравнения и целые классы уравнений (закон разрастания предпоследнего уровня), появляются новые понятия, не имеющие решительно никакого смысла в рамках собственно арифметики: отрицательные, иррациональные и мнимые числа.

Принципиальной необходимости создания специализированного языка для развития алгебры нет. Однако на деле только созданием специализированного языка завершается метасистемный переход в головах людей. Специализированный язык дает возможность убедиться, что мы имеем дело с некоей новой реальностью — в данном случае с уравнениями, которые можно рассматривать как объект выкладок, подобно объектам предыдущего уровня — числам. Людям свойственно не замечать воздуха, которым они дышат, и языка, которым все время пользуются. Созданный же вновь специализированный язык выпадает из сферы естественного языка и представляется частью неязыковой действительности. Это способствует метасистемному переходу. И, конечно, огромную роль играют практические удобства использования специализированного языка: обозримость выражений, уменьшение затрат на переписывание и т. п.

Арабский ученый Мухаммед ибн Муса ал-Хорезми (780–850) написал несколько сочинений по математике, которые в XII в. были переведены на латынь и на протяжении четырех столетий служили в Европе важнейшими учебными пособиями. Одно из них — «Арифметика» — донесло до европейцев десятичную систему счисления и правила (алгоритмы — от имени ал-Хорезми) выполнения четырех действий арифметики над числами, записанными по этой системе. Другое сочинение называлось «Книга об ал-джебр и ал-мукабала». Оно имело целью обучить искусству решения уравнений, которое необходимо, по словам автора, «в случаях наследования, раздела имущества, торговли и во всех деловых взаимоотношениях, а также при измерении земель, проведении каналов, геометрических вычислений и в других случаях...» «Ал-джебр» и «ал-мукабала» – два приема, которые ал-Хорезми использует для решения уравнений. Эти приемы он придумал не сам, они описываются и используются уже в «Арифметике» позднегреческого математика Диофанта (III в.), прославившегося своими методами решения целочисленных (диофантовых) уравнений. В той же «Арифметике» Диофанта встречаются и зачатки буквенной символики. Поэтому если считать кого-то родоначальником арифметической алгебры, то, очевидно, это будет Диофант. Однако в Европе об алгебраических приемах узнали впервые от ал-Хорезми, а труды Диофанта стали известны гораздо позже. Никакой специальной алгебраической символики, даже в зачаточном состоянии, у ал-Хорезми нет. Уравнения фигурируют в виде записи на естественном языке. Но мы для краткости опишем эти приемы и приведем пример, пользуясь современной символикой.

Ал-джебр — это перенесение вычитаемых членов из одной части уравнения в другую; ал-мукабала — вычитание из обеих частей уравнения одинакового члена. Эти приемы ал-Хорезми рассматривает как различные, ибо понятие об отрицательном числе у него отсутствует.

Возьмем для примера уравнение

7x - 11 = 5x - 3.

Применяя прием ал-джебр два раза — для вычитаемого 11 и для вычитаемого 3, получаем

7x + 3 = 5x + 11.

Теперь применим два раза прием ал-мукабала — для члена 3 и для члена 5х. Получаем

2x = 8.

Отсюда х = 4.

Итак, хотя ал-Хорезми не использует специального алгебраического языка, его книга содержит первые наметки алгебраического подхода. Европейцы по достоинству оценили этот подход и дали ему дальнейшее развитие. Само слово «алгебра» происходит от названия первого из приемов ал-Хорезми.

11.6. Италия, XVI век


В первой половине XVI в. благодаря усилиям итальянских математиков в алгебре происходят крупные сдвиги, сопровождаемые весьма драматическими событиями. Профессор Болонского университета Сципион Даль Ферро (1465–1526) находит общее решение уравнения третьей степени

х3 + рх = q

при положительных р и q, но держит его в секрете, ибо оно представляет большую ценность на соревнованиях по решению задач, которые тогда широко практиковались в Италии. Перед смертью он открывает секрет своему ученику Фиоре. В 1535 г. Фиоре вызывает на соревнование талантливейшего математика Никколо Тарталью (1499–1557), который, зная, что Фиоре обладает способом решения кубического уравнения, прилагает максимум усилий и сам находит решение! Тарталья побеждает на соревновании, но также держит свое открытие в секрете. Наконец, на сцене появляется Джероламо Кардано (1501–1576). Он тщетно пытается найти алгоритм решения кубического уравнения и в 1539 г. обращается к Тарталье с просьбой поведать ему тайну. Взяв с Кардано «священную клятву» молчания, Тарталья частично и в не слишком вразумительной форме приоткрывает для него завесу. Кардано не удовлетворяется и прилагает усилия, чтобы ознакомиться с рукописью покойного Даль Ферро. Это ему удается, и в 1545 г. он публикует книгу, в которой сообщает алгоритм, сводящий решение кубического уравнения к радикалам («формула Кардано»). В этой же книге содержится еще одно открытие, сделанное учеником Кардано Луиджи (Лудовико) Феррари (1522–1565), а именно решение в радикалах уравнения четвертой степени. Тарталья обвиняет Кардано в нарушении клятвы, завязывается острая и продолжительная полемика. При таких обстоятельствах заявляет о своих первых существенных достижениях математика Нового времени.

Использование инструмента подсказывает пути к его усовершенствованию. Стремясь к единообразному решению уравнений, математики обнаружили, что для достижения этой цели чрезвычайно полезно внести некоторые новые объекты и обращаться с ними так, как если бы это были числа. Их и называют числами, хотя понимают, что они отличаются от «настоящих» чисел; это проявляется в том, что им придают такие эпитеты, как «ложные», «фиктивные», «непостижимые», «мнимые». Чему они соответствуют в действительности, остается не совсем ясным или совсем неясным. Законно ли их использование, тоже остается спорным. Тем не менее, их используют все шире, ибо с их помощью получаются конечные результаты, которые содержат лишь «настоящие» числа и которые нельзя получить иначе. Человек, последовательно придерживающийся учения Платона, не мог бы использовать «ненастоящие» числа. Однако индийские, арабские и итальянские математики отнюдь не были последовательными платониками; здоровое любопытство и прагматические соображения перевешивали для них теоретическую недозволенность. Правда, при этом они все-таки делали оговорки и как бы извинялись за свое «некорректное» поведение.

Все «ненастоящие» числа — продукт обратного хода арифметической модели, они формально являются решениями таких уравнений, которые не имеют решения в области «настоящих» чисел. В первую очередь надо назвать отрицательные числа. Мы находим их уже в довольно развитом виде у индийского математика Бхаскары (XII в.), который совершает над ними все четыре действия арифметики. Интерпретация отрицательного числа как долга (в противоположность имуществу) была известна индусам еще в XII в. Бхаскара, формулируя правила действий над отрицательными числами, называет их «долг», а положительные — «имущество». Объявить отрицательное число таким же абстрактным понятием, как положительное число, он не решается. «Люди не одобряют отвлеченных отрицательных чисел», — пишет Бхаскара. Примерно так же относятся к отрицательным числам и в Европе XV–XVI вв. При геометрической интерпретации отрицательные корни называют «ложными» в отличие от «истинных» положительных корней. Современная интерпретация отрицательных чисел как точек, лежащих левее точки нуль, появилась только в «Геометрии» Декарта (1637 г.). По традиции Декарт называл отрицательные корни «ложными».

Формальные действия над корнями из чисел, которые не извлекаются в точном виде, восходят к глубокой древности, когда еще не было понятия о несоизмеримости отрезков. В XV–XVI вв. с ними обращаются совсем запросто — помогает здесь, конечно, простая геометрическая интерпретация. Понимание теоретической трудности, вытекающей из несоизмеримости отрезков, проявляется в названии этих чисел: «иррациональные», т. е. не постижимые разумом.

Квадрат любого числа положителен, поэтому квадратного корня из отрицательного числа не существует среди положительных, отрицательных, рациональных или иррациональных. Однако Кардано осмелел настолько, что стал формально оперировать (не без оговорок) с корнями из отрицательных чисел. Так в XVI в. возникли самые невозможные из всех невозможных чисел — «мнимые». Логика использования алгебраического языка неудержимо влекла математиков по неизведанному пути. Он казался незаконным и таинственным, но интуиция подсказывала, что все эти невозможные числа имеют глубокий смысл и новый путь себя оправдает. Так оно и оказалось.

11.7. Буквенная символика


Зачатки алгебраической буквенной символики встречаются впервые, как уже говорилось, у Диофанта. Диофант обозначал неизвестное знаком, напоминающим греческую букву ς или латинскую S. Есть предположение, что это обозначение происходит от последней буквы греческого слова άριθμός — число. Были у него также сокращенные обозначения для квадрата, куба и других степеней неизвестной величины. Знака сложения не было, складываемые величины писались подряд. Знаком вычитания служило нечто вроде перевернутой греческой буквы ψ знаком равенства — первая буква греческого слова ίσος — равный. Все остальное выражалось в словесной форме. Известные величины всегда записывались в конкретной числовой форме, обозначений для известных, но произвольных чисел нет.

«Арифметика» Диофанта стада известна в Европе в 1463 г. С конца XV – начала XVI вв. сначала итальянские, а затем и другие европейские математики начинают пользоваться сокращенными обозначениями. Постепенно эти сокращения перекочевывают из арифметической алгебры в геометрическую — буквами начинают обозначать также неизвестные геометрические величины. В конце XVI в. француз Виет (1540–1603) делает следующий важнейший шаг — вводит буквенные обозначения для известных величин и получает тем самым возможность записывать уравнение в общем виде. Он же вводит термин «коэффициент». По внешнему виду символика Виета еще довольно далека от современной. Например, Виет пишет


вместо нашего

К началу XVII в. ситуация в европейской математике была такова. Существовало две алгебры: первая — арифметическая, основанная на символике, созданной самими европейцами, и сделавшая существенный шаг вперед по сравнению с арифметикой древних; вторая — алгебра геометрическая — входила в состав геометрии. Она была почерпнута, как и геометрия в целом, от греков: основы — из «Начал» Евклида, дальнейшее развитие — главным образом из трудов Паппа Александрийского и Аполлония, которые к тому времени были хорошо изучены. Ничего существенно нового в ней сделано не было. Нельзя сказать, что между этими двумя алгебрами совсем не было связи: уравнения степени выше первой могли получить только геометрическую интерпретацию, ибо где еще могли возникнуть квадраты, кубы и высшие степени неизвестного числа, как не при вычислении площадей, объемов или при манипуляциях над отрезками, связанными сложной системой пропорций. Сами названия второй и третьей степени — квадрат и куб — говорят об этом весьма красноречиво. Тем не менее, разрыв между понятиями величины и числа оставался и в полном соответствии с греческим каноном настоящим доказательством считалось только геометрическое. Когда в уравнениях появлялись геометрические объекты — длины, площади, объемы, то они выступали либо как геометрические величины, либо как именованные числа. Геометрические величины мыслились обязательно как нечто пространственное и из-за наличия несоизмеримости не сводимое к числу.

В этой обстановке и сказал свое слово один из величайших мыслителей, когда-либо живших на земле, Ренэ Декарт (1596–1650).

11.8. Что сделал Декарт?


Роль Декарта как философа общепризнанна. Но, говоря о Декарте как о математике, обычно указывают, что он «усовершенствовал алгебраические обозначения и создал аналитическую геометрию». Иногда к этому добавляют, что примерно в то же самое время основные положения аналитической геометрии были выдвинуты независимо от Декарта его соотечественником Пьером Ферма (1601–1665), а что касается алгебраической символики, то ее уже вовсю использовал Виет. Выходит, что в области математики Декарту особенно похвастаться нечем, и, действительно, далеко не все авторы, пишущие об истории математики, отдают ему должное. Между тем Декарт произвел революцию в математике, он создал нечто несравненно большее, чем аналитическая геометрия (понимаемая как теория кривых на плоскости), а именно: новый подход к описанию явлений действительности — современный математический язык.

Иногда говорят, что Декарт «свел геометрию к алгебре», понимая под алгеброй, конечно, алгебру числовую, арифметическую. Это грубая ошибка. Верно, что Декарт преодолел пропасть между величиной и числом, между геометрией и арифметикой, но достиг он этого не сведением одного языка к другому, а созданием нового языка — языка алгебры. По синтаксису новый язык совпадает с арифметической алгеброй, но по семантике — с геометрической. Символы в языке Декарта обозначают не числа и не величины, а отношения величин. В этом — вся суть переворота, произведенного Декартом.

Современный читатель, пожалуй, недоуменно пожмет плечами: какая разница? Неужели этот логический нюанс мог иметь серьезное значение? Оказывается, мог. Именно этот нюанс помешал грекам сделать следующий шаг в своей математике.

Мы настолько привыкли ставить иррациональные числа на одну доску с рациональными, что перестали отдавать себе отчет в том, какое глубокое различие лежит между ними. Мы пишем √2 точно так же, как пишем 4/5, и называем √2 числом, а когда нужно, заменяем на приближенное значение, и мы никак не можем понять, почему древние греки так болезненно реагировали на несоизмеримость отрезков. Но если немного подумать, то нельзя не согласиться с греками, что √2 — это не число. Его можно представить как бесконечный процесс, порождающий последовательные знаки разложения в десятичную дробь. Можно представить его также в виде сечения в области рациональных чисел, т. е. как некое правило, которое делит все рациональные числа на два класса: те, которые меньше √2 и которые больше √2. В данном случае правило весьма простое: рациональное число a относится к первому классу, если a2 < 2 и ко второму — в противном случае. Можно, наконец, представить √2 в виде отношения между двумя отрезками; в данном случае — между диагональю квадрата и его стороной. Эти представления эквивалентны между собой, но никак не эквивалентны представлению о целом или дробном числе.

Значит ли это, что мы совершаем ошибку или нестрогость, обращаясь с корнем из двух как с числом? Отнюдь нет. Цель математики — создание языковых моделей действительности, и хороши все средства, ведущие к этой цели. Почему бы нашему языку наряду со знаками типа 4/5 не содержать и знаки типа √2? «Мой язык — что хочу, то и делаю». Важно только, чтобы мы умели интерпретировать эти знаки и совершать над ними языковые преобразования. Но интерпретировать √2 мы умеем. В практических вычислениях основой интерпретации может служить первое из приведенных выше представлений, в геометрической теории — третье. Умеем мы и производить выкладки с ними.

Теперь осталось только уточнить терминологию. Условимся то, что мы раньше называли числами, называть рациональными числами, новые объекты называть иррациональными числами, а просто числами (действительными числами по современной математической терминологии) называть и те и другие.

Итак, в конечном счете никакой принципиальной разницы между √2 и 4/5 нет и мы оказались мудрее греков. Эту мудрость протаскивали контрабандой все те, кто оперировал со знаком √2 как с числом, признавая вместе с тем, что оно «иррационально». Обосновал и узаконил эту мудрость Декарт.

11.9. Отношение как объект


Тот факт, что греки не создали алгебры, имеет глубокие корни и в философии. У них не было даже арифметической алгебры — это первое и наиболее внешнее, можно даже сказать побочное, следствие их философии. Их мало интересовали арифметические уравнения, ведь уже уравнения второй степени не имеют, вообще говоря, точных числовых решений. А приближенные вычисления и все, что было связано с практическими задачами, их не интересовало. Зато решение могло быть найдено путем геометрического построения! Но, если даже предположить, что греческие математики школы Платона познакомились бы с арифметической буквенной символикой, трудно представить, чтобы они воспроизвели научный подвиг Декарта. Ведь отношение не было для них идеей и не имело, следовательно, реального существования. Кому же придет в голову обозначать буквой то, чего нет? Платоновская идея — это обобщенный образ, форма, свойство: то, что можно представить в воображении как более или менее обобщенный предмет. Все это является первичным и имеет независимое существование, причем существование даже более реальное, чем чувственно воспринимаемые вещи. А что такое отношение отрезков? Попробуйте его представить, и вы сразу увидите, что представляете себе никакое не отношение, а просто два отрезка. Понятие отношения величин отражает процесс измерения одной из них с помощью другой. Но процесс — это не идея в платоновском понимании, это нечто вторичное и не существующее реально: идеи вечны и неизменны и хотя бы уже поэтому не имеют ничего общего с процессами.

Интересно, что понятие отношения величин, отражающее свойства процесса измерения, было в строгой математической форме введено еще Евдоксом и вошло в пятую книгу «Начал» Евклида. Именно это понятие и было использовано Декартом. Однако объектом отношение не было ни у Евдокса, ни у последующих греческих математиков; будучи едва введено, оно немедленно уступило место пропорции, которую легко представить как свойство четырех отрезков, образуемых при пересечении сторон угла двумя параллельными линиями.

Понятие отношения величин — это языковый конструкт, и довольно сложный, а платонизм мешал вводить а математику конструкты, ограничивал ее базисные понятия четко представимыми статическими пространственными образами. В школе Платона даже дроби считались чем-то незаконным с точки зрения настоящей математики. В «Государстве» мы читаем: «Если ты захочешь делить единицу, то ученые математики высмеют тебя и не позволят это сделать; если же ты размениваешь единицу на мелкие деньги, они полагают её обращенной во множество и остерегаются рассматривать единицу не как единое, но состоящее из многих частей». При таком отношении к рациональному числу, что уж говорить об иррациональном!

Кратко подвести итог влиянию платоновского идеализма на греческую математику можно следующим образом. Осознав математические утверждения как объект работы, греки совершили метасистемный переход огромной важности, но они тут же объективизировали базисные элементы математических утверждений, стали рассматривать их как часть неязыковой действительности — «мира идей». Тем самым они закрыли себе путь к дальнейшей эскалации критического мышления — осознанию базисных элементов (понятий) математики как явлений языка и созданию все более и более сложных математических конструктов. Развитие математики в Европе было непрерывным освобождением от оков платонизма.

11.10. Декарт и Ферма


Очень поучительно сравнить математические работы Декарта и Ферма. Как математик Ферма был не менее, а, пожалуй, более одаренным, чем Декарт. Это видно из его замечательных работ по теории чисел. Но он был восхищенным поклонником греков и продолжателем их традиций. Свои открытия по теории чисел Ферма изложил в замечаниях на полях «Арифметики» Диофанта. Его работы по геометрии возникли в результате усилий доказать некоторые положения, на которые Папп ссылался как на принадлежащие Аполлонию, не приводя, однако, доказательства. Размышляя над этими проблемами, Ферма стал систематически использовать представление положения точки на плоскости длинами двух отрезков — абсциссы и ординаты и представление кривой в виде уравнения, связывающего эти отрезки. Идея эта с геометрической точки зрения отнюдь не была новой: она является стержневой не только у Аполлония, но уже у Архимеда и восходит к еще более древним авторам. Архимед описывает конические сечения через их «симптомы», т. е. пропорции, связывающие абсциссы и ординаты точек. Возьмем, например, эллипс с большой осью AB (рис. 11.3). Перпендикуляр PQ, опущенный из некоторой точки эллипса Р на ось AB, называется «ординатой», а отрезки AQ и QB — «абсциссами» этой точки (оба термина — латинские переводы греческих терминов Архимеда). Отношение площади квадрата, построенного на ординате, к площади прямоугольника, построенного на двух абсциссах, одинаково для всех точек Р, лежащих на эллипсе. Это и есть «симптом» эллипса, т. е. по существу уравнение. Его можно записать в виде

y2 : (x1 × x2) = const.


Рис. 11.3. Ордината и абсциссы эллипса

11.11. Путь к открытию


Ферма был только математиком. Декарт был прежде всего философом. Его размышления выходили далеко за пределы математики и имели дело с проблемами сущности бытия и познания. Декарт — основоположник философии рационализма, утверждающей неограниченную способность человека познавать мир, исходя из некоторого числа интуитивно ясных истин и продвигаясь, шаг за шагом вперед с помощью определенных правил или методов. Эти два слова — ключевые для всей философии Декарта. «Правила для руководства ума» — так называется его первое философское сочинение, «Рассуждение о методе» — второе. «Рассуждение о методе» было издано в 1637 г. в одном переплете с тремя физико-математическими трактатами: «Диоптрика», «Метеоры» и «Геометрия» и предшествовало им как изложение философских принципов, лежащих в основе следующих частей. Декарт выдвигает в этом сочинении следующие четыре принципа исследования:

1. Не признавать истинным ничего, кроме того, что с очевидностью познается мною таковым, т. е. тщательно избегать поспешности и предубеждений и принимать в свои суждения только то, что представляется моему уму так ясно и отчетливо, что ни в коем случае не возбуждает во мне сомнения.

2. Разделять каждое из рассматриваемых мною затруднений на столько частей, на сколько возможно и сколько требуется для лучшего их разрешения.

3. Мыслить по порядку, начиная с предметов наиболее простых и легко познаваемых, и восходить мало-помалу, как по ступеням, до познания наиболее сложных, допуская существование порядка даже среди тех, которые не следуют естественно друг за другом.

4. Составлять повсюду настолько полные перечни и такие общие обзоры, чтобы быть уверенным, что ничего не пропущено.

Руководствуясь этими принципами, Декарт и приходит к своим математическим идеям. Вот как он сам описывает этот путь в «Рассуждении о методе»:

Мне не стоило большого труда отыскание того, с чего следует начинать, так как я уже знал, что начинать надо с самого простого и доступного пониманию; учитывая, что среди всех, кто ранее исследовал истину в науках, только математики смогли найти некоторые доказательства, т. е. представить доводы несомненные и очевидные, я уже не сомневался, что начинать надо именно с тех, которые исследовали они... Но я не имел намерения изучать на этом основании все отдельные науки, обычно именуемые математикой. Видя, что хотя их предметы различны, но все же они сходны между собой в том, что рассматривают не что иное, как различные встречающиеся в предметах отношения, я подумал, что мне следует лучше исследовать эти отношения вообще, мысля их не только в тех предметах, которые облегчали бы мне их познание, и никоим образом не связывая с этими предметами, чтобы тем лучше применить их потом ко всем другим, к которым они подойдут. Затем, приняв во внимание, что для изучения этих отношений мне придется рассматривать каждое из них в отдельности и лишь иногда запоминать или истолковывать их по несколько вместе, я подумал, что для лучшего рассмотрения их в отдельности я должен представить их себе в виде линий, потому что я не находил ничего более простого, что я мог бы представить себе более отчетливо в своем воображении и ощущении. Но для того, чтобы лучше удержать их в памяти или сосредоточить внимание сразу на нескольких, надо выразить их какими-то возможно более краткими знаками. Благодаря такому способу, я мог заимствовать все лучшее в геометрическом анализе и в алгебре и исправить все недостатки одного при помощи другой.

Из этого чрезвычайно интересного свидетельства видно, что Декарт отчетливо осознает семантическую новизну своего языка, основанного на абстрактном понятии отношения и применимого ко всем явлениям действительности. Линии служат лишь для иллюстрации понятия отношения подобно тому, как набор палочек служит для иллюстрации понятия числа. В математических работах то, что обозначается буквами, Декарт и последующие математики называют по традиции величинами, но по смыслу это не пространственные геометрические величины греков, а их отношения. Понятие величины у Декарта так же абстрактно, как понятие числа. Но оно, конечно, никак не сводится к понятию числа в точном смысле слова, т. е. рационального числа. В «Геометрии», поясняя свои обозначения, Декарт указывает, что они подобны (а не тождественны) обозначениям арифметической алгебры.

Подобно тому, как вся арифметика состоит только из четырех–пяти действий, а именно: сложения, вычитания, умножения, деления и извлечения корня... так и в геометрии для нахождения искомых отрезков надо только прибавлять или отнимать другие отрезки; или, имея отрезок, который я для более наглядного сопоставления с числами буду называть единицей и который вообще можно выбирать произвольно и, имея, кроме него, два других отрезка, требуется найти четвертый, который так относится к одному из этих двух, как другой к единице, — это равносильно умножению; или же требуется найти четвертый отрезок, который так относится к одному из двух данных, как единица к другому, — это равносильно делению; или, наконец, требуется найти одно, два или несколько средних пропорциональных между единицей и другим отрезком — это равносильно извлечению корня — квадратного, кубического и т. д. И я нисколько не колеблюсь ввести эти арифметические термины в геометрию, чтобы сделать мое изложение более понятным.

Семантика алгебраического языка Декарта много сложнее семантики арифметического и геометрического языков, опирающихся на наглядные образцы. Использование такого языка изменяет взгляд на отношение между языком и действительностью. Обнаруживается, что буквы математического языка могут обозначать не только числа и фигуры, но и нечто гораздо более абстрактное (точнее, конструктное). Отсюда берет начало изобретение новых математических языков и диалектов, введение новых конструктов. Прецедент был создан Декартом. Фактически Декарт заложил основу описания явлений действительности с помощью формализованных символьных языков.

Непосредственное значение реформы Декарта заключалось в том, что она развязала руки математикам для создания в абстрактной символьной форме исчисления бесконечно малых, основные идеи которого в геометрической форме были известны еще древним. Если к дате выхода в свет «Геометрии» мы прибавим полвека, то очутимся в эпохе Лейбница и Ньютона, а еще через полвека — в эпохе Эйлера.

История науки показывает, что наибольшая слава достается обычно не тем, кто закладывает основы и, конечно, не тем, кто занимается мелкими заключительными доделками, а тем, кто в новом направлении мысли первым получает крупные результаты, поражающие воображение современников или ближайших потомков. Такую роль в европейской физико-математической науке сыграл Ньютон. Между тем известно высказывание Ньютона:

Если я видел дальше, чем Декарт, то потому, что я стоял на плечах Гигантов3.

Это, конечно, свидетельствует о скромности гениального ученого, но является также признанием долга перед первопроходцами со стороны «первополучателей». Яблоко, прославившее Ньютона, выросло на дереве, которое посадил Декарт.

1 Т. е. со сторонами, равными неравным частям.

2Пробуждающаяся наука. Гл. 8.

3 If I have seen farther than Descartes, it is by standing on shoulders of giants.

Глава 12. От Декарта до Бурбаки


12.1. Формализованный язык


«Следующая остановка — станция Апрелевка, — доносится хриплый голос из репродуктора. — Повторяю: станция Апрелевка. На станции Победа поезд остановки не имеет».

Вы едете на электричке по Киевской железной дороге, а поскольку вы забыли захватить книгу и делать вам нечего, вы начинаете размышлять о том, как небрежно мы все еще относимся к нашему родному языку. В самом деле, что за нелепое выражение «остановки не имеет»? Не проще ли сказать «не останавливается». Ах, эти канцелярские, казенные выражения. Уж пишут об этом, пишут, а толку все нет.

Однако, если вы не сходите в Апрелевке и у вас есть время на дальнейшие размышления, вы поймете, что дело здесь вовсе не в небрежном отношении к родному языку, а в том, что «остановки не имеет» означает не совсем то же самое, что «не останавливается». Понятие остановки в железнодорожном лексиконе не тождественно с понятием прекращения движения. Ему можно дать следующее определение, не слишком изящное, но достаточно точное: остановка — это преднамеренное прекращение движение поезда, сопровождаемое принятием мер, необходимых для обеспечения выхода пассажиров из вагонов и входа в вагоны. Это очень важное для железнодорожников понятие, и оно связано именно с существительным «остановка», а не с глаголом «останавливаться». Так что если, например, машинист остановил поезд, но не открыл пневматических дверей, то поезд «остановился», но не «возымел остановку».

Железнодорожник, делавший объявление, конечно, не производил такого лингвистического анализа. Он просто воспользовался привычным профессиональным термином, что позволило ему выразить свою мысль совершенно точно, хотя и несколько коряво с точки зрения непрофессионала. Это — проявление весьма распространенного явления: когда язык употребляется в сравнительно узких профессиональных целях, наблюдается тенденция к ограничению числа используемых терминов и приданию им более четкого и постоянного смысла. Происходит, как говорят, формализация языка. Если этот процесс довести до логического завершения, то язык будет полностью формализованным.

Понятие о формализованном языке можно определить следующим образом.

Обратимся к нашей схеме использования языковых моделей действительности (см. рис. 9.5) и поставим вопрос: каким образом выполняется преобразование L1L2, от какой информации оно зависит? Можно представить себе две возможности.

Преобразование L1L2 определяется исключительно языковыми объектами Li, которые в нем участвуют, и не зависят от тех языковых представлений Si, которые им соответствуют по семантике языка. Иначе говоря, языковая деятельность зависит только от «формы» языковых объектов, но не от их «содержания» (значения).Результат преобразования языкового объекта Li зависит не только (и не столько) от вида самого объекта Li, но и от представления Si, которое он порождает в голове человека, от ассоциаций, в которые он входит, а, следовательно, от личного жизненного опыта человека.

В первом случае мы называем язык формализованным, во втором неформализованным.

Подчеркнем, что полная формализация языка не обязательно означает его полную алгоритмизацию, т. е. такое положение, когда вся языковая деятельность сводится к выполнению четких и однозначных предписаний, в результате которых каждый языковый объект L1 преобразуется в совершенно определенный объект L2. Правила преобразования L1L2 могут формулироваться в виде более или менее жестких ограничений и оставлять определенную свободу действий, важно только, чтобы эти ограничения зависели лишь от вида объекта L1 и потенциальных объектов L2 самих по себе и не зависели от семантики языковых объектов.

Данное нами определение формализованного языка относится к случаю, когда язык используется для создания моделей действительности. Когда язык служит средством передачи управляющей информации (язык приказов), имеет место совершенно аналогичное деление на два возможных типа реакции.

Человек реагирует на приказ строго формально, т. е. его действия зависят только от той информации, которая содержится в тексте приказа, рассматриваемом как изолированная материальная система.Действие человека зависит от тех представлений и ассоциаций, которые вызывает у него приказ. Таким образом, он использует фактически гораздо большую информацию, чем та, которая содержится в тексте приказа.

Принципиальной разницы между языком приказов и языком моделей нет. Приказ «прячься!» можно трактовать как модель «если ты не спрячешься, то рискуешь потерять жизнь». Различие между приказом и моделью — в деталях использования информации. В обоих случаях формализованность языка приводит к определенному отделению синтаксиса от семантики, к отрыву материальных языковых объектов от связанных с ними представлений, к приобретению языковыми объектами качеств независимойсистемы.

В зависимости от того, какого типа язык используется, можно говорить о неформальном и формальном мышлении.

При неформальном мышлении языковые объекты важны главным образом постольку, поскольку они вызывают у нас определенные комплексы представлений. Слова здесь — веревочки, дергая за которые мы извлекаем из памяти частицы нашего жизненного опыта, переживаем их вновь, сопоставляем, сортируем и т. п. Результатом этой внутренней работы является преобразование представлений S1S2, которое моделирует перемены в окружающей среде R1R2. Это не значит, однако, что неформальное мышление тождественно с безъязыковым. Во-первых, уже само расчленение потока ощущений зависит от системы понятий, фиксированной в языке. Во-вторых, и в процессе преобразования S1S2 «натуральный вид» языкового объекта — слово — играет немаловажную роль: мы очень часто пользуемся ассоциацией именно между словами, а не представлениями. Поэтому формулу неформального мышления можно изобразить в виде

(S1, L1) → (S2, L2).

При формальном мышлении мы оперируем с языковыми объектами как с некоторыми самостоятельными и самодовлеющими сущностями, забывая на время об их семантике и вспоминая о ней лишь тогда, когда надо интерпретировать полученный результат или уточнить исходные посылки. Формула формального мышления такова:

S1L1L2S2.

Для того чтобы формальное мышление приводило к правильным результатам, семантика языка должна обладать определенными свойствами, которые мы характеризуем такими терминами, как точность, определенность, однозначность. Если семантика этими свойствами не обладает, то мы не сможем ввести такие формальные преобразования L1L2, чтобы, пользуясь ими, получать всегда правильный результат. Можно, конечно, кок-то установить формальные правила преобразований и получить, таким образом, формализованный язык, но это будет язык, приводящий иногда к ложным выводам. Вот пример умозаключения, приводящего к ложному результату из-за неоднозначности в семантике:

Ваня — цыган.

Цыгане пришли в Европу из Индии.

-----------------------------------------------

Следовательно, Ваня пришел в Европу из Индии.

Итак, на деле точность семантики и формализованность синтаксиса неотделимы и формализованным языком называется язык, который удовлетворяет обоим критериям. Однако ведущим критерием является критерий синтаксический, ибо само понятие точной семантики можно строго определить только через синтаксис. А именно семантика точна, если можно установить формализованный синтаксис, дающий только верные модели действительности.

12.2. Языковая машина


Так как синтаксические преобразования L1L2 в рамках формализованного языка определяются только физическим видом объектов Li, формализованный язык есть, в сущности, машина, производящая различные перемещения символов. Для полностью алгоритмизированного языка, например арифметики, этот тезис представляется совсем очевидным и иллюстрируется существованием машин в обычном, узком смысле слова (арифмометр, электронная вычислительная машина), выполняющих арифметические алгоритмы. Если правила преобразования представляют собой лишь ограничения, то, во-первых, можно построить алгоритм, который по заданным L1 и L2 определяет, законно ли преобразование L1L2, во-вторых, можно построить алгоритм («глупый»), который по заданному L1 начинает выдавать все законные результаты L2 и продолжает этот процесс до бесконечности, если число возможных L2 не ограничено. В обоих случаях мы имеем дело с некоторой языковой машиной, которая может работать без вмешательства человека.

Формализация языка имеет два непосредственных следствия. Во--первых, упрощает процесс использования языковых моделей, ибо появляются четкие правила преобразования L1L2. В предельном случае полной алгоритмизации это преобразование вообще может производиться автоматически. Во-вторых, языковая модель становится независимой от создавшего ее человеческого мозга, она становится объективной моделью действительности. Ее семантика отражает, конечно, понятия, возникшие в процессе развития культуры человеческого общества, но и по синтаксису она представляет собой языковую машину, которая может продолжать работать и сохранять свой смысл модели действительности даже в том случае, если все человечество внезапно вымрет. Изучая эту модель, разумное существо, имеющее определенное представление о предмете моделирования, сможет, вероятно, путем сопоставления модели со своими знаниями, восстановить семантику языка. Представим себе, что люди построили механическую модель Солнечной системы, в которой планеты изображаются шариками соответствующих размеров, вращающимися на стерженьках вокруг центрального шара — Солнца по соответствующим орбитам и с соответствующими периодами. И допустим, что эта модель попала в руки (или в щупальца?) обитателей соседней звездной системы, которые кое-что знают о нашей Солнечной системе, например расстояния до Солнца нескольких планет или времена их обращения. Тогда они смогут сообразить, что находится перед ними, и получат дополнительные сведения о Солнечной системе. То же относится и к научным теориям, которые суть модели реальности в различных ее аспектах, выполненные в материале формализованного знакового языка. Подобно механической модели Солнечной системы каждая из них может быть, в принципе, расшифрована и использована любыми разумными существами.

12.3. Четыре типа языковой деятельности


Язык можно характеризовать не только степенью его формализованности, но и степенью его абстрактности, которая измеряется обилием и сложностью используемых языковых конструктов. Как мы отмечали в главе 7, правильнее было бы говорить не об абстрактности, а о «конструктности» языка, но термин этот пока не принят, поэтому мы пользуемся термином «абстрактность», который в обычном употреблении чаще обозначает именно конструктность, чем абстрактность в точном смысле слова. Язык, не использующий конструктов или использующий лишь конструкты самого низкого уровня, назовем конкретным. Язык, использующий сложные конструкты, назовем абстрактным. Деление это, хотя оно является условным и относительным, имеет, тем не менее, вполне ясный смысл. И оно не зависит от деления языков на формализованные и неформализованные — это два разных аспекта языка. Комбинируя эти аспекты, мы получаем четыре типа языков, используемых в четырех важнейших сферах языковой деятельности. Их можно расположить в следующую табличку:





Конкретный язык



Абстрактный язык



Неформализованный язык



Искусство



Философия



Формализованный язык



Описательные науки



Теоретические науки (математика,…)



Ни вертикальное, ни горизонтальное деление не является строгим, однозначным, а носит, скорее, характер количественных различий. На границах между этими «чистыми» типами языков располагаются переходные типы.

Для искусства характерен язык неформализованный и конкретный. Слова важны лишь как символы, вызывающие определенные комплексы представлений и переживаний. Эмоциональная сторона имеет, как правило, решающее значение. Однако и познавательная сторона весьма существенна; в наиболее значительных произведениях искусства эти стороны неразделимы. Основным выразительным средством является образ, который может быть синтетичен, но всегда остается конкретным.

Двигаясь по горизонтали, мы переходим от искусства к философии, которая характеризуется абстрактным неформальным мышлением. Сочетание чрезвычайной конструктности используемых понятий с незначительной степенью формализации, требующее напряженной работы интуиции, делает философский язык, без сомнения, самым трудным типом языка из всех четырех видов. Когда искусство затрагивает абстрактные идеи, оно смыкается с философией. С другой стороны, и философия для поощрения интуиции сплошь и рядом использует художественный образ и здесь она граничит с искусством.

Перемещаясь в нашей табличке вниз, мы из области философии попадаем в область теоретических наук с языком абстрактным и формализованным. Науке вообще свойственен формализованный язык; различие между описательными и теоретическими науками заключается в различной степени использования понятий-конструктов. Язык описательной науки должен быть конкретным и точным, формализованность синтаксиса сама по себе большой роли не играет, она выступает как критерий точности семантики (логическая согласованность определений, полнота классификаций и т. п.). Модели мира, даваемые описательными науками, выражаются в терминах обыденных нейронных понятий или понятий низкой конструктности и собственно как модели они банальны и однотипны: если сделать то-то и то-то (например, поехать в Австралию, вскрыть брюшную полость лягушки и т. п.), то можно увидеть то-то и то-то. Напротив, вся суть теоретических наук в том, что они дают принципиально новые модели действительности — научные теории, основанные на понятиях--конструктах, отсутствующих на нейронном уровне. Формализованность синтаксиса играет здесь решающую роль. Предельную точку в этом квадрате нашей таблички образует математика, содержащая самые сложные конструкты и использующая полностью формализованный язык. Собственно говоря, математика — это и есть язык: формализованный язык, используемый теоретическими науками.

Перемещаясь от описательных наук вверх, мы снова оказываемся в сфере искусства. Где-то на грани между описательными науками и искусством лежит деятельность журналиста или писателя-натуралиста.

12.4. Наука и философия


Из формализованности языка науки вовсе не следует, что ученые могут ограничиться чисто формальным мышлением. Применение готовой теории требует действительно формальных операций, не выходящих за рамки определенного языка. Но создание новой теории — это всегда выход за рамки формальной системы, это всегда метасистемный переход большего или меньшего масштаба.

Конечно, никак нельзя сказать, что все те, кто не разрушает старых формализмов, занимаются вещами банальными и нетворческими. Это относится только к тем, кто действует в соответствии с уже имеющимися алгоритмами, выполняя по существу функции языковой машины. Однако достаточно сложные формальные системы не алгоритмизуемы и представляют широкое поле для творческой деятельности. Действие в рамках такой системы можно сравнить с игрой в шахматы. Чтобы хорошо играть в шахматы, надо долго учиться, запомнить много разных вариантов и комбинаций, приобрести специфическую шахматную интуицию. Так и ученый, имеющий дело со сложным формализованным языком (т. е. с математикой — чистой или прикладной), путем многолетнего обучения и тренировки развивает в себе интуицию своего языка, часто весьма узкого, и получает новые теоретические результаты. Это, конечно, деятельность и благородная, и творческая.

И все-таки выход за рамки старого формализма — это еще более серьезный творческий шаг. Если ученых, о которых мы говорили выше, можно назвать учеными-шахматистами, то ученых, создающих новые формализованные языки и теории, можно назвать учеными-философами. Пример сопоставления этих двух типов ученых мы видели в предыдущей главе — это пара Ферма-Декарт. Понятия новых теорий не возникают из пустоты в точном и формализованном виде. Они выкристаллизовываются постепенно в процессе абстрактного, но не формализованного, т. е. философского, мышления. Здесь также требуется интуиция, но интуиция другого рода — философская. «Наука, — писал Декарт в «Рассуждении о методе», — заимствует свои принципы из философии».

Создание фундаментальных научных теорий лежит в пограничной области между философией и наукой. Пока ученый оперирует с привычными понятиями в рамках привычного формализованного языка, он не нуждается в философии. Он подобен шахматисту, переставляющему одни и те же фигуры на одной и той же доске, но решающему разные задачи. И он получает новые результаты, опираясь на свою шахматную, комбинаторную интуицию. Но при этом никогда не выйдет за пределы того, что заложено в его языке, в его шахматах. Улучшить сам язык, формализовать то, что еще не формализовано, — это, значит, прикоснуться к философии. Если новая теория не содержит этого элемента, то она является только следствием старых теорий. Можно сказать, что в каждой теории ровно столько нового, сколько в ней философии.

Из сказанного ясно, какое значение имеет философия для деятельности ученого. В «Диалектике природы» Ф. Энгельс писал:

Естествоиспытатели воображают, что они освобождаются от философии, когда игнорируют или бранят ее. Но так как они без мышления не могут двинуться ни на шаг, для мышления же необходимы логические категории, а эти категории они некритически заимствуют либо из обыденного общего сознания так называемых образованных людей, над которыми господствуют остатки давно умерших философских систем, либо из крох, прослушанных в обязательном порядке университетских курсов по философии (которые представляют собой не только отрывочные взгляды, но и мешанину из воззрений людей, принадлежащих к самым различным и по большей части к самым скверным школам), либо из некритического и бессистемного чтения всякого рода философских произведений — то в итоге они все-таки оказываются в подчинении у философии, но, к сожалению, по большей части самой скверной, и те, кто больше всех ругает философию, являются рабами как раз наихудших вульгаризованных остатков наихудших философских систем1.

Это звучит удивительно современно!

12.5. Формализация и метасистемный переход


Превращение языка в независимую от создавшего его человеческого мозга реальность, происходящее благодаря формализации, имеет далеко идущие последствия. Только что созданная языковая машина (теория) становится, как часть окружающего человека мира, объектом изучения и описания с помощью нового языка. Происходит, таким образом, метасистемный переход. Новый язык называют по отношению к описываемому языку метаязыком, а теории, сформулированные на этом языке и касающиеся теорий на языке-объекте, — метатеориями. Если метаязык формализованный, то он в свою очередь может стать объектом изучения с помощью языка следующего уровня и этот метасистемный переход может повторяться неограниченно.

Таким образом, формализация языка порождает эффект лестницы (см. главу 5). Подобно тому, как овладение общим принципом производства орудий для воздействия на предметы приводит к многократному повторению метасистемного перехода и созданию иерархической системы промышленного производства, так и овладение общим принципом описания (моделирования) действительности с помощью формализованного языка приводит к созданию иерархической системы формализованных языков, на которой основаны современные точные науки. Обе иерархии имеют значительную высоту. Невозможно построить реактивный самолет голыми руками. То же относится и к инструментам, необходимым для постройки самолета. Надо начинать с простейших орудий и пройти всю иерархию сложности инструментов, чтобы добраться до самолета. Точно так же, чтобы обучить дикаря квантовой механике, придется начать с арифметики.

12.6. Лейтмотив новой математики


Суть того, что произошло в математике в XVII в., — овладение общим принципом использования формализованного языка, давшее начало движению вверх по лестнице, которое привело к грандиозным достижениям и продолжается до настоящего времени. Правда, тогда этот принцип не был так четко сформулирован, как это мы делаем теперь, и сам термин «формализованный язык» появился только в XX в. Но фактически он использовался. Реформа Декарта, как мы видели, была первым шагом на этом пути. Сочинения Декарта и, в частности, цитаты, приведенные выше, показывают, что этот шаг отнюдь не был случайным, а вытекал из его метода познания законов природы, который, если сформулировать его в современных терминах, и есть метод создания моделей с помощью формализованного языка. Декарт сознает общность своего метода и его «математичность». В «Правилах для руководства ума» он высказывает уверенность, что должна существовать «некая общая наука, объясняющая все, относящееся к порядку и мере, не входя в исследование никаких частных предметов». Эту науку, пишет он, следует назвать «всеобщей математикой».

Другой великий математик-философ XVII в. г. Лейбниц (1646–1716) уже полностью понимает значение формализации языка и мышления. В течение всей жизни Лейбниц разрабатывал символическое исчисление, названное им «универсальной характеристикой», целью которого было выражать все ясные человеческие мысли и сводить логические умозаключения к чисто механическим операциям. В одной из своих ранних работ он заявляет:

Истинный метод должен дать нам нить Ариадны, т. е. некое осязаемое и грубое средство, которое направило бы разум, подобно начертанным линиям в геометрии и формам операций, предписываемым обучающимся арифметики. Без этого наш разум не смог бы проделать длинный путь, не сбившись с дороги.

Это, по существу, указание на роль формализованного языка как материального фактора понятий-конструктов, т. е. на его главную роль. Н. Бурбаки в историческом очерке об основании математики пишет:

Многочисленные места из сочинений Лейбница, в которых он упоминает о своем грандиозном проекте и о прогрессе, который последует за его реализацией, показывают, с какой ясностью он понимает формализованный язык как чистую комбинацию знаков, в которых имеет значение лишь их сцепление, так что машина сможет получать все теоремы и все недоразумения смогут быть разрешены простым вычислением. Хотя подобные чаяния и могут показаться чрезмерными, все же надо признать, что, находясь именно под их постоянным воздействием, Лейбниц создал значительную часть своих математических трудов и прежде всего свои работы по символике исчисления бесконечно малых. Он сам это прекрасно сознавал и явно связывал свои идеи о введении индексов и детерминантов и свой набросок «Геометрическое исчисление» со своей «характеристикой». Но он считал, что его наиболее значительным трудом будет символическая логика... и хотя ему не удалось создать подобного исчисления, он по крайней мере трижды приступал к реализации своего намерения2.

Идеи Лейбница об «универсальной характеристике» в свое время не получили развития. Дело формализации логики сдвинулось с мертвой точки только во второй половине XIX в. Но идеи Лейбница — свидетельство того факта, что принцип описания действительности с помощью формализованного языка есть врожденная особенность европейской математики, которая всегда была источником ее развития, хотя авторами осознавалась в различной степени.

В наши цели не входит изложение истории современной математики, как и подробное описание понятий, лежащих в ее основе: для этого понадобилась бы отдельная книга. Нам придется удовлетвориться кратким очерком, затрагивающим лишь тот аспект математики, который в первую очередь интересует нас в данной книге, а именно системный аспект.

Лейтмотивом развития математики в течение последних трех столетий было постепенно углубляющееся осознание математики как формализованного языка и вытекающее отсюда возрастание ее «многоэтажности», происходящее путем метасистемных переходов различного масштаба.

В оставшейся части настоящей главы мы рассмотрим важнейшие проявления этого процесса, которые можно назвать вариациями на основную тему, исполняемыми на различных инструментах и в различном сопровождении. Одновременно с ростом здания математики ввысь происходило расширение всех его этажей, в том числе самого нижнего, т. е. сферы приложений.

12.7. «Несуществующие» объекты


Мы уже говорили о «невозможных» числах: иррациональных, отрицательных, мнимых. С точки зрения платонизма использование таких чисел совершенно недопустимо, а соответствующие знаки бессмысленны. Однако индийские и арабские математики стали их понемногу использовать, а в современной математике они укоренились окончательно и бесповоротно и получили подкрепление в виде новых «несуществующих» объектов таких, как бесконечно удаленная точка плоскости. Но это произошло не сразу и возможность получать правильные результаты, оперируя с «несуществующими» объектами, долгое время представлялась удивительной и таинственной. В 1612 г. математик Клавий по поводу правила «минус на минус дает плюс» писал: «Здесь проявляется слабость человеческого разума, который не в состоянии постигнуть, почему оно может быть верным».

В 1674 г. Гюйгенс по поводу одного соотношения между комплексными числами замечает: «Здесь таится что-то для нас непонятное». «Непостижимые загадки математики» — любимое выражение начала XVIII столетия. Даже Коши в 1821 г. обладал еще весьма неясными представлениями о действиях над комплексными величинами3.

Последние сомнения и неясности, связанные с не интерпретируемыми объектами, исчезли только с введением аксиоматического подхода к математическим теориям и окончательным осознанием «языковости» математики. Сейчас мы считаем, что удивляться или противиться наличию в математике таких объектов не больше оснований, чем оснований удивляться или противиться наличию у автомобиля других деталей, кроме четырех колес, которые непосредственно соприкасаются с землей и приводят автомобиль в движение. Комплексные числа и тому подобные объекты — это внутренние «колесики» математических моделей, которые связаны с другими «колесиками», но не связаны непосредственно с «землей», т. е. элементами неязыковой действительности. Поэтому можно действовать с ними, как с формальными объектами (т. е. со знаками, нарисованными на бумаге), в соответствии с их свойствами, определяемыми' аксиомами. И не следует огорчаться из-за того, что вы не можете пойти в булочную и купить √-15 бубликов.

12.8. Иерархия теорий


Осознание принципа описания действительности с помощью формализованного языка порождает, как мы видели, эффект лестницы. Вот пример лестницы из трех ступенек. Арифметика — это теория, которую мы применяем непосредственно к таким объектам неязыковой реальности, как яблоки, овцы, рубли, килограммы товаров. По отношению к ней школьная алгебра является метатеорией, которая знает лишь одну реальность — числа и числовые равенства, а ее буквенный язык — это метаязык по отношению к языку цифр арифметики. Современная аксиоматическая алгебра является метатеорией по отношению к школьной алгебре. Она имеет дело с некоторыми объектами (природа которых не уточняется) и некоторыми операциями над этими объектами (природа операций также не уточняется). Все выводы делаются из свойств операций. В приложениях аксиоматической алгебры к проблемам, сформулированным на языке школьной алгебры, объекты интерпретируются как переменные, а операции — как арифметические действия. Но современная алгебра с не меньшим успехом применяется и к другим ветвям математики, например к анализу или геометрии.

Углубленное изучение математической теории порождает новые математические теории, которые рассматривают исходную теорию в ее различных аспектах. Следовательно, каждая из этих теорий в некотором смысле проще (фундаментальнее), чем исходная теория, подобно тому, как исходная теория проще, чем действительность, которую она рассматривает всегда лишь в каком-то одном аспекте. Происходит расщепление моделей, выделение из сложной модели набора более простых моделей. Формально новые теории столь же универсальны, как исходная теория: их можно применять к любым объектам, которые удовлетворяют аксиомам независимо от их природы. При аксиоматическом подходе различные математические теории образуют, строго говоря, не иерархию по управлению, а иерархию по сложности. Однако, рассматривая те модели, которые на самом деле выражают законы природы (т. е. используются в приложениях математики), мы видим, что математические теории вполне отчетливо делятся на уровни сообразно характеру объекта, к которому они в действительности применяются. Арифметика и элементарная геометрия непосредственно контактируют с неязыковой действительностью, а какая-нибудь теория групп используется для создания новых физических теорий, из которых извлекаются следствия, выраженные на языке алгебры и анализа, которые затем «доводятся до числа» и только после этого сравниваются с экспериментом. И это распределение теорий по уровням соответствует в целом тому порядку, в котором они возникали исторически, ибо возникали они путем последовательных метасистемных переходов. Ситуация здесь в сущности такая же, как и в иерархии орудий производства. Ведь и отверткой можно при желании ковырять землю. Однако изобретена она была не для того и нужна в действительности лишь тому, у кого есть винты, болты или шурупы. Теорию групп можно иллюстрировать простыми примерами из обыденной жизни или элементарной математики, но по-настоящему ее используют лишь математики и физики-теоретики. Продавцу в магазине или инженеру-практику теория групп нужна не больше, чем отвертка первобытному человеку.

12.9. Аксиоматический метод


Для древних греков объекты математики имели реальное существование в «мире идей». Некоторые свойства этих объектов представлялись умственному взору совершенно неоспоримыми и объявлялись аксиомами, другие — неочевидные — следовало доказывать, опираясь на аксиомы. При таком подходе не было большой необходимости в точной формулировке и полном перечне всех аксиом: если в доказательстве используется какое-то неоспоримое свойство объектов, то не так уж важно, занесено оно в список аксиом или нет — истинность доказываемого свойства от этого не страдает. Хотя Евклид в своих «Началах» и приводит список определений и аксиом (включая постулаты), он, как мы видели в главе 10, сплошь и рядом использует положения, интуитивно совершенно очевидные, но не входящие в число аксиом. Что же касается его определений, то число их больше, чем число определяемых объектов, и они совершенно непригодны для использования в процессе доказательства. Список определений в первой книге «Начал» начинается следующим образом.

1. Точка есть то, что не имеет частей.

2. Линия есть длина без ширины.

3. Концы линий суть точки.

4. Прямая линия есть та, которая одинаково лежит относительно всех своих точек.

И так далее, всего 34 определения. Швейцарский геометр Ж. Ламберт (1728–1777) заметил по этому поводу: «То, что Евклид предпосылает в таком изобилии опеределения, есть нечто вроде номенклатуры. Он, собственно говоря, поступает так, как поступает, например, часовщик или другой ремесленник, начиная знакомить учеников с названиями орудий своего мастерства».

Тенденция к формализации математики породила тенденцию к уточнению определений и аксиом. Уже Лейбниц обратил внимание на то, что построение Евклидом равностороннего треугольника опирается на положение, которое из определений и аксиом не вытекает (мы разбирали это построение в главе 10). Однако лишь создание неевклидовой геометрии Н. Лобачевским (1792–1856), И. Больяи (1802–1860) и К. Гауссом (1777–1855) повлекло за собой всеобщее признание аксиоматического подхода к математическим теориям как основного метода математики. Первоначально «воображаемая» геометрия Лобачевского, как и все «воображаемые» явления в математике, была встречена с недоверием и враждебностью. Но вскоре неопровержимый факт существования этой геометрии стал менять точку зрения математиков на отношение между математической теорией и действительностью. Математик не мог отказать геометрии Лобачевского в праве на существование, ибо была доказана ее непротиворечивость. Правда, геометрия Лобачевского противоречила нашей геометрической интуиции, но при достаточно малом параметре кривизны пространства она в малых объемах пространства была неотличима от геометрии Евклида. Что же касается космических масштабов, то совершенно не очевидно, что мы можем и здесь довериться нашей интуиции, сформировавшейся под воздействием опыта, ограниченного малыми объектами. Итак, мы имеем перед собой две конкурирующие геометрии, и возникает вопрос, какая же из них «истинная»?

Стоит задуматься над этим вопросом, как становится ясным, что слово «истинная» не зря взято в кавычки. Строго говоря, эксперимент может дать ответ не на вопрос об истинности или ложности геометрии, а лишь на вопрос о ее полезности или бесполезности, а точнее, о степени полезности, ибо совсем бесполезных теорий, пожалуй, не существует. Эксперимент имеет дело не с геометрическими, а с физическими понятиями. При обращении к эксперименту мы вынуждены как-то интерпретировать геометрические объекты, например, считать, что прямые линии реализуются световыми лучами. Если мы обнаружим, что сумма углов треугольника, образованного световыми лучами, меньше 180, то это вовсе не значит, что геометрия Евклида «ложна». Быть может, она «истинна», но свет распространяется не по прямым, а по дугам окружностей или каким-либо другим кривым линиям. Выражаясь более точно, эксперимент этот покажет, что лучи света нельзя рассматривать как евклидовы прямые. Сама евклидова геометрия этим опровергнута не будет. То же относится, конечно, и к неевклидовой геометрии. Эксперимент может дать ответ на вопрос, является ли луч света воплощением прямой Евклида или прямой Лобачевского, и это, конечно, важный аргумент при выборе той или другой геометрии в качестве основы для физических теорий, но права на существование у той геометрии, которой «не повезло», он не отнимает. Быть может, ей повезет в следующий раз, и она окажется весьма удобной для описания какого-то другого аспекта действительности.

Подобные соображения привели к переоценке относительной важности природы математических объектов и их свойств (включая отношения как свойства пар, троек и т. д. объектов). Если прежде объекты представлялись имеющими независимое реальное существование, а их свойства — чем-то вторичным и производным от природы, то теперь именно свойства объектов, зафиксированные в аксиомах, стали той основой, которая определяет специфику данной математической теории, а объекты утратили всякую специфику и вообще утратили свою «природу», т. е. связываемые с ними в обязательном порядке интуитивные представления; в аксиоматической теории объект это нечто, удовлетворяющее аксиомам. Аксиоматический подход окончательно утвердился на рубеже XIX и XX вв. Интуиция, конечно, сохранила свое значение основного (и, пожалуй, единственного) инструмента математического творчества, но окончательным результатом творчества стала считаться полностью формализованная аксиоматическая теория, которая путем интерпретации может применяться к другим математическим теориям или к неязыковой действительности.

12.10. Метаматематика


Формализация логики была начата (если не считать первых попыток Лейбница) в середине XIX в. работами Дж. Буля (1815–1864) и закончена к началу XX в. главным образом благодаря работам Шредера, К. С. Пирса, Фреге и Пеано. В фундаментальном труде Рассела и Уайтхеда «Principia Mathematica» (вышел в 1910 г.) уже используется формализованный язык, который, если не считать несущественных вариаций, является общепринятым по настоящее время. Этот язык мы описали в главе 6, теперь мы дадим краткий набросок формализации логического вывода.

Существует несколько эквивалентных друг другу формальных систем логического вывода. Мы остановимся на самой компактной. Она использует всего одну логическую связку — импликацию ⊃ и один квантор — квантор общности ∀. Зато она включает логическую константу, которая изображается символом 0 и обозначает тождественно ложное высказывание. Используя эту константу, можно описать отрицание высказывания p как p ⊃ 0, а из отрицания и импликации легко построить и остальные логические связки. Квантор существования выражается через отрицание и квантор общности, таким образом, наш сжатый язык эквивалентен полному языку, рассмотренному в главе 6.

Формальная система (языковая машина) содержит пять схем аксиом и два правила вывода. Схемы аксиом таковы:

A1.p ⊃ (qp).

A2. [p ⊃ (qr)] ⊃ [(pq) ⊃ (pr)].

A3. [(p ⊃ 0) ⊃ 0] ⊃ p.

A4. (∀x)[pq(x)] ⊃ [p ⊃ (∀x)q(x)].

A5. (∀x)q(x) ⊃ q(t).

Здесь р, q, r — произвольные высказывания: в схемах А4 и А5 запись q(x) означает, что выделена одна из свободных переменных, от которых зависит высказывание q; запись q(t) означает, что вместо этой переменной подставлен произвольный терм t; наконец, в схеме А4 предполагается, что переменная х не входит свободно в высказывание р.

Выражение «схема аксиом» означает, что высказывание, имеющее вид одной из формул А1А5, рассматривается как логическая аксиома. Легко убедиться, что эти аксиомы соответствуют нашей интуиции. Схемы А1A3 затрагивают только исчисление высказываний, и их истинность можно проверить по таблицам истинности логических связок. Оказывается, что они истинны всегда независимо от того, какие истинностные значения принимают высказывания р, q и r. Схема А4 гласит, что если q(x) следует при любом х из высказывания р, которое от х не зависит, то из р следует справедливость q(x) при любом х. Схема А5 — это фактически определение квантора общности: если q(x) верно для всех х, то оно верно и для любого t.

Правила вывода можно кратко записать следующим образом:

МР.p | pqqGN.p(x)(∀ξ)p(ξ)

Здесь над чертой стоят посылки, а под чертой — заключения. Первое правило (носящее по традиции латинское название modus ponens) гласит, что если есть две посылки: высказывание p и высказывание, утверждающее, что из p следует q, то в качестве заключения мы выводим высказывание q. Второе правило — правило обобщения (generalization) основано на том, что если удалось доказать некое высказывание p(x), содержащее свободную переменную х, то можно заключить, что это высказывание будет верно при любом значении этой переменной.

Логическим выводом формулы q из множества формул Х (посылок) называется конечная последовательность формул

D = (d1, d2, ..., dn)

такая, что dn совпадает с q и каждая формула di, есть либо формула из множества посылок X, либо логическая аксиома, либо заключение, полученное по правилам вывода из предыдущих формул dj. Когда мы рассматриваем аксиоматическую теорию, то в качестве множества Х фигурирует совокупность всех аксиом данной теории, а логический вывод некоторой формулы есть ее доказательство.

Итак, доказательство формулы само стало формальным объектом, формулой определенного вида (последовательность логических высказываний), вследствие чего возникла возможность чисто синтаксического исследования доказательств как свойств некоторой языковой машины. На эту возможность указал Д. Гильберт (1862–1943), крупнейший математик XX в., который вместе со своими учениками и заложил основы нового направления. Гильберт ввел понятие метаязыка и назвал новое направление метаматематикой. Термин метасистема, который мы ввели в начале книги (и который сейчас является общепринятым), возник в результате обобщения терминологии Гильберта. Действительно, переход к исследованию математическими средствами математических доказательств – яркий пример крупномасштабного метасистемного перехода.

Основная цель, которую преследовала программа, намеченная Гильбертом, это доказательство непротиворечивости различных систем аксиом. Система аксиом называется противоречивой, если из нее можно вывести некоторую формулу q и ее отрицание ¬q. Легко показать, что если существует хотя бы одна такая формула, т. е. если теория противоречива, то из нее можно вывести любую формулу. Поэтому для аксиоматической теории вопрос о непротиворечивости системы аксиом, на которых она основана, имеет чрезвычайно большое значение. Этот вопрос допускает чисто синтаксическую трактовку: можно ли из заданных формул (наборов знаков), действуя по заданным формальным правилам, получить заданный формальный результат? Из такой постановки вопроса и исходил Гильберт; затем оказалось, что существуют и другие важные свойства теорий, которые можно исследовать синтаксическими методами. На этом пути было получено много интереснейших и важнейших результатов, главным образом негативного характера; однако мы не можем здесь на них останавливаться.

12.11. Формализация теории множеств


Понятие совокупности, или множества, принадлежит к числу фундаментальнейших понятий, данных нам природой, и предшествует понятию числа. В своем первичном виде оно не дифференцируется на понятие конечного и бесконечного множеств, однако, эта дифференциация появляется весьма рано; во всяком случае, в древнейших письменных памятниках мы уже находим понятие о бесконечности и бесконечном множестве. Это понятие использовалось в математике испокон веков, оставаясь чисто интуитивным и само собой разумеющимся, и не подвергаясь специальному рассмотрению, пока Георг Кантор (1845–1918) не создал в 70-х годах свою теорию множеств, которая вскоре легла в основу всей математики. Понятие множества (конечного и бесконечного) остается у Кантора по-прежнему интуитивным, он определяет его следующим образом: «Под множеством понимают объединение в одно целое объектов, хорошо различимых нашей интуицией и нашей мыслью». Это «определение» является, конечно, не в большей степени математическим определением, чем «определение» Евклида «точка есть то, что не имеет частей». Но, несмотря на столь нечеткие исходные позиции, Кантор (опять-таки подобно греческим геометрам) создал стройную и логически последовательную теорию, с помощью которой ему удалось привести в замечательный порядок основные понятия и доказательства математического анализа. («Просто поразительно, — пишет Н. Бурбаки, — какую четкость постепенно приобретают у него понятия, которые, казалось, были безнадежно запутаны в классической концепции континуума».) С теорией множеств математики получили единообразный метод создания новых понятий — конструктов и доказательства их свойств. Так, например, действительное число есть множество всех последовательностей рациональных чисел, имеющих предел; отрезок действительной прямой — множество действительных чисел; функция — множество пар (x, f), где х и f — действительные числа.

К концу XIX в. теория множеств Кантора получает признание и естественным образом сочетается с аксиоматическим методом. Но тут разражается знаменитый «кризис основ» математики, продолжавшийся в течение трех десятилетий. В теории множеств были обнаружены «парадоксы», т. е. построения, приводящие к противоречиям. Первый парадокс обнаружил Бурали-Форти в 1897 г., затем появилось еще несколько. Мы приведем в качестве примера парадокс Рассела (1905 г.), который можно изложить, опираясь лишь на первичные понятия теории множеств и не нарушая в то же время требований математической строгости. Парадокс этот таков. Определим M как множество всех тех множеств, которые не содержат себя в качестве элемента. Казалось бы, это определение вполне законно, ибо образование множеств из множеств — одна из основ теории Кантора. Между тем оно приводит к противоречию. Чтобы сделать его более ясным, обозначим через Р(х) свойство множества х быть элементом самого себя. В символической форме

P(x) ≡ xx. (12.1)

Тогда по определению множества М все его элементы х обладают свойством, противоположным Р(х):

xM ≡ ¬P(x). (12.2)

Теперь поставим вопрос: является ли само множество M своим элементом, т. е. истинно ли P(M)? Если P(M) истинно, то MM, согласно определению (12.1). Но в таком случае, подставляя M вместо х в утверждение (12.2), мы получаем ¬P(M). Если M входит в множество M, то по определению последнего оно не должно обладать свойством P. И напротив, если P(M) ложно, т. е. имеет место P(M), то согласно (12.2) М должно входить в M, т. е. Р(М) истинно. Таким образом, P(M) не может быть ни истинным, ни ложным. С точки зрения формальной логики мы доказали две импликации:

P(M) ⊃ ¬P(M), ¬P(M) ⊃ P(M).

Если выразить импликацию через отрицание и дизъюнкцию и воспользоваться свойством дизъюнкции AAA, то первое высказывание превратится в ¬P(M), а второе — в P(M). Мы получили формальное противоречие и, следовательно, из теории множеств можно вывести что угодно.

Парадоксы создали угрозу для теории множеств и основанного на ней математического анализа; возникло несколько философско-математическихнаправлений, предлагавших различные выходы из тупика. Наиболее радикальное направление во главе с Брауэром, получившее название интуиционизма, потребовало не только полного отказа от теории множеств Кантора, но и коренного пересмотра логики. Интуиционистская математика оказалась довольно сложной и с трудом поддающейся развитию, а поскольку классический анализ при этом выбрасывался на свалку, такая позиция была найдена неприемлемой для большинства математиков. «Никто не может изгнать нас из рая, созданного для нас Кантором», — заявил Гильберт, и он нашел выход, который сохранил основное содержание теории множеств и в то же время устранил парадоксы и противоречия. Вместе со своими последователями Гильберт сформировал главное русло, по которому направилось течение математической мысли.

Решение Гильберта полностью соответствует духу развития европейской математики. Если Кантор рассматривал свою теорию с сугубо платоновских позиций — как исследование свойств реально существующих и действительно («актуально») бесконечных множеств, то, по Гильберту, множества надо рассматривать просто как некоторые объекты, удовлетворяющие аксиомам, аксиомы же надо сформулировать так, чтобы определения, приводящие к парадоксам, стали невозможны. Первая система аксиом теории множеств, не порождающая противоречий, была предложена Цермело в 1908 г., затем она была модифицирована. Были предложены и другие системы, однако отношение к теории множеств осталось неизменным. В современной математике теория множеств играет роль каркаса, скелета, который соединяет в единое целое все ее части, но не виден снаружи и не соприкасается непосредственно с внешним миром.

По-настоящему понять эту ситуацию и совместить формальный и содержательный аспекты математики можно только с «языковой» точки зрения на математику. Эта точка зрения, которую мы настойчиво проводили на протяжении всей книги, приводит к следующей концепции. Никаких актуально бесконечных множеств нет ни в реальности, ни в нашем воображении. Единственное, что мы можем найти в своем воображении, это представление о потенциальной бесконечности, т. е. о возможности неограниченно повторять какой-либо акт. Здесь надо полностью согласиться с интуиционистской критикой канторовской теории множеств и отдать должное ее глубине и проницательности. Однако для того, чтобы использовать теорию множеств так, как это делает современная математика, вовсе не надо насиловать свое воображение и пытаться представить «актуальную» бесконечность. «Множества», которые используются в математике — это просто символы, языковые объекты, используемые для построения моделей действительности. Постулируемые свойства этих объектов частично соответствуют интуитивным понятиям совокупности и потенциальной бесконечности, поэтому интуиция частично помогает в развитии теории множеств, но иногда и обманывает. Когда новый математический (языковый) объект определяется как «множество», построенное так-то и так-то, это определение не имеет никакого значения для связи объекта с внешним миром, т. е. для его интерпретации, а нужно лишь для привязки к каркасу математики, для зацепления внутренних колесиков математических моделей.

Таким образом, язык теории множеств является фактически метаязыком по отношению к языку содержательной математики и в этом он подобен языку логики. Если логика — это теория доказательства математических утверждений, то теория множеств — это теория конструирования математических языковых объектов.

Почему же именно интуитивное понятие множества легло в основу математического конструирования?

Определить вновь вводимый математический объект — значит указать его семантические связи с уже введенными объектами. За исключением тривиального случая, когда речь идет о пере обозначении — замене знака на знак, этих связей всегда бывает много и в них может участвовать много ранее введенных объектов. И вот вместо того, чтобы говорить, что новый объект связан так-то и так-то с такими-то и такими-то старыми объектами, говорят, что новый объект есть множество, построенное так-то и так-то из старых объектов. Например, рациональное число есть результат деления двух натуральных чисел: числителя на знаменатель. Число 5/7 есть объект х такой, что значение функции «числитель» (x) есть 5, а значение функции «знаменатель» (x) есть 7. Между тем в математике определяют рациональное число просто как пару натуральных чисел. Точно так же надо было бы говорить только о реализации действительного числа различными последовательностями рациональных чисел, понимая под этим определенную семантическую связь между новыми и старыми языковыми объектами. Вместо этого говорят, что действительное число есть множество последовательностей рациональных чисел. В настоящее время эту терминологию следует рассматривать как пережиток платоновских воззрений, согласно которым важны не языковые элементы, а скрывающиеся за ними элементы «идеальной реальности»; поэтому, чтобы приобрести право на существование, объект должен был определяться как «реальное» множество. Идея множества выдвинулась на «руководящую работу» в математике как один из аспектов связи имя-значение (а именно того факта, что значением обычно является конструкция, состоящая из некоторого числа элементов), а вряд ли стоит доказывать, что связь имя-значение всегда была и будет основой языкового конструирования.

12.12. Трактат Бурбаки


В заключение этой главы нельзя не сказать хотя бы несколько слов о многотомном трактате И. Бурбаки «Элементы математики». Никола Бурбаки — коллективный псевдоним, за которым скрывается группа видных математиков, главным образом французских, сложившаяся в 30-х годах нашего столетия. Начало выпуску в свет «Элементов математики» было положено в 1939 г.

Объединение специалистов в различных областях математики в группу Бурбаки произошло на базе концепции математики как формализованного языка. Цель трактата — изложить с этой точки зрения все важнейшие достижения математики, представить математику как единый формализованный язык. И хотя трактат Бурбаки по разным поводам подвергается критике со стороны некоторых математиков, он, несомненно, является важной вехой развития математики по пути ее само осознания.

Популярно концепция Бурбаки изложена в статье «Архитектура математики». Не превращается ли математика в Вавилонскую башню, в скопление изолированных дисциплин — спрашивает автор в начале статьи. Имеем ли мы дело с одной математикой или с несколькими математиками? Ответ на этот вопрос дается такой. Современная аксиоматическая математика — единственный формализованный язык, выражающий абстрактные математические структуры, которые представляют собой не отдельные независимые объекты, а образуют иерархическую систему. Под структурой Бурбаки понимает некоторое число отношений между объектами, обладающих определенными свойствами. Оставляя объекты полностью неопределенными, и формулируя свойства отношений в виде аксиом, а затем, извлекая из них следствия по правилам логического вывода, мы получаем аксиоматическую теорию данной структуры. В переводе на наш язык, структура — это семантика математической модели. Из числа структур можно выделить несколько типов фундаментальных порождающих структур. К ним относятся алгебраические структуры (отражающие свойства композиции объектов), структуры порядка, топологические структуры (свойства, связанные с понятиями окрестности, предела, непрерывности). Кроме наиболее обшей структуры данного типа, т. е. структуры с наименьшим числом аксиом, в каждом типе порождающих структур мы находим структуры, полученные путем включения дополнительных аксиом. Так, в теорию групп входит теория конечных групп, теория абелевых групп, теория конечных абелевых групп. Комбинация порождающих структур дает сложные структуры, как, например, топологическая алгебра. Таким образом, возникает иерархия структур.

Как же используется аксиоматический метод в математическом творчестве? Именно здесь, пишет Бурбаки, аксиоматика больше всего сближается с экспериментальным методом. Следуя Декарту, она «разделяет трудности, чтобы лучше их разрешить». В доказательствах сложной теории она стремится разъединить главные пружины фигурирующих там рассуждений и, взяв их по отдельности, вывести из них следствия (расщепление моделей или структур, о котором мы говорили выше); затем, возвращаясь к исходной теории, она снова комбинирует предварительно выделенные структуры и изучает, как они взаимодействуют между собой.

1 Энгельс Ф. Диалектика природы. М.: Госполитиздат, 1955. С.165.

2 Бурбаки Н. Элементы математики // Очерки по истории математики. М.: Изд-во Иностр. Лит., 1963. С.15.

3 Это мнение и приведенные выше цитаты взяты из книги: Вейль Г. О философии математики. М.;Л., 1934.

Глава 13. Наука и метанаука


13.1. Экспериментальная физика


На рубеже XVI и XVII столетий, когда закладывались основы новой математики, были заложены также основы экспериментальной физики. Ведущая роль принадлежит здесь Галилею (1564–1642), который не только сделал многочисленные открытия, составившие эпоху, но в своих книгах, письмах и беседах учил современников новому методу получения знаний. Воздействие Галилея на умы было огромно. Другим человеком, сыгравшим важную роль в становлении экспериментальной науки, был Френсис Бэкон (1561–1626), выступивший с философским анализом научного знания и метода индукции.

В отличие от древних греков европейские ученые отнюдь не относились с презрением к эмпирическому знанию и практической деятельности. В то же время они полностью овладели теоретическим наследием греков и уже вступили на путь собственных открытий. Сочетание этих аспектов и породило новый метод. Бэкон пишет:

Те, кто занимались науками, были или эмпириками, или догматиками. Первые, подобно муравью, только собирают и пользуются собранным. Вторые, подобно пауку, из самих себя создают ткань. Пчела же избирает средний способ, она извлекает материал из цветов сада и поля, но располагает и изменяет его собственным умением. Не отличается от этого и подлинное дело философии. Ибо она не основывается исключительно или преимущественно на силах ума и не откладывает в сознание нетронутым материал, извлекаемый из естественной истории и из механических опытов, но изменяет его и перерабатывает в разуме. Итак, следует возложить добрую надежду на более тесный и нерушимый (чего до сих пор не было) союз этих способностей опыта и рассудка1.

13.2. Научный метод


Понятие эксперимента предполагает наличие теории. Без теории эксперимента нет, есть только наблюдение. С кибернетической (системной) точки зрения эксперимент — это управляемое наблюдение; управляющей системой является научный метод, который, опираясь на теорию, диктует постановку эксперимента. Таким образом, переход от простого наблюдения к эксперименту есть метасистемный переход в сфере опыта, и это первый аспект возникновения научного метода; второй его аспект — осознание научного метода как чего-то, стоящего над теорией, иначе говоря, овладение общим принципом описания действительности с помощью формализованного языка, о чем мы говорили в предыдущей главе. В целом возникновение научного метода — это единый метасистемный переход, который создает новый уровень управления, включающий управление наблюдением (постановка эксперимента) и управление языком (разработка теории). Новая метасистема — это и есть наука в современном смысле слова. В рамках этой метасистемы между экспериментом и теорией устанавливаются тесные связи — прямые и обратные. Бэкон описывает их так:

Наш путь и наш метод... состоят в следующем: мы извлекаем не практику из практики и опыт из опыта (как эмпирики), но причины и аксиомы из практики и опытов, а из причин и аксиом — снова практику и опыт, как истинные Истолкователи Природы2.

Теперь мы можем дать окончательный ответ на вопрос, что же произошло в Европе в начале XVII в.: произошел крупнейший метасистемный переход, захвативший как языковую, так и неязыковую деятельность. В сфере неязыковой деятельности он предстал в виде экспериментального метода. В сфере языковой деятельности он дал начало новой математике, которая развивается путем метасистемных переходов (эффект лестницы) по линии все углубляющегося самоосознания в качестве формализованного языка, служащего для создания моделей действительности. Этот процесс мы описали в предыдущей главе, не выходя за пределы математики. Теперь мы можем завершить его описание указанием на ту систему, в рамках которой этот процесс становится возможным. Эта система — наука в целом с научным методом в качестве управляющего устройства, т. е. (расшифровывая эту краткую форму выражения) совокупность всех человеческих существ, занимающихся наукой и овладевших научным методом, вместе со всеми используемыми ими предметами. В главе 5, говоря об эффекте лестницы, мы обращали внимание, что он проявляется в том случае, когда существует метасистема Y, которая продолжает оставаться метасистемой по отношению к системам ряда X, X', X'', ..., где каждая следующая система образуется путем метасистемного перехода от предыдущей, и которая, оставаясь метасистемой, как раз и обеспечивает возможность метасистемных переходов меньшего масштаба от Х к X', от X' к X'' и т. д. Такая система Y обладает внутренним потенциалом развития; мы назвали ее ультраметасистемой. При развитии материального производства ультраметасистемой Y является совокупность человеческих существ, обладающих способностью превращать орудие труда в предмет труда. При развитии точных наук ультраметасистемой Y является совокупность людей, овладевших научным методом, т. е. обладающих способностью создавать модели действительности с помощью формализованного языка.

Мы видели, что у Декарта научный метод, взятый в его языковом аспекте, послужил рычагом для реформы математики. Но Декарт не только реформировал математику; развивая тот же аспект того же научного метода, он создал множество теоретических моделей, или гипотез, для объяснения физических, космических и биологических явлений. Если Галилея можно назвать основоположником экспериментальной физики, а Бэкона — ее идеологом, то Декарт — и основоположник, и идеолог теоретической физики. Правда, модели Декарта были чисто механическими (других моделей тогда и не могло быть) и несовершенными, большая часть вскоре устарела. Однако это не так важно, как важно то, что Декарт утвердил принцип построения теоретических моделей. В XIX в., когда были накоплены первоначальные познания в физике и усовершенствован математический аппарат, этот принцип показал всю свою плодотворность.

Мы не сможем здесь даже в беглом обзоре коснуться эволюции идей физики и ее достижений, так же как идей и достижений других естественных наук. Мы остановимся на двух аспектах научного метода, имеющих универсальное значение, а именно на роли общих принципов в науке и на критериях выбора научных теорий, а затем рассмотрим некоторые следствия достижений новейшей физики ввиду их важного значения для всей системы науки и мировоззрения вообще. В заключение этой главы мы обсудим некоторые перспективы развития научного метода.

13.3. Роль общих принципов


Бэкон выдвинул программу постепенного введения теоретических положений («причин и аксиом») все большей и большей общности, начиная с эмпирических единичных данных. Этот процесс он назвал индукцией (т. е. введением) в отличие от дедукции (выведения) теоретических положений меньшей общности из положений большей общности (принципов). Бэкон был большим противником общих принципов, он говорил, что разум нуждается не в крыльях, которые поднимали бы его ввысь, а в свинце, который притягивал бы его к земле. В период «первоначального накопления» опытных фактов и простейших эмпирических закономерностей, а также в качестве противовеса средневековой схоластике эта концепция еще имела некоторое оправдание, но в дальнейшем оказалось, что крылья разуму все-таки нужнее свинца. Во всяком случае, так обстоит дело в теоретической физике. В подтверждение предоставим слово такому несомненному авторитету в этой области, как Альберт Эйнштейн. В статье «Принципы теоретической физики»3 он пишет:

Для применения своего метода теоретик в качестве фундамента нуждается в некоторых общих предположениях, так называемых принципах, исходя из которых он может вывести следствия. Его деятельность, таким образом, разбивается на два этапа. Во-первых, ему необходимо отыскать принципы, во-вторых, развивать вытекающие из этих принципов следствия. Для выполнения второй задачи он основательно вооружен еще со школы. Следовательно, если для некоторой области, т. е. совокупности взаимозависимостей, первая задача решена, то следствия не заставят себя ждать. Совершенно иного рода первая из названных задач, т. е. установление принципов, могущих служить основой для дедукции. Здесь не существует метода, который можно было бы выучить и систематически применять для достижения цели. Исследователь должен, скорее, выведать у природы четко формулируемые общие принципы, отражающие определенные общие черты множества экспериментально установленных фактов.

В другой статье («Физика и реальность») Эйнштейн высказывается весьма категорически:

Физика представляет собой развивающуюся логическую систему мышления, основы которой можно получить не выделением их какими-либо индуктивными методами из пережитых опытов, а лишь свободным вымыслом.

Слова о «свободном вымысле» означают, конечно, не то, что общие принципы совершенно не зависят от опыта, а то, что они не определяются опытом однозначно. Пример, который Эйнштейн часто приводит, таков. Небесная механика Ньютона и общая теория относительности Эйнштейна построены на одних и тех же опытных фактах. Однако они исходят из совершенно различных, в некотором смысле даже диаметрально противоположных общих принципов, что проявляется и в различном математическом аппарате.

Пока «этажность» здания теоретической физики была невелика, и следствия из общих принципов выводились легко и однозначно, люди не осознавали, что при установлении принципов они имеют определенную свободу. В методе проб и ошибок расстояние между пробой и ошибкой (или успехом) было так невелико, что они не замечали, что пользуются методом проб и ошибок, а полагали, что непосредственно выводят (хотя это и называлось не дедукцией, а индукцией) принципы из опыта. Эйнштейн пишет:

Ньютон, творец первой обширной плодотворной системы теоретической физики, еще думал, что основные понятия и принципы его теории вытекают из опыта. Очевидно, именно в таком смысле нужно понимать его изречение «hypotheses non fingo» (гипотез не сочиняю).

Но со временем теоретическая физика превратилась в многоэтажную конструкцию, и вывод следствий из общих принципов стал делом сложным и не всегда однозначным, ибо часто оказывалось необходимым делать в процессе дедукции дополнительные предположения, чаще всего «непринципиальные» упрощения, без которых невозможно было бы довести расчет до числа. Тогда стало ясно, что между общими принципами теории и фактами, допускающими непосредственную проверку на опыте, существует глубокое различие: первые суть свободные конструкции человеческого разума, вторые — исходный материал, который разум получает от природы. Правда, переоценивать глубину этого различия все-таки не следует. Если отвлечься от человеческих дел и стремлений, то окажется, что различие между теориями и фактами исчезает, — и те и другие являются некоторыми отражениями или моделями действительности вне человека. Различие заключается в уровне, на котором происходит овеществление модели. Факты, если они полностью «деидеологизированы», определяются воздействием внешнего мира на нервную систему человека, которую мы вынуждены рассматривать (пока) как не допускающую переделки, поэтому мы и относимся к фактам как к первичной реальности. Теории — это модели, овеществленные в языковых объектах, которые целиком в нашей власти, поэтому мы можем отбросить одну теорию и заменить ее другой с такой же легкостью, как заменяем устаревший инструмент на более совершенный.

Возрастание абстрактности (конструктности) общих принципов физических теорий, их отдаление от непосредственных опытных фактов приводит к тому, что в методе проб и ошибок все труднее становится найти пробу, имеющую шансы на успех. Разум начинает просто нуждаться в крыльях для воспарения, о чем и говорит Эйнштейн. С другой стороны, увеличение дистанции от общих принципов до проверяемых следствий делает общие принципы в известных пределах неуязвимыми для опыта, на что также часто указывали классики новейшей физики. Обнаружив расхождение между следствиями теории и экспериментом, исследователь оказывается перед альтернативой: искать причины расхождения в общих принципах теории или же где-то на пути от принципов к конкретным следствиям. Вследствие дороговизны общих принципов и больших затрат, необходимых для перестройки теории в целом, сначала всегда пробуют второй путь. Если удается достаточно изящным способом модифицировать вывод следствий из общих принципов так, что они согласуются с экспериментом, то все успокаиваются и проблема считается решенной. Но иногда модификация выглядит явно, как грубая заплата, а порой заплаты наслаиваются друг на друга и теория начинает трещать по всем швам; тем не менее, ее выводы согласуются с данными опыта и она продолжает сохранять свою предсказательную силу. Тогда возникают вопросы: как следует относиться к общим принципам такой теории? Надо ли стремиться заменить их какими-то другими принципами? При какой степени «залатанности» имеет смысл отбрасывать старую теорию?

13.4. Критерии выбора теорий


Прежде всего, заметим, что ясное осознание научных теорий как языковых моделей действительности значительно снижает остроту конкуренции между научными теориями по сравнению с наивной точкой зрения (родственной платонизму), согласно которой языковые объекты теории лишь выражают какую-то реальность и поэтому каждая теория либо «на самом деле» истинна, если эта реальность «на самом деле» существует, либо «на самом деле» ложна, если эта реальность вымышленная. Эта точка зрения порождена перенесением положения, которое имеет место для языка конкретных фактов, на язык понятий-конструктов. Когда мы сравниваем два конкурирующих утверждения: «в этом стакане — чистый спирт» и «в этом стакане — чистая вода», мы знаем, что эти утверждения допускают опытную проверку и то из них, которое не подтвердилось, теряет всякий модельный смысл, всякую долю истинности; оно на самом деле ложное и только ложное. Совсем иначе обстоит дело с утверждениями, выражающими общие принципы научных теорий. Из них выводится множество проверяемых следствий, и если некоторые из них оказываются ложными, то обычно говорят, что к данной сфере опыта исходные принципы (или способы вывода следствий) неприменимы; обычно удается установить и формальные критерии применимости. Поэтому общие принципы в некотором смысле «всегда истинны», точное понятие истинности и ложности неприменимы к ним, а применимо лишь понятие о большей или меньшей их полезности для описания действительных фактов. Подобно аксиомам математики, общие принципы физики — это абстрактные формы, в которые мы стремимся втиснуть природные явления. Конкурирующие принципы отличаются тем, насколько хорошо они это позволяют сделать.

Но что значит хорошо?

Если теория — это модель действительности, то, очевидно, она тем лучше, чем шире область ее применимости и чем больше предсказаний она может сделать. Это и есть первый критерий для сравнения теорий — критерий общности и предсказательной силы теории.

Далее, поскольку теории — это модели, рассчитанные на использование людьми, они, очевидно, тем лучше, чем проще в употреблении. Это второй критерий — критерий простоты теории.

Эти критерии довольно очевидны. Если рассматривать научные теории как нечто стабильное, не подверженное развитию и улучшению, то, пожалуй, трудно было бы выдвинуть в дополнение к этим критериям какие-либо еще. Но человечество непрерывно развивает и улучшает свои теории и это порождает еще один критерий — динамический, который и оказывается решающим. Об этом критерии хорошо сказано Филиппом Франком в книге «Философия науки», и мы приведем его слова.

Если мы посмотрим, какие теории действительно предпочитались из-за их простоты, то найдем, что решающим основанием для признания той или иной теории было не экономическое и не эстетическое, а скорее то, которое часто называлось динамическим. Это значит, что предпочиталась та теория, которая делала науку более динамичной, т. е. более пригодной для экспансии в область неизвестного. Это можно уяснить с помощью примера, к которому мы часто обращались в этой книге: борьба между коперниковской и птолемеевской системами. В период между Коперником и Ньютоном очень много оснований приводилось в пользу как одной, так и другой системы. В конце концов, однако, Ньютон выдвинул теорию движения, которая блестяще объясняла все движения небесных тел (например, комет), в то время как Коперник, так же как и Птолемей, объяснял только движения в нашей планетной системе... Однако законы Ньютона основывались на обобщении коперниковской теории, и мы вряд ли можем представить себе, как они могли бы быть сформулированы, если бы он исходил из птолемеевской системы. В этом, как и во многих других отношениях, теория Коперника была более «динамичной», т. е. имела большее эвристическое значение. Можно сказать, что теория Коперника была математически более «простой» и более динамичной, чем теория Птолемея4.

Эстетический критерий, или критерий красоты теории, о котором упоминает Франк, трудно защищать как самостоятельный, независимый от других критериев. Однако он приобретает большое значение как интуитивный синтез всех указанных критериев. Теория представляется ученому красивой, если она достаточно обща и проста и он предчувствует, что она окажется динамичной. Конечно, он может при этом и ошибиться.

13.5. Физика микромира


В физике, как и в чистой математике, по мере возрастания абстрактности теорий укоренялось понимание их языкового характера. Решающий толчок этот процесс получил после того, как в начале XX в. физика вторглась в пределы мира атомов и элементарных частиц и были созданы теория относительности и квантовая механика. Особенно большую роль сыграла квантовая механика. Эту теорию вообще невозможно понять, если не напоминать себе постоянно, что она представляет собой лишь языковую модель микромира, а не изображение того, как он выглядел бы «на самом деле», если бы можно было бы увидеть в микроскоп с чудовищным увеличением, и что такого изображения нет и быть не может. Поэтому представление о теории как о языковой модели действительности стало составной частью современной физики, стало необходимым физикам для успешной работы. В результате среди физиков стало меняться и внутреннее отношение к характеру своей деятельности. Если раньше физик-теоретик ощущал себя открывателем чего-то существовавшего до него и независимо от него, подобно мореплавателю, открывающему новые земли, то сейчас он ощущает себя, скорее, создателем чего-то нового, подобно мастеру, искусно владеющему своей профессией и создающему новые здания, машины, инструменты. Это изменение проявилось даже в оборотах речи. О Ньютоне говорят по традиции, что он «открыл» исчисление бесконечно малых и небесную механику; о современном ученом скажут, что он «создал», или «предложил», или «разработал» новую теорию; выражение «открыл» прозвучит архаично. Это, конечно, нисколько не ущемляет достоинства теоретиков, ибо созидание – занятие не менее почетное и вдохновляющее, чем открытие.

Почему же квантовая механика потребовала осознания «языковости» теорий?

Согласно первоначальной атомистической концепции атомы представлялись просто очень маленькими частицами вещества, маленькими тельцами, имеющими, в частности, определенную форму и цвет, от которых зависят физические свойства и цвет больших скоплений атомов. Атомная физика начала XX в. перенесла понятие атома («неделимый») на элементарные частицы — электроны и протоны (к которым вскоре добавился нейтрон), а слово «атом» стало обозначать конструкцию, состоящую из атомного ядра (оно, по первоначальной гипотезе, являлось скоплением протонов и электронов), вокруг которого вращаются электроны, как планеты вокруг Солнца. Такое представление о строении вещества считалось гипотетическим, но чрезвычайно правдоподобным. Сама гипотетичность понималась в том смысле, о котором мы говорили выше: планетарная модель атома должна быть либо истинной, либо ложной. Если она истинна (а в этом почти не было сомнений), то электроны — это «на самом деле» маленькие частички вещества, которые описывают определенные траектории вокруг ядра. Правда, по сравнению с атомами древних элементарные частицы уже стали утрачивать некоторые, казалось бы, совершенно необходимые для частиц вещества свойства. Стало ясно, что понятие цвета совершенно неприменимо к электронам и протонам; не то, чтобы мы не знали, какого они цвета, а просто вопрос этот не имеет смысла, ибо цвет есть результат взаимодействия со светом по крайней мере атома в целом, а точнее — скопления многих атомов. Возникали также сомнения относительно понятий о форме и размерах электронов. Но святая святых представления о материальной частице — наличие у частицы в каждый момент времени определенного положения в пространстве — оставалось несомненным и само собой разумеющимся.

13.6. Соотношение неопределенностей


Квантовая механика разрушила это представление. Она была вынуждена это сделать под напором новых экспериментальных данных. Оказалось, что элементарные частицы ведут себя при определенных условиях не как частицы, а как волны, но при этом они не «размазываются» по большой области пространства, а сохраняют свои малые размеры и свою дискретность, размазывается же лишь вероятность их обнаружения в той или иной точке пространства.



Рис. 13.1. Дифракция электронов

Рассмотрим в качестве иллюстрации рис. 13.1. На нем изображена электронная пушка, посылающая электроны определенного импульса на диафрагму, за которой расположен экран. Диафрагма сделана из непрозрачного для электронов материала, но имеет два отверстия, через которые электроны и попадают на экран. Экран покрыт веществом, которое светится под действием электронов, так что в том месте, куда попал электрон, происходит вспышка. Поток электронов из пушки достаточно редкий, так что каждый электрон проходит через диафрагму и фиксируется на экране независимо от других. Расстояние между отверстиями в диафрагме во много раз больше размеров электронов, полученных любыми оценками, но сравнимо по порядку с величиной h/p, где h — константа Планка, а p — импульс электрона, т. е. произведение его скорости на массу.

Таковы условия эксперимента. Результатом его является распределение вспышек на экране. Первый вывод из анализа результатов эксперимента таков: электроны попадают в различные точки экрана, и предсказать, в какую точку попадет каждый электрон, невозможно, можно только предсказать вероятность попадания в ту или иную точку, т. е. среднюю плотность вспышек после попадания в экран очень большого числа электронов.

Но это еще полбеды. Можно представить себе, что различные электроны пролетают в разных местах отверстий в диафрагме, испытывают различной силы влияния со стороны краев отверстий и поэтому отклоняются по-разному. Настоящие неприятности возникают тогда, когда мы начинаем исследовать среднюю плотность вспышек на экране и сравнивать ее с теми результатами, которые получаются, когда мы закрываем одно из отверстий в диафрагме. Если электрон — это маленькая частица материи, то, попадая в район диафрагмы, он либо поглощается, либо проходит через одно из двух отверстий. Так как отверстия диафрагмы расположены симметрично относительно электронной пушки, в среднем половина электронов проходит через каждое отверстие. Значит, если мы закроем одно из отверстий и пропустим через диафрагму миллион электронов, а затем закроем второе отверстие, но откроем первое и пропустим еще миллион электронов, то мы должны получить такую же среднюю плотность вспышек, как если бы мы пропустили через диафрагму с двумя отверстиями два миллиона электронов. Но оказывается, что это не так! При двух отверстиях распределение получается иным, оно содержит максимумы и минимумы, как при дифракции волн.

Рассчитать среднюю плотность вспышек можно с помощью квантовой механики, связав с электронами так называемую волновую функцию, представляющую собой некое воображаемое поле, интенсивность которого пропорциональна вероятности наблюдаемых событий.

У нас отняло бы слишком много места описание всех попыток согласовать представление об электроне как об «обычной» частице (такие частицы стали называть классическими в отличие от квантовых) с экспериментальными данными об их поведении. Этому вопросу посвящена обширная литература, как специальная, так и популярная. Все такие попытки оказались безуспешными. Выяснились следующие две вещи.

Во-первых, если одновременно измеряется координата квантовой частицы (любой, не обязательно электронов) по некоторой оси х и импульс в этом направлении р, то ошибки измерения, которые мы обозначим через x; и p соответственно, подчиняются соотношению неопределенностей Гейзенберга:

x × ∆ph.

Никакими ухищрениями обойти это соотношение нельзя. Чем точнее мы пытаемся измерить координаты, тем больше оказывается разброс по величине импульса р, и наоборот. Соотношение неопределенностей есть универсальный закон природы, но, так как постоянная Планка h весьма мала, при измерениях с телами макроскопического размера оно роли не играет.

Во-вторых, представление о том, что на самом деле квантовые частицы движутся по каким-то вполне определенным траекториям, т. е. в каждый момент времени на самом деле имеют вполне определенные координату и скорость (а значит, и импульс), которые мы просто не можем точно измерить, наталкивается на непреодолимые логические трудности. Напротив, принципиальный отказ от приписывания квантовой частице реальной траектории и принятие положения, что самое полное описание состояния частиц — это задание ее волновой функции, приводят к логически безупречной, а математически простой и изящной теории, которая блестяще согласуется с экспериментальными фактами; в частности, из нее немедленно вытекает соотношение неопределенностей. Эта теория — квантовая механика. В уяснении физических и логических основ квантовой механики и в ее философском осмыслении главную роль сыграла деятельность крупнейшего ученого-философа нашего времени Нильса Бора (1885–1962).

13.7. Наглядные и знаковые модели


Итак, у электрона не существует траектории. Самое большое, что можно сказать об электроне, — это указать его волновую функцию, квадрат которой даст нам вероятность обнаружения электрона вблизи той или иной точки пространства. В то же время мы говорим, что электрон — материальная частица определенных (и очень маленьких) размеров. Смешение этих двух представлений, которого потребовали опытные факты, оказалось делом очень нелегким, и до сих пор все еще находятся люди, которые отвергают обычную интерпретацию квантовой механики (принятую вслед за школой Бора подавляющим большинством физиков) и желают во что бы то ни стало вернуть квантовым частицам их траекторию. Откуда же такая настойчивость? Ведь экспроприация у электронов цвета прошла совершенно безболезненно, а с логической точки зрения признание неприменимости к электрону понятия траектории принципиально ничем не отличается от признания неприменимости понятия цвета. Различие здесь в том, что при отказе от понятия цвета мы проявляем известную долю лицемерия. Мы говорим, что у электрона нет цвета, а сами представляем его в виде этакого серенького (или блестящего — это дело вкуса) шарика. Отсутствие цвета мы заменяем на произвольный цвет, и это нисколько не мешает использованию нашей модели. По отношению к положению в пространстве этот фокус не проходит. Представление об электроне, который в каждый момент где-то находится, мешает пониманию квантовой механики и приходит в противоречие с опытными данными. Здесь мы вынуждены полностью отказаться от наглядно-геометрического представления о движении частицы. Это и вызывает болезненную реакцию. Мы настолько привыкли соединять пространственно-временную картину с истинной реальностью, с тем, что существует объективно и независимо от нас, что нам очень трудно поверить в объективную реальность, которая не укладывается в эти рамки. И мы снова и снова спрашиваем себя: но ведь если электрон не «размазан» в пространстве, то на самом деле он где-то должен находиться?

Нужна упорная работа мысли, чтобы признать и прочувствовать бессмысленность этого вопроса. Прежде всего, надо отдать себе отчет в том, что все наши знания и теории суть вторичные модели действительности, т. е. модели первичных моделей, каковыми являются данные чувственного опыта. Эти данные несут на себе неизгладимый отпечаток устройства нашей нервной системы, а так как пространственно-временные понятия заложены в самых нижних этажах нервной системы, все наши ощущения и представления, все продукты нашего воображения не могут выйти за рамки пространственно-временных картин. Тем не менее, эти рамки можно до известной степени расширить. Но это надо делать не путем иллюзорного движения «вниз» к объективной действительности, «какая она есть независимо от наших органов чувств», а путем движения «вверх», т. е. построения вторичных знаковых моделей действительности.

Разумеется, знаки теории сохраняют непрерывное пространственно-временное бытие, как и первичные данные опыта. Но в отношениях между теми и другими, т. е. в семантике теории, мы можем позволить себе значительную свободу, если будем руководствоваться логикой новых экспериментальных фактов, а не привычной пространственно-временной интуицией. И мы можем построить такую знаковую систему, которая в своем функционировании никак не связана наглядными представлениями, а подчинена единственно условию адекватного описания действительности. Квантовая механика и является такой системой. Квантовая частица в этой системе — не серенький или блестящий шарик и не геометрическая точка, а некоторое понятие, т. е. функциональный узел системы, который вместе с другими узлами обеспечивает описание и предвидение реальных опытных фактов: вспышек на экране, показаний приборов и т. д.

Возвратимся к вопросу о том, как «на самом деле» движется электрон. Мы видели, что из-за соотношения неопределенностей эксперимент в принципе не может дать на него ответа. Значит, в качестве «внешней части» физической модели действительности этот вопрос бессмыслен. Остается приписать ему чисто теоретический смысл. Но тогда он теряет непосредственную связь с наблюдаемыми явлениями и выражение «на самом деле» становится чистым надувательством! Всегда, когда мы выходим за пределы сферы восприятия и объявляем, что «на самом деле» имеет место то-то и то-то, мы движемся не вниз, а вверх — строим пирамиду языковых объектов и только вследствие обмана зрения нам кажется, что мы углубляемся в область, лежащую ниже чувственного опыта. Выражаясь метафорически, плоскость, отделяющая чувственный опыт от реальности, является абсолютно непроницаемой и, пытаясь разглядеть, что под нею, мы видим лишь перевернутое отражение пирамиды теорий. Это не значит, что истинная реальность непознаваема и наши теории не являются ее моделями; надо помнить только, что все эти модели лежат по сию сторону чувственного опыта и бессмысленно сопоставлять отдельным элементам теорий призрачные «реальности» по ту сторону, как это делал, например, Платон. Представление об электроне как о маленьком шарике, движущемся по траектории, — такая же конструкция, как и сцепление знаков квантовой теории. Оно отличается только тем, что включает пространственно-временную картину, которой мы по привычке приписываем призрачную реальность с помощью бессмысленного в данном случае выражения «на самом деле».

Переход к сознательному построению знаковых моделей действительности, не опирающихся на какие-либо наглядные представления о физических объектах, — большое философское завоевание квантовой механики. Фактически физика стала знаковой моделью со времен Ньютона и именно своей знаковости она была обязана успехами (численные расчеты); однако наглядные представления присутствовали в качестве необходимого элемента. Теперь они стали необязательными, и это расширило класс возможных моделей. Те, кто хотят во что бы то ни стало вернуть наглядность, хотя видят, что теория лучше работает без нее, призывают на деле просто к сужению класса моделей. Вряд ли им это удастся. Их можно сравнить с тем чудаком, который в паровоз запрягал лошадь, ибо хотя он и видел, что повозка движется без лошади, признать такое положение нормальным было выше его сил. Знаковые модели — это паровоз, который вовсе не нуждается в лошади наглядных представлений для каждого из своих понятий.

13.8.Крушение детерминизма


Второй важный результат квантовой механики, имеющий общефилософское значение, — это крушение детерминизма. Детерминизм — это понятие философское. Этим именем называют воззрение, согласно которому все события, происходящие в мире, имеют вполне определенные причины и происходят с необходимостью, т. е. не произойти не могут. Попытки уточнить это определение обнаруживают в нем логические дефекты, которые мешают точной формулировке этого воззрения в виде научного положения без введения каких-либо дополнительных представлений об объективной реальности. В самом деле, что значит «события имеют причины»? Разве можно указать какое-то «конечное» число причин данного события и сказать, что других причин нет? И что значит, что событие «не могло не произойти»? Если только то, что оно произошло, то утверждение обращается в тавтологию.

Однако философский детерминизм может получить более точное истолкование в рамках научной теории, претендующей на универсальное описание реальности. И действительно, он получил такое истолкование в рамках механицизма — научно-философской концепции, возникшей на базе успехов классической механики в приложении к движениям небесных тел. Согласно механистической концепции мир — это трехмерное евклидово пространство, заполненное множеством элементарных частиц, которые движутся по некоторым траекториям. Между частицами действуют силы, зависящие от их расположения друг относительно друга, а движение частиц подчиняется законам механики Ньютона. При таком представлении о мире его точное состояние (т. е. координаты и скорости всех частиц) в некоторый фиксированный момент времени однозначно определяет точное состояние мира в любой другой момент. Знаменитый французский математик и астроном П. Лаплас (1749–1827) выразил это положение следующими словами:

Ум, которому были бы известны для какого-либо данного момента все силы, одушевляющие природу, и относительное положение всех ее составных частей, если бы вдобавок он оказался достаточно обширным, чтобы подчинить эти данные анализу, обнял бы в одной формуле движения величайших тел Вселенной наравне с движениями мельчайших атомов: не осталось бы ничего, что было бы для него недостоверным, и будущее, так же как и прошедшее, предстало бы перед его взором5.

Эта концепция получила название лапласовского детерминизма. Она является законным и неизбежным следствием механистической концепции мира. Правда, с современной точки зрения формулировка Лапласа нуждается в некотором уточнении, так как мы не можем признать законными понятия всеведущего разума и абсолютной точности измерения. Но ее легко модернизировать, практически не меняя смысла. Мы говорим, что если известны с достаточной точностью координаты и импульсы всех частиц в достаточно большом объеме пространства, то можно рассчитать поведение любой системы в любом заданном интервале времени с любой заданной точностью. Из этой формулировки, как и из первоначальной формулировки Лапласа, можно сделать вывод, что все будущие состояния Вселенной предопределены. Неограниченно повышая точность и охват измерений, мы неограниченно удлиняем сроки предсказаний. Так как никаких принципиальных ограничений на точность и охват измерений, т. е. таких ограничений, которые вытекали бы не из ограниченности человеческих возможностей, а из природы объектов измерения, не существует, мы можем представить себе предельный случай и заявить, что на самом деле все будущее мира определено уже сейчас и абсолютно однозначно. Здесь выражение «на самом деле» приобретает вполне отчетливый смысл; наша интуиция легко признает законность этого «на самом деле» и сопротивляется его дискредитации.

Итак, механистическая концепция мира приводит к представлению о полной детерминированности явлений. Но это противоречит субъективному ощущению свободы выбора, которым мы обладаем. Отсюда два выхода: признать ощущение свободы выбора «иллюзорным» или же признать механистическую концепцию негодной в качестве универсальной картины мира. Сейчас уже трудно сказать, в какой пропорции разделялись на эти две точки зрения мыслящие люди «доквантовой» эпохи. Если подходить к вопросу с современной позиции, то, даже не зная ничего о квантовой механике, надо решительно встать на вторую точку зрения. Мы понимаем сейчас, что механистическая концепция, как и любая иная концепция, является лишь вторичной моделью мира по отношению к первичным данным опыта, поэтому непосредственные данные опыта всегда обладают приоритетом перед любой теорией. Ощущение свободы выбора есть первичный опытный факт, как и другие первичные факты духовного и чувственного опыта. Теория не может отвергнуть этого факта, она может лишь сопоставить с ним какие-то новые факты — процедура, которую мы при выполнении определенных условий называем объяснением факта. Объявить свободу выбора «иллюзорной» так же бессмысленно, как объявить человеку, у которого болит зуб, что его ощущение «иллюзорно». Зуб может быть совершенно здоров, а ощущение боли — быть результатом раздражения определенного участка мозга, однако от этого оно не становится «иллюзорным».

Квантовая механика разрушила детерминизм. Прежде всего, оказалось ложным представление об элементарных частицах как о маленьких тельцах, движущихся по определенным траекториям, а, следовательно, рухнула и вся механистическая картина мира — такая понятная, привычная и, казалось бы, совершенно несомненная. Физики XX в. уже не могут ясно и убедительно, как это умели физики XIX в., рассказать людям, что на самом деле представляет собой мир, в котором они живут. Но детерминизм рухнул не только как часть механистической концепции, но и как часть любой картины мира. В принципе можно было бы представить себе такое полное описание (картину) мира, которое включает лишь реально наблюдаемые явления, но дает однозначные предсказания всех явлений, которые когда-либо будут наблюдаться. Теперь мы знаем, что это невозможно. Мы знаем, что существуют ситуации, в которых принципиально невозможно предсказать, какое из множества мыслимых явлений осуществляется в действительности. Более того, эти ситуации являются согласно квантовой механике не исключением, а общим правилом; строго детерминированные исходы являются как раз исключением из правила. Квантово-механическое описание действительности — существенно вероятностное описание, а однозначные предсказания оно включает лишь как предельный случай.

В качестве примера рассмотрим опыт с дифракцией электронов, изображенный на рис. 13.1. Условия опыта полностью определены, когда заданы все геометрические параметры установки и начальный импульс электронов, испускаемых пушкой. Все электроны, вылетающие из пушки и попадающие на экран, находятся в равных условиях и описываются одной волновой функцией. Между тем они поглощаются (дают вспышки) в разных точках экрана, и заранее предсказать, в какой точке даст электрон вспышку, невозможно; нельзя даже предсказать, отклонится ли он на нашем рисунке вверх или вниз, можно указать только вероятность попадания в различные участки экрана.

Позволительно, однако, задать вопрос: почему мы уверены, что если квантовая механика не может предсказать точку попадания электрона, то и никакая будущая теория не сможет сделать этого?

На этот вопрос мы дадим не один, а целых два ответа; вопрос вполне заслуживает такого внимания.

Первый ответ можно назвать формальным. Он таков. Квантовая механика основана на том принципе, что описание с помощью волновой функции является максимально полным описанием состояний квантовой частицы. Этот принцип в виде вытекающего из него соотношения неопределенностей подтвержден огромным числом экспериментов, интерпретация которых содержит понятия только низкого уровня, непосредственно связанные с наблюдаемыми величинами. Выводы квантовой механики, включающие более сложные математические расчеты, подтверждены еще большим числом экспериментов. И нет решительно никаких указаний на то, что мы должны усомниться в этом принципе. Но он равнозначен невозможности предсказаний точного исхода опыта. Например, чтобы указать точку на экране, куда попадает электрон, надо знать о нем больше, чем дает волновая функция.

Второй ответ мы начнем с того, что попытаемся понять, почему нам никак не хочется согласиться с невозможностью предсказания точки, куда попадет электрон. Столетия развития физики приучили людей к мысли, что движение неодушевленных тел регулируется исключительно внешними по отношению к ним причинами и что путем достаточно тонкого исследования эти причины можно всегда обнаружить, подсмотреть их. Это убеждение было вполне оправдано, пока считалось возможным подсматривать за системой, не влияя на нее, что имело место в опытах над макроскопическими телами. Представьте себе, что на рис. 13.1 рассеиваются не электроны, а пушечные ядра и что вы изучаете их движение. Вы видите, что в одном случае ядро отклоняется вверх, а в другом — вниз, и вы не желаете верить, что это происходит само по себе, а убеждены, что различие в поведении ядер объясняется какой-то реальной причиной. Вы снимаете полет ядра на кинопленку или предпринимаете еще какие-то действия и, в конце концов, находите такие явления A1 и A2, связанные с полетом ядра, что при наличии A1 ядро отклоняется вверх, а при наличии A2 — вниз. И вы говорите, что A1 — причина отклонения ядра вверх, а A2 — причина отклонения вниз. Возможно, что ваша камера окажется несовершенной или вам просто надоест исследование и вы не найдете искомой причины. Но вы все-таки останетесь в убеждении, что на самом деле причина существует, т. е. если бы вы получше посмотрели, то явления A1 и A2 были бы обнаружены.

Как же обстоит дело в опыте с электронами? Вы снова видите, что электрон в одних случаях отклоняется вверх, в других — вниз и в поисках причины пытаетесь проследить за его движением, подсмотреть за ним. Но тут оказывается, что вы не можете подсмотреть за электроном, не влияя на его судьбу самым катастрофическим образом. Чтобы «увидеть» электрон, надо направить на него поток света. Но свет взаимодействует с веществом порциями, квантами, которые подчиняются тому же самому соотношению неопределенностей, что и электроны, и другие частицы. Поэтому с помощью света, а также с помощью любых других средств исследования выйти за пределы соотношения неопределенностей не удается. Пытаясь уточнить координату электронов с помощью фотонов, мы либо сообщаем ему такой большой и неопределенный импульс, который портит весь эксперимент, либо измеряем координату так грубо, что не узнаем о ней ничего нового. Таким образом, явлений A1 и A2, т. е. причин, по которым электрон в одних случаях отклоняется вверх, а в других случаях вниз, не существует в действительности. А утверждение, что «на самом деле» какая-то причина есть, теряет всякий научный смысл.

Итак, существуют явления, у которых причин нет, точнее, существует ряд возможностей, из которых одна осуществляется без всякой причины. Это не значит, что принцип причинности вообще следует отбросить: в том же опыте если отключить электронную пушку, то вспышки на экране вообще исчезнут и причиной их исчезновения будет отключение пушки. Но это значит, что его надо существенно ограничить по сравнению с тем, как он понимался в классической механике и как он до сих пор понимается обыденным сознанием. У некоторых явлений причин нет, их надо принимать просто как нечто данное. Таков уж мир, в котором мы живем.

Второй ответ на вопрос о причинах нашей уверенности в существовании непредсказуемых явлений состоит в том, что с помощью соотношения неопределенностей мы уясняем себе не только массу новых фактов, но и природу того перелома в отношении причинности и предсказуемости, который происходит при вторжении в микромир. Мы видим, что вера в абсолютную причинность проистекала из молчаливого предположения о наличии бесконечно тонких средств исследования, «подсматривания» за объектом. Но, дойдя до элементарных частиц, физики обнаружили, что существует минимальный квант действия, измеряемый постоянной Планка, и это создает порочный круг при попытках детализировать сверх меры описание одной частицы с помощью другой. И абсолютная причинность рухнула, а вместе с ней и детерминизм. С общефилософской точки зрения представляется вполне естественным, что если не существует бесконечной делимости материи, то не существует и бесконечной детальности описания, так что крушение детерминизма представляется более естественным, чем если бы он сохранился.

13.9. «Сумасшедшие» теории и метанаука6


Успехи квантовой механики, о которых мы говорили выше, относятся главным образом к описанию нерелятивистских частиц, т. е. частиц, движущихся со скоростями, много меньшими, чем скорость света, так что эффектами, связанными с теорией относительности (релятивистскими эффектами), можно пренебречь. Именно нерелятивистскую квантовую механику мы имели в виду, когда говорили о ее полноте и логической стройности. Нерелятивистская квантовая механика достаточна для описания явлений атомного уровня, но физика элементарных частиц высоких энергий требует создания теории, совмещающей идеи квантовой механики и теории относительности. До сих пор на этом пути достигнуты лишь частичные успехи; единой и последовательной теории элементарных частиц, объясняющей огромный материал, накопленный экспериментаторами, не существует. Попытки построить новую теорию путем непринципиальных исправлений старой теории не приводят к значительным результатам. Создание удовлетворительной теории элементарных частиц упирается в чрезвычайную своеобразность этой области явлений, происходящих как бы в совсем ином мире и требующих для своего описания совершенно необычных понятий, в самой основе расходящихся с привычной нам понятной схемой.

В конце 50-х годов Гейзенберг предложил новую теорию элементарных частиц, ознакомившись с которой Бор сказал, что она вряд ли окажется верной, потому что она «недостаточно сумасшедшая». Теория действительно не получила признания, а меткое замечание Бора стало известно всем физикам и даже попало в популярную литературу. Словечко «сумасшедшая» естественным образом ассоциировалось с эпитетом «странный», применяемым к миру элементарных частиц. Но означает ли «сумасшедшая» только «странная», «необычная»? Пожалуй, если бы Бор сказал «недостаточно необычная», афоризма не получилось бы. Слово «сумасшедшая» вносит оттенок «шальная», «взявшаяся неизвестно откуда» и блестяще характеризует нынешнюю ситуацию в теории элементарных частиц, когда всеми признается необходимость глубокой перестройки теории, но, как к ней приступить, неизвестно.

Возникает вопрос: неужели «странность» мира элементарных частиц, неприменимость к нему нашей интуиции, выработанной в макромире, обрекает нас отныне и навечно на блуждание в темноте?

Вдумаемся в природу возникших трудностей. Принцип создания формализованных языковых моделей действительности не пострадал при переходе к изучению микромира. Но если колесики этих моделей — физические понятия — брались в своей основе из нашего повседневного макроскопического опыта и лишь уточнялись путем формализации, то для нового «странного» мира нужны новые «странные» понятия, которые взять неоткуда и которые придется, следовательно, изготовлять заново, да еще и соединить их должным образом в целостную схему. На первом этапе исследования микромира одно из таких колесиков — волновая функция нерелятивистской квантовой механики — было изготовлено сравнительно легко, опираясь на уже существовавший математический аппарат, служивший для описания макроскопических явлений (механика материальной точки, механика сплошных сред, теория матриц). Физикам просто повезло: они нашли прообразы необходимого им колесика в двух (совершенно различных) колесиках макроскопической физики и составили из них «кентавра» — квантовое понятие волны-частицы.

Однако нельзя все время рассчитывать на везение. Чем глубже мы проникаем в микромир, тем сильнее отличаются необходимые понятия-конструкты от привычных понятий макроскопического опыта и тем меньше вероятность соорудить их с ходу, без всяких инструментов, без всякой теории. Следовательно, мы должны подвергнуть научному анализу саму задачу построения научных понятий и теорий, т. е. совершить очередной метасистемный переход. Чтобы квалифицированно построить определенную физическую теорию, нам нужна общая теория построения физических теорий (метатеория), в свете которой прояснится путь решения нашей конкретной задачи. Сравнение наглядных моделей старой физики с лошадью, а абстрактных знаковых моделей с паровозом, можно развить следующим образом. Лошади предоставлены в наше распоряжение природой. Они растут и размножаются сами по себе, и чтобы использовать их, не нужно знать их внутреннее устройство. Но паровоз мы должны построить сами. Для этого мы должны понять принципы его устройства и физические законы, лежащие в их основе, а также иметь какие-то инструменты для работы. Пытаясь построить теорию «странного» мира, не имея метатеории физических теорий, мы уподобляемся человеку, который задумал построить паровоз голыми руками или построить самолет, не имея представления о законах аэродинамики.

Итак, созрел очередной метасистемный переход. Физика требует... хочется сказать «метафизики», но, к счастью для нашей терминологии, нужная нам метатеория является таковой по отношению к любой естественнонаучной теории, имеющей высокую степень формализации, поэтому ее правильнее назвать метанаукой. Этот термин обладает тем недостатком, что создает впечатление, будто метанаука есть нечто, принципиально лежащее вне науки, в то время как в действительности новый уровень иерархии, создаваемый этим метасистемным переходом, надо, конечно, включить и в общее тело науки, расширяя тем самым это тело. Ситуация здесь такая же, как с термином метаматематика; ведь метаматематика — это тоже часть математики. Но поскольку термин «метаматематика» был все-таки принят, можно считать приемлемым и термин «метанаука». Впрочем, поскольку важнейшая часть метанаучного исследования — исследование понятий теории, можно предложить также термин концептология.

Основную задачу метанауки можно сформулировать так. Дана некая совокупность или некий генератор фактов. Каким образом построить теорию, эффективно описывающую эти факты и делающую правильные предсказания?

Если мы хотим, чтобы метанаука вышла за рамки общих рассуждений, то надо строить ее как полноценную математическую теорию, а для этого ее объект — естественнонаучная теория — должен предстать в формализованном (пускай упрощенном — такова цена формализации) виде, подвластном математике. Представленная в таком виде научная теория есть формализованная языковая модель, механизм которой составляет иерархическая система понятий — точка зрения, которую мы приводили на протяжении всей книги. С этой точки зрения создание математической метанауки представляется очередным и естественным метасистемным переходом, совершая который мы делаем предметом изучения формализованные языки в целом, причем не только в отношении их синтаксиса, но также — и главным образом — с точки зрения семантики, с точки зрения их приложения к описанию действительности. К этому шагу нас подводит весь путь развития физико-математической науки.

Впрочем, до сих пор мы в своих рассуждениях исходили из потребностей физики. А как обстоит дело с точки зрения чистой математики?

Если физики-теоретики знают, что им нужно, но сделать могут немного, то «чистых» математиков можно, скорее, упрекнуть в том, что они сделать могут много, но не знают, что им нужно. Нет спору, многие чисто математические работы нужны для придания связности и стройности всему зданию математики, и смешно было бы требовать от каждой работы немедленных «практических» приложений. Но все-таки математика создается для познания действительности, а не с эстетическими или спортивными целями, подобно шахматам, и даже самые высокие ее этажи нужны, в конечном счете, лишь постольку, поскольку они способствуют достижению этой цели.

Вероятно, рост здания математики ввысь нужен всегда и представляет собой безусловную ценность. Но математика разрастается также и вширь, и все труднее становится определить, что не нужно, а что нужно, и если нужно, то в какой степени. Математическая техника развита сейчас настолько, что сконструировать в рамках аксиоматического метода несколько новых математических объектов и исследовать их свойства стало чуть ли не таким же обыкновенным, хотя и не всегда легким делом, как для древнеегипетских писцов произвести вычисления над дробями. Но, кто знает, понадобятся ли эти объекты? Возникает потребность в теории приложения математики, а это по существу и есть метанаука. Следовательно, развитие метанауки — это направляющая и организующая задача по отношению к более конкретным математическим задачам.

До создания эффективной метанауки пока еще далеко. Сейчас трудно представить даже ее общие контуры. Чтобы они прояснились, необходимо выполнить еще много подготовительных работ. Физики должны овладеть «бурбакизмом», прочувствовать игру математических структур, которая приводит к возникновению богатых аксиоматических теорий, пригодных для детального описания реальности. Они должны вместе с математиками научиться раскладывать знаковые модели на отдельные кирпичики, чтобы складывать из них нужные им блоки. И, конечно, необходимо развитие техники проведения формальных выкладок над произвольными символьными выражениями (а не только числами) с помощью электронных вычислительных машин. Подобно тому, как переход от арифметики к алгебре происходит только после полного освоения техники арифметических вычислений, так и переход к теории создания произвольных символьных систем требует высокой техники действий над символьными выражениями, требует практического снятия проблемы выполнения громоздких формальных выкладок. Внесут ли новые методы вклад в разрешение тех конкретных трудностей, которые стоят сейчас перед теорией элементарных частиц, или же они будут раньше разрешены ручными, «дедовскими» методами, неизвестно, да это, в конце концов, и не важно, ибо, несомненно, появятся новые трудности. Так или иначе, вопрос о создании метанауки стоит на повестке дня. Рано или поздно он должен быть решен, и тогда люди получат новое оружие для покорения самых странных фантастических миров.

1 Bacon F. Novum Organum, Great books of the western world. Encyclopedia Britannica, 1955. Aphorism 95. P. 126.

2 Bacon F. Ор. cit. Aphorism 117. Р. 131.

3 Cм. сборник: Эйнштейн А. Физика и реальность. М.: Наука, 1965. Следующие ниже цитаты взяты также из этого сборника.

4 Frank P. Philosophy of science. Englewood Cliffs (New Jersey): Prentice-Hall, 1957.

5 Лаплас П. Опыт философии теории вероятностей. М., 1908. С. 9.

6 Этот раздел написан по мотивам статьи автора под таким же названием, опубликованной в журнале «Вопросы философии», 1968. N5.

Глава 14. Феномен науки


14.1. Высший уровень иерархии


Вселенная эволюционирует. Организация материи постоянно усложняется. Это усложнение происходит путем метасистемных переходов — возникновения новых уровней организации, которые представляют собой уровни иерархии по управлению. Неорганический мир, растения, животные, человек — таков путь эволюции, пройденный на нашей планете, и, насколько нам известно, это самое далекое продвижение вперед в окружающей нас части космического пространства. Представляется также весьма вероятным — вершина эволюции всего Космоса. Во всяком случае, у нас нет не только прямых указаний, но даже и малейших намеков на существование более высокого уровня организации, поэтому нам ничего не остается, как считать себя первыми.

Появление человека знаменует начало Эры Разума, ведущей силой развития становится сознательное человеческое творчество, высшим уровнем организации — культура человеческого общества. Развиваясь, культура порождает внутри себя следующий уровень иерархии — критическое мышление, которое в свою очередь порождает современную науку — построение моделей действительности с помощью знаковых систем. Это новые модели, их не было и не могло быть в мозге отдельного человеческого существа, взятого вне цивилизации и культуры, и они в колоссальной степени увеличивают власть человека над природой. Они образуют непрерывно совершенствующийся и развивающийся сверхмозг того сверхсущества, которым является человечество в целом. Итак, наука представляет высший уровень иерархии в организации космической материи, она — верхушечная почка растущего дерева, активная точка эволюции Вселенной. В этом значение космического феномена науки как части феномена человека.

14.2. Наука и производство


Подобно тому, как в эволюции животных был этап, когда формировалась центральная нервная система и, вследствие этого, происходили глубокие изменения в строении, поведении и внешнем облике организма, в развитии общества наступила сейчас эпоха бурных и глубоких перемен, происходящих под непосредственным воздействием науки. В начале первой промышленной революции роль науки была еще относительно небольшой, но затем последовали открытия в физике и химии, которые привели к революционным переменам в технике и условиях общественной жизни. В 50-х годах нашего столетия началась вторая промышленная революция, целиком обязанная достижениям науки. Сейчас она еще только набирает скорость, и даже ее ближайшие последствия трудно предвидеть заранее.

Наука стала непосредственной производительной силой — эта мысль, получившая теперь широкое признание, часто высказывается в печатных трудах и выступлениях. С другой стороны, она не может развиваться без развития промышленного производства и становится делом все более дорогостоящим. Современное производство требует не только использования голых рецептов науки, но и внедрения научного исследования и научного подхода во все свои звенья. Оно все более начинает походить на науку. В то же время наука, втягивая в себя значительную часть человеческих и материальных ресурсов общества, становясь массовой регулируемой деятельностью, приобретает черты производства. Наука и производство срастаются в единую иерархическую систему. Верхушечная почка испускает листья, которые сначала быстро растут, а затем застывают и превращаются в стандартные, устойчивые формы взаимодействия с материальной действительностью: электромоторы, самолеты, машины для производства синтетических тканей, генетические методы селекции. А почка поднимается все выше и плодит все новые и новые листья.

14.3. Рост науки


Наука растет и растет стремительно — по экспоненциальному закону, т. е. таким образом, что за каждые сколько-то лет ее количественные характеристики возрастают во столько-то раз. Общее число статей в научных журналах всего мира удваивается за 12–15 лет1. Число научных работников удваивается: в Западной Европе — за 15 лет, в США — за 10 лет, в СССР — за 7 лет. При таком бешеном темпе роста современное поколение ученых составляет 9/10 суммарной численности всех ученых, когда-либо живших на Земле.

Вместе с наукой экспоненциально растут и другие количественные характеристики, относящиеся к человечеству: общая численность людей и общий объем производства материальных ценностей. Но по темпам роста наука значительно обгоняет их. Темпы роста населения, производства и науки находятся, грубо говоря, в пропорции 1:2:4. Это — здоровая пропорция, отражающая такую эволюцию организма, когда масса мышц возрастает быстрее, чем общая масса тела, а масса мозга возрастает быстрее, чем масса мышц. Правда, с территориальным распределением прироста дело обстоит неблагополучно: высокий прирост населения приходится в основном на страны с низким приростом производства и практически нулевым вкладом в мировую науку. Однако с этой болезнью роста человечество, будем надеяться, сумеет справиться. В том, что это болезнь роста, вряд ли можно усомниться: ведь и быстрый рост населения в слаборазвитых странах обязан высокому уровню мировой науки (медицинское обслуживание, социальные сдвиги). Человечество уже сейчас представляет собой весьма интегрированную систему, и его общий взлет, передаваемый пропорцией 1:2:4, — результат развития науки — явление совсем недавнее. Если экстраполировать в прошлое современный прирост населения (порядка 2% в год), то окажется, что всего около тысячи лет назад на Земле должно было жить два человека!


Годы

1700 1800 1900 2000


Рис. 14.1. Рост обшей массы научных журналов

Доля людей, занятых непосредственно в сфере науки, пока еще невелика даже в высокоразвитых странах — от 0,5 до 1%. Сейчас она быстро растет, однако рано или поздно рост ее, очевидно, замедлится, она выйдет на постоянный уровень, величину которого трудно предсказать. Насколько можно судить по литературе, считается маловероятным, чтобы этот уровень превысил 25%. Ведь и мозг человека составляет по весу небольшую долю всего тела.

Абсолютное число людей, занимающихся научной деятельностью, будет, тем не менее, непрерывно возрастать, а вместе с ним будет непрерывно возрастать и количество производимой ими информации. Уже сейчас это количество огромно. Первые научные периодические издания начали выходить во второй половине XVII в. К началу 60-х годов нашего века их суммарное число составило 50 тыс. (рис. 14.1), продолжало выходить из них 30 тыс. изданий. Всего в них было опубликовано 6 млн. статей, и эта цифра увеличивалась на полмиллиона в год2. Общее число зарегистрированных патентов и авторских свидетельств превысило 13 млн.

Этот поток информации, требующий анализа, порождает серьезные трудности. Научная работа уже давно требует крайней степени специализации, однако, в последнее время все чаше возникает такое положение, когда ученый лишается возможности уследить за всеми новыми работами даже в своей узкой области. Перед ним встает дилемма: либо читать статьи, либо работать. Вдобавок вследствие технических трудностей распространения и переработки огромных количеств информации (можно это также назвать несовершенством системы информации в науке и технике) часто приходится затрачивать большие усилия на поиски нужной информации, и они не всегда приводят к успеху. В результате многие работы делаются повторно или не так, как их следовало бы делать. По оценке американских ученых от 10 до 20% научно-исследовательских и проектно-конструкторских работ можно было бы не проводить, если бы имелась информация об уже выполненных работах. Убытки от этого в США составили 1,25 млрд. долларов. Согласно Г. Н. Доброву, в 1946 г. 40% заявок на изобретения в области угольного комбайностроения отвергались как повторные. В 1961 г. эта цифра возросла до 85%.

14.4. Формализация научного языка


Можно ли сделать отсюда вывод, что в науке наступил информационный кризис? Пожалуй, еще нет. О кризисе говорить рано, но уже видно, что вследствие непрерывного возрастания потока информации кризис наступит в недалеком будущем, если не произойдет каких-либо качественных перемен в организации научных исследований. До сих пор организация научных исследований имеет формы, сложившиеся традиционно, сами по себе. Они не только не являются результатом научного исследования, но до самого недавнего времени не были даже его предметом. Итак, необходим научный подход к проблеме организации научной деятельности, т. е. новый метасистемный переход: научное управление системой науки. Этот метасистемный переход имеет два аспекта. Первый аспект не выходит за рамки науки как подсистемы в системе культуры и создает новый уровень иерархии в рамках науки как языковой, по преимуществу, деятельности. Это то, что мы в предыдущей главе назвали метанаукой. Второй аспект касается науки как социального явления. Этот аспект получил название науки о науке или науковедения.

Понятие метанауки мы ввели в предыдущей главе, отправляясь от проблем, стоящих перед теоретической физикой, и без всякой связи с информационной проблемой. Впрочем, уже говоря о математике, мы заметили, что метанаучный концептологический подход является организующим началом для того безграничного числа теорий и задач, которые может породить аксиоматическая знаковая математика. Связь с информационной проблемой в естественных и технических науках здесь очевидна. Можно много чего исследовать, и можно смелой рукой начертать множество планов исследований. Но, во-первых, надо иметь ясные принципы планирования — планы планов. Иначе возникает анархия планов, животная борьба за существование между планами, и в этой борьбе, увы, зачастую решающими оказываются факторы, далекие от интересов науки: престижные соображения, личные связи и т. п. Во-вторых, необходимо, чтобы язык естественных наук и техники был полностью формализован, тогда совокупность человеческих знаний предстанет в виде стройной системы и тогда только, кстати говоря, и станет возможным выбирать научные принципы планирования науки. Не надо думать, что процесс формализации есть нечто «формальное», т. е. синтаксическое, сводящееся лишь к новым обозначениям. Задача формализации научного языка — это концептологическая, семантическая задача, задача выработки новых понятий, подобная формализации и аксиоматизации, происшедшей в математике.

Полностью формализованный язык — это язык, доступный машине. Имея формализованный каркас в научном здании, мы можем отделить работы, которые могут быть выполнены машинами, автоматами, от работ, которые требуют творческого участия человека, и выполнять машинные работы с помощью машин. Конечно, и сейчас уже простейшие из таких задач решаются машинами (автоматика, использование ЭВМ). Но формализация позволит существенно, многократно повысить уровень задач, решаемых машинным образом. Прежде всего, это относится к обработке потоков информации. Систематизация и хранение информации, отбор нужной информации, простейшие преобразования информации — эти и другие задачи, образующие сейчас информационную проблему, не могут удовлетворительно решаться на машинах без полной формализации языка. Именно трудности формализации языка ограничивают в настоящее время применение вычислительных машин в информатике. Успехи, которые здесь достигаются, связаны в основном с более или менее успешной формализацией более или менее обширной части научно-технического языка.

14.5. Человек и машина


Но машинизация нижних этажей науки должна захватить и уже захватывает не только языковую деятельность, но и непосредственное манипулирование изучаемыми природными объектами. Собственно говоря, каждое исследование современной автоматики в научных экспериментах есть как раз такой «выход машины на исследование». Повышение уровня автоматизации в той или иной частной сфере исследований означает полную формализацию соответствующей части научного языка. Прообразом будущих достижений в этом направлении является, например, автоматический просмотр фотографий со следами (треками) элементарных частиц и отбор заданных конфигураций треков. Глобальный выход машин на непосредственный контакт с природой потребует глобальной формализации языка науки. Следующий этап, который можно предвидеть, — самостоятельная постановка машинами экспериментов в соответствии с метанаучными рекомендациями.

Общий смысл машинизации науки, как и машинизации производства, — это освобождение человека от нетворческой деятельности, потребность в которой, как это ни парадоксально, возникает именно благодаря успехам творческой деятельности! Ибо что такое творчество? Прежде всего, творчество — это конструктивное действие, т. е. действие, приводящее к увеличению организованности в мире. Но характеристика действия как творческого не есть характеристика по одним лишь его результатам, рассматриваемым без всякой связи с механизмом действия, с отношением между этим действием и породившей его системой. Одно и то же действие может быть творческим актом, когда оно совершается впервые, и механическим повторением пройденного, когда оно совершается по уже сложившимся, известным правилам, путем применения стандартных приемов. Все, что производится в рамках уже существующей системы управления, будь то работа вычислительной машины или сочинение трафаретных статей, — уже не творчество.

Творчество — это всегда выход за рамки системы, это свободное действие. Творчество — это метасистемный переход. Эволюция Вселенной есть непрерывное творчество. Одно из проявлений этого процесса — творческие акты в культуре, которые создают новые уровни управления и тем самым лишают действия нижнего уровня их творческого характера. Чтобы построить пирамиду, надо было согнать тысячи рабов; чтобы рассчитать на бумаге точные положения планет, надо было выполнить тысячи арифметических действий. Машинизация призвана избавить человека от такого сорта работ и перенести его деятельность на тот уровень иерархии, где она в настоящий момент еще является творческой. Со временем и этот уровень перестанет быть творческим — граница между нетворческим и творческим трудом непрерывно ползет вверх.

В идеале должно было бы быть так, чтобы немедленно вслед за осознанием наличия системы в какой-то деятельности эта деятельность в той части, в которой она подчиняется обнаруженной системе, могла быть передана машине. Но пока это далеко не так. Существует весьма значительный разрыв между появлением нетворческой компоненты в реальной деятельности и практической возможностью передачи ее машине. Развитие автоматизации в сфере неязыковой деятельности, сопровождаемое формализацией языка в сфере языковой деятельности, сокращает этот разрыв, но он все еще остается большим.

Информационная проблема в науке, необходимость рутинных, стереотипных исследований, необходимость преодоления организационных трудностей для проведения экспериментов — все это свидетельствует о наличии этого разрыва в научной деятельности. О производственной деятельности и говорить нечего. До заводов-автоматов, которые по заложенным в них чертежам выпускали бы автомобили и телевизоры, пока еще далеко. Еще дальше до ситуации, когда никаких других заводов, кроме таких заводов-автоматов, не будет, но рано или поздно такая ситуация возникнет. Разрыв, о котором идет речь, будет ликвидирован или сведен к минимуму. Формализация языка и автоматизация избавят человека от нетворческой работы, как использование механической энергии избавило его (в массе) от тяжелой физической работы.

14.6. Научное управление обществом


Социальный аспект управления наукой неотделим от проблемы управления обществом в целом. Наука и производство — повторим это еще раз — срастаются в единую систему. Неразрывно связаны с этой системой также политика и идеология. Наконец, оба аспекта метасистемного перехода, необходимого для развития науки, — метанаучный и социальный, тоже связаны неразрывно, и нет никакой надежды осуществить в полном объеме первый из них, не осуществив второго. Таким образом, мы имеем здесь единую, по существу, проблему — проблему научного управления обществом. И даже с точки зрения «чистой» науки эта проблема является проблемой номер один, не решив которую продвигаться вперед невозможно.

На начальных этапах развития науки у ученых было сравнительно благопристойное оправдание невмешательства в общественные дела. Можно было сказать, что наука сама по себе представляет одну из высших ценностей бытия и в дальнейшем она продемонстрирует свои удивительные возможности, а пока она в зародышевом состоянии и ей надо во что бы то ни стало предоставить покой и тепло для развития. Ученый мог сказать, подобно курице, сидящей на яйцах: «Делайте, что хотите, только оставьте меня в покое! Я высиживаю удивительного цыпленка. Это — главное».

В наше время такого сорта рассуждения представляли бы собой чистое лицемерие. Удивительный цыпленок вылупился из яйца и требует пищи. Теперь изолировать его от окружающей среды — значит уморить голодом.

14.7. Наука и нравственность


Итак, наука претендует на роль верховного судьи и распорядителя всей жизни общества. Но справится ли она с этой ролью? Ведь людям нужны не только знание законов природы и умение ими пользоваться, им нужны еще определенные нравственные принципы — ответ на вопросы: что есть добро и что есть зло? К чему должен стремиться человек и чему противиться? Каковы смысл и цель существования каждого человека и всего человечества?

Может ли наука ответить на эти вопросы?

Строго говоря, нет. Без внесения дополнительных факторов наука на вопросы такого рода ответить не может. Идеи добра, цели, долга, входящие в нравственные принципы, лежат за ее пределами. Наука занимается построением моделей действительности, той действительности, которая есть на самом деле, а не той, которая должна быть. Она отвечает на вопросы: «Что есть на самом деле?», «Что будет, если сделать то-то и то-то?». Но просто на вопрос «что надо сделать?» без всяких «если» и «чтобы» она ответить принципиально не может. Как заметил один американский философ, сколько бы вы ни изучали расписание поездов, вы не сможете выбрать поезд, если не знаете, куда ехать. Все попытки построения нравственных принципов на научной основе неизбежно приводят, в конце концов, квопросу «каково Высшее Благо?» или «какова Высшая Цель?», что в сущности одно и то же. Научные знания и логические умозаключения имеют отношение к нравственным проблемам лишь постольку, поскольку они помогают из ответа на этот общий, конечный вопрос вывести ответы на частные вопросы. Проблема Высшей Цели остается вне науки, и ее решение необходимо требует волевого акта, оно является, в конечном счете, результатом свободного выбора.

Значит ли это, что наука никак не влияет на решение этой проблемы? Отнюдь нет. Верная своему принципу исследовать все на свете, она может взглянуть со стороны на человека и на целые общества, решающие для себя проблему Высшей Цели, она может проанализировать различные аспекты этой ситуации и предсказать результаты, к которым приведет принятие того или иного решения. И этот анализ может существенно повлиять на решение проблемы, хотя и не изменит его природы как свободно производимого выбора.

14.8. Проблема Высшего Блага


Как и когда возникает проблема Высшего Блага и Высшей Цели? Очевидно, у животных ее не было. Не было ее и на ранних этапах развития человеческого общества. До поры до времени для человека, как и для животного, благом является то, что доставляет удовольствие, и иерархии удовольствий соответствует иерархия целей, вершину которой образуют инстинкты сохранения жизни и продолжения рода. Понятие цели и понятие блага вообще неотделимы друг от друга, это два аспекта одного понятия. Человек стремится к благу по определению и называет благом то, к чему он стремится. На стадии, когда благо отождествляется с удовольствием, человек в нравственном отношении ничем не отличается от животного, нравственных проблем для него не существует. И здесь дело не в природе удовольствия, а в его заданности, в том, что критерий удовольствия есть высшая управляющая система, которая меняет цели, сама не испытывая изменений. Уже с чисто биологической точки зрения удовольствия человека отличаются от удовольствий животных — вспомним, например, о чувстве прекрасного, а по мере усложнения социальной структуры человек приобретает новые удовольствия, которые незнакомы животным. Тем не менее, проблемы Высшего Блага это не создает. Она возникает тогда, когда культура начинает решительно влиять на систему удовольствий, когда оказывается, что то, что люди думают, говорят и делают, способно настолько сильно изменить их отношение к миру, что события, вызывающие ранее удовольствие, вызывают теперь неудовольствие, и наоборот. Правда, удовольствия низшего уровня (от непосредственного удовлетворения физических потребностей) практически не меняются с культурой, но удовольствия высшего уровня (например, упоение своим охотничьим искусством, выносливость и т. п.) оказываются способными перевесить неудовольствия низшего уровня. Таким образом, критерий удовольствия сам оказывается подверженным управлению. Происходит метасистемный переход — возникают социальная шкала ценностей и система норм поведения.

Но это еще только введение, пролог к проблеме Высшего Блага. В первобытном обществе нормы поведения можно сравнить с инстинктами животных; в общественном сверхмозге они и представляют собой точный аналог инстинктов животного индивидуума, заложенных в его мозге. Управление ассоциациями (мышление) разрушает инстинкты или, лучше сказать, понижает их в должности и заменяет их социальными нормами поведения. В первобытном обществе они — такой же абсолют, как для животного — инстинкты. Они хотя и меняются в процессе развития общества, но неосознанно, как и инстинкты в процессе эволюции вида. Каждым индивидуумом они воспринимаются как нечто данное и несомненное. Но вот происходит еще один метасистемный переход — к практическому мышлению — и тогда-то проблема Высшего Блага встает во весь рост.

Теперь люди не только воздействуют своей языковой деятельностью на свои собственные критерии удовольствия, но и осознают это воздействие. Простое и ясное «Я так хочу!» теряет свою первичность, свою данность. Когда человек сознает, что то, чего он хочет, есть результат его воспитания, воздействия со стороны других людей, а теперь зависит и от него самого, может быть изменено путем размышления и самовоспитания, он не может не задавать себе вопроса: а чего же он должен хотеть? Он обнаруживает в своем сознании пустоту, которую надо чем-то заполнить. Существует ли абсолютное Высшее Благо, к которому надо стремиться? — спрашивает он себя. Как жить? Каков смысл жизни?

Но однозначных ответов на эти вопросы он получить не может. Цель можно вывести только из цели. И если человек волен в своих желаниях, то он волен и в желаниях желаний. Круг сомнений и вопросов замыкается, и опереться больше не на что. Система поведения повисает в воздухе. Наивные первобытные верования и традиционные нормы поведения рушатся. Наступает эпоха религиозных и этических учений.

Этих учений много, и во многом они различны, но в то же время, как оказывается, есть у них и много общего — во всяком случае, если говорить об учениях, получивших широкое распространение. Теперь наша задача — уяснить, приводит ли научное мировоззрение к какому-либо определенному этическому учению и если да, то к какому именно. Заодно мы обсудим вопрос о природе общего знаменателя различных этических учений.

14.9. Духовные ценности


Прежде чем обсуждать проблему Высшего Блага и смысла жизни, надо приобрести уверенность, что обсуждать эту проблему стоит. Ибо есть много людей, стоящих на точке зрения, которую можно назвать теорией естественных ценностей, согласно которой создание этических учений — занятие пустое, если не вредное. Эта теория утверждает, что в природе человека наряду с потребностями и инстинктами, имеющими животное происхождение, заложено и стремление к специфически человеческим духовным ценностям, таким как знание, красота, справедливость, любовь к ближнему. Достижение этих ценностей доставляет высшее удовлетворение. Задача человека — развивать в себе и в других эти стремления и получать тем самым высшее удовлетворение от жизни — так сказать, максимизировать высшее удовлетворение. Это — единственная естественная цель человека, его единственное естественное назначение. Философские, религиозные и этические учения, исходящие из априорных и неизвестно откуда взятых принципов, могут только заглушить и извратить эти естественные, истинно человеческие стремления и заставить людей совершать гнусности во имя выдуманного ими Высшего Блага.

Что сказать об этой теории? Она удобна как предлог, чтобы отказаться от решения трудного вопроса. Есть у нее и то достоинство, что она оберегает от крайностей. Но, увы, она неверна. Она является в гораздо большей степени выдуманной, чем другие учения, открыто признающие свой догматический характер. Если утверждение о том, что стремление к высшим духовным ценностям заложено в природе человека, понимать в его буквальном, точном смысле, то оно приходит в противоречие с фактами. Дети, похищенные животными и выросшие вне человеческого общества, не обнаруживают понимания высших ценностей современного цивилизованного человека, они вообще не становятся полноценными людьми. Следовательно, в самой структуре развивающегося мозга нет ничего, что однозначно порождало бы те конкретные высшие устремления, о которых говорит теория естественных ценностей.

— Ах, нет! — скажет сторонник этой теории и страшно возмутится такой вульгаризации его взглядов. Речь идет, конечно, не о конкретных формах проявления этих стремлений, а о некой их общей основе, которая для своего проявления нуждается в условиях, создаваемых обществом.

Но тогда теория естественных ценностей совершает грех подмены понятий. Сказать «общая основа» — значит ничего не сказать, если не конкретизировать сущность этой основы и ее связь с наблюдаемыми проявлениями. С точки зрения, развиваемой в настоящей книге, общая основа высших ценностей, признанных в настоящее время большей частью человечества, действительно существует, и она действительно является врожденной закодированной в структуре генов каждого человеческого существа. Это основа — способность управления ассоциированием. Условно ее можно назвать инстинктом познания (см. главу 4), но это только образное выражение. Глубокое отличие этой способности от инстинкта состоит в том, что инстинкт диктует формы поведения, а управление ассоциированием главным образом разрешает их, снимает старые запреты. Управление ассоциированием — способность чрезвычайно недифференцированная, многозначная, допускающая различные продолжения. Даже то, что мы называем мышлением, не является ее непременным следствием. А что говорить о более конкретных формах психической деятельности?

Управление ассоциированием — начало, скорее, разрушительное, чем созидательное, оно нуждается в созидательном дополнении. Таким дополнением является социальная интеграция индивидуумов — образование человеческого общества. В процессе развития общества и возникают духовные ценности. Они, конечно, далеко не случайны, но от общей основы, заложенной природой во все человеческие существа, до духовных ценностей — долгий путь, на котором руководит не логика индивидуума, а логика общества. Этот путь не однозначен и не закончен.

Теория естественных ценностей, говоря туманно об «общей основе» духовных ценностей, тем самым фактически отождествляет некоторые частные идеалы, признаваемые в настоящее время некоторыми (пусть многими) людьми, с этой самой «общей основой» — абсолютной, неизменной, заложенной в природе человека. Из этой ошибки вытекают два следствия. Во-первых, теория естественных ценностей оказывает дурную услугу духовным ценностям, которые она выдвигает, ибо она выдвигает их на ложном основании. Она уподобляется тому доброжелателю, который стал отстаивать право крестьянского парня на человеческое достоинство не из общих принципов гуманизма, а пытаясь доказать его дворянское происхождение; обман может быть легко обнаружен, а несчастный юноша публично высечен. Во-вторых, эта теория не содержит никаких стимулов для развития духовных ценностей; она антиэволюционна, предельно консервативна.

Что мы имеем в виду, когда говорим, что те или иные ценности для человека естественны? Очевидно, что они диктуются, устанавливаются для него самой природой. Так, для животного инстинкты — это установки, которые дает ему природа, и то, что соответствует инстинктам, для него естественно. Но человеку природа не дает установок, он — высший уровень иерархии, над ним — пустое небо. Это медицинский факт, сказал бы Остап Бендер, — факт устройства человеческого мозга. Взять установки человеку неоткуда, он сам создает установки — себе и остальной природе. Для него нет ничего абсолютного, кроме отсутствия абсолютов, нет ничего естественного, кроме бесконечного развития. Все, что в данный момент представляется нам естественным, относительно и временно. И нынешние духовные ценности лишь вехи на пути человечества: не первые и не последние.

Думать о смысле жизни стоит. Думать о смысле жизни — значит создавать высшие установки и это высший вид творчества, доступный человеку. Этот вид творчества нужен всегда, ибо высшие установки должны меняться в процессе развития и всегда будут меняться. И каждый должен для себя этот вопрос как-то решить, раз уж природа предоставила ему такую возможность. Уверения, что этот вопрос надуман или неразрешим, — ложь, которую сознательно используют одни и на которую попадаются другие по умственной лени и малодушию. Он, разумеется, неразрешим на уровне чистого знания, он обязательно включает элемент свободного выбора, но одно дело — сознательный выбор, сопровождаемый изучением предмета и размышлением, и другое дело — слепое подражание навязанному кем-то образцу. Так или иначе, кто-то создает высшие установки, ибо вне общества — «в природе» — их нет. Каждый наделен этой способностью в той или иной мере; добровольно отказаться от ее использования — все равно, что здоровому животному добровольно отказаться от физического движения, от использования мышц.

14.10. Человек во Вселенной


Критика теории естественных ценностей ясно показывает тот элемент научной картины мира, отправляясь от которого мы можем прийти к определенным нравственным принципам или хотя бы к определенным критериям оценки нравственных принципов. Этот элемент — учение об эволюции Вселенной и роли в ней человека. Итак, отправимся в путь.

Утверждение о непрерывном развитии — эволюции Вселенной — является важнейшей из всеобщих истин, установленных наукой. Всюду, куда только может проникнуть наш взор, мы наблюдаем необратимые изменения, подчиненные величественному общему плану, или основному закону эволюции, который проявляется как усложнение организации материи. Как часть этого плана на Земле возникает разум. И хотя нам известна ничтожная малость сферы влияния человека в космосе, мы все же считаем его венцом творения природы. Опыт исследования самых различных развивающихся систем показывает, что новое качество появляется сперва в небольшом объеме, но благодаря заключенному в нем потенциалу захватывает со временем максимум жизненного пространства и создает плацдарм для нового, еще более высокого уровня организации. Поэтому мы верим, что человечество ожидает великое будущее, превосходящее все, что только может породить самое смелое воображение.

Но ни один человек не есть человечество. Что же может человек сказать о себе самом, о месте во Вселенной своей собственной смертной личности? Что доступно человеку? Как входят его воля и его сознание в научную картину мира?

Сто лет назад картина мира, которую рисовала наука, была полностью детерминистической. Если принимать ее всерьез, можно было стать законченным фаталистом. Но теперь мы знаем, что эта картина была ошибочной. Согласно современным представлениям законы природы носят исключительно вероятностный характер. Это значит, что в мире есть нечто, что делает те или иные события более или менее вероятными (вплоть до полного запрещения), но нет ничего, что могло бы принудить события течь строго определенным образом. Законы природы таковы, что они чаще дают определенный ответ о невозможности чего-либо, чем о необходимости чего-либо, и не случайно, что наиболее общие законы носят запрещающий характер (закон сохранения энергии, закон возрастания энтропии, соотношение неопределенностей и др.). Случаи, когда можно на длительное время вперед достаточно точно предсказать течение событий, скорее, являются исключением, нежели правилом. Сюда относятся, например, астрономические предсказания. Но ведь они возможны только потому, что здесь мы сталкиваемся с огромной разницей в масштабах времени: астрономическом и человеческом. Если подходить к движениям небесных тел с присущими им временными масштабами, то окажется, что можно сделать лишь такие же ограниченные предсказания, как по отношению к молекулам воздуха, которым мы дышим. Таким образом, успехи небесной механики, которые вдохновили Лапласа на его формулировку детерминизма, представляют собой весьма специальный случай.

Неопределенность глубоко заложена в природе вещей. Эволюция Вселенной есть непрерывное и повсеместное снятие этой неопределенности, непрерывный и повсеместный выбор одной возможности из некоторой совокупности. Мы можем сравнить две ситуации выбора, являющие собой два предельных случая и достаточно хорошо изученные нами.

Первая ситуация — столкновение элементарных частиц, являющееся объектом изучения физики. Зная начальные условия столкновения, мы можем указать вероятность тех или иных его результатов. Но и только. Если, например, вероятности отклонения налетающей частицы вверх и вниз одинаковы, то мы никак не можем предсказать, какой из этих двух случаев осуществится. И никто никогда не сможет. Это принципиально непредсказуемо.

И, однако, природа делает свой выбор. Этот акт выбора принадлежит к числу самых элементарных. Согласно современным представлениям он слеп. Сдвиги в эволюции Вселенной происходят лишь благодаря переплетению, игре бесчисленного множества подобных актов.

Вторая ситуация — волевой акт человеческой личности. Мы можем изучать этот акт извне, подобно тому, как мы изучаем столкновение частиц. Этим занимается психология в ее бихевиористической части. Зная условия, в которые поставлен человек, и какие-то его психологические свойства, мы можем сделать кое-какие предсказания — также чисто вероятностные. Но эта ситуация знакома каждому из нас и с другой точки зрения — изнутри, как наш собственный свободный выбор, как акт проявления нашей личности. Итак, то, что представляется извне как принципиальная непредсказуемость, изнутри является свободой воли.

Природа непредсказуемости в этих актах одинакова — невозможно подсмотреть за системой, не повлияв на нее, но как сильно отличаются они по своей значимости! Во-первых, волевой акт охватывает огромную по сравнению с актом рассеяния пространственно-временную область. Во-вторых, волевой акт может быть творческим актом — не слепым, косным материалом космической эволюции, а ее непосредственным выразителем, ее движущей силой.

14.11. Расхождение траекторий


И все же человек чрезвычайно мал по сравнению не только с Вселенной, но и с человечеством в целом, что снова склоняет нас к мысли о незначительности личного волевого акта, и закон больших чисел, казалось бы, должен укрепить нас в этой мысли. Надо заметить, что поверхностно понятые и неправильно приложенные научные истины очень часто способствуют принятию ложных концепций. Так обстоит дело и в данном случае. Опираясь на закон больших чисел, рассуждают следующим образом. На Земле живет три миллиарда человек (вариант: в нашей стране двести пятьдесят миллионов). Судьба человечества есть результат их совместных действий. Поскольку вклад каждого человека в эту сумму равен одной трехмиллиардной, ни один человек не может надеяться существенно повлиять на ход истории — разве что случайно. Играют роль лишь общие факторы, влияющие на поведение многих людей одновременно.

В действительности это рассуждение содержит грубую ошибку, состоящую в том, что закон больших чисел применим лишь к совокупности независимых подсистем. К человечеству его можно было бы применить в том случае, если бы все три миллиарда людей действовали абсолютно независимо и вообще не знали бы ничего друг о друге. Но это далеко не так. Человечество — большая и сильно связанная система; поступки одних людей самым серьезным образом влияют на поступки других. Такие системы обладают, вообще говоря, свойством расхождения траекторий, т. е. небольшие вариации в начальном состоянии системы становятся со временем все больше и больше. Ситуации, в которых закон расхождения траекторий проявляется с несомненной очевидностью, мы называем кризисными. В кризисной ситуации огромные перемены в состоянии системы зависят от ничтожных (в масштабе системы) причин. В такой ситуации действия одного человека, быть может даже одно слово, сказанное им, могут иметь решающее значение. Кризисные ситуации мы склонны рассматривать как редкие, даже исключительные, но мы знаем множество постоянно действующих факторов, приводящих к многократному усилению влияния одного человека. Это так называемые триггерные механизмы, т. е. механизмы со спусковым крючком. Требуется совершенно незначительное усилие, чтобы нажать на спусковой крючок или кнопку управления, а последствия, вызванные этим действием, могут быть огромны. Вряд ли есть необходимость говорить, как много таких механизмов в человеческом обществе.

И все же идея о маленьком человеке — этот фиговый листок, которым мы прикрываем на людях срам своей трусости, — не сдается без боя. Большинство людей, — говорит «маленький человек», — не участвуют в кризисных ситуациях и не имеют доступа к спусковым крючкам.

Наверное, многие помнят английский стишок, переведенный Маршаком, который заканчивается словами:

Враг вступает в город, пленных не щадя,

Потому что в кузнице не было гвоздя!

В стишке описан триггерный механизм, который от растяпы-кузнеца, у которого не было гвоздя, ведет к поражению армии. Мы относимся к этой истории с большой дозой юмора, не желая принимать ее совсем всерьез. Почему? Не потому ли, что таких многоступенчатых зависимостей не бывает? Отнюдь нет. Вся наша жизнь состоит из них. То же говорит математическое исследование больших связанных систем: траектории расходятся. Первоначально незначительное отклонение — отсутствие в кузнице гвоздя — шаг за шагом увеличивается: подкова пропала, лошадь захромала, командир убит, конница разбита, армия бежит. А скептически мы относимся к подобным длинным цепочкам потому, что в обыденной жизни нам почти никогда не удается с достоверностью проследить их от начала до конца. Во-первых, каждая связь между звеньями цепочки имеет вероятностный характер: захромавшая лошадь вовсе не обязательно губит командира. Во-вторых, прослеживание связи событий постоянно ставит вопросы типа: «А что было бы, если бы не...?» Трудно найти двух людей, дающих одинаковые ответы на серию таких вопросов, а вернуть время назад и посмотреть, невозможно. Наконец, в-третьих, мы практически никогда не обладаем необходимой информацией.

Но тот факт, что мы не можем проследить этих цепочек в обратном направлении, не должен затемнять нам сознание их существования, когда мы думаем о последствиях наших поступков. Кризисные ситуации редки не потому, что малые причины редко вызывают большие последствия — это происходит постоянно, но потому, что это превращение редко предстает перед нами со всей очевидностью. Мы никогда не можем в точности предвидеть результаты наших поступков. Единственное, что нам доступно, — это установить общие принципы, руководствуясь которыми мы увеличиваем вероятность Добра, т. е. вероятность тех последствий, которые считаем желательными. Мы должны действовать в соответствии с этими принципами, рассматривая каждую ситуацию как кризисную, ибо важность каждого акта нашей воли может оказаться огромной. Действуя так всегда, мы, несомненно, внесем свой положительный вклад в дело Добра — вот здесь закон больших чисел действует в полную силу.

14.12. Этика и эволюция


Но что есть Добро? Что есть Высшее Благо и Высшая Цель? Ответ на эти вопросы, как уже говорилось, выходит за рамки чистого знания, требует волевого акта. Но, может быть, знание подведет нас к какому-то определенному акту, сделает его практически неизбежным?

Давайте подумаем о результатах, к которым приводит следование различным этическим учениям в эволюционирующей Вселенной. Эти результаты в своем главном зависят, очевидно, от того, как соотносятся выдвигаемые учением цели с основным законом эволюции. Основной закон, или план эволюции носит, как и все законы природы, вероятностный характер. Он ничего однозначно не предписывает, но кое-что запрещает. Никто не может действовать вопреки законам природы. Поэтому этические учения, противоречащие плану эволюции, т. е. ставящие цели, несовместимые или даже просто чуждые ему, не могут привести своих последователей к положительному вкладу в эволюцию, а это значит, что они мешают ей и будут вычеркнуты из памяти мира. Таково имманентное свойство развития: то, что соответствует его плану, оно увековечивает в следующих по времени структурах; то, что ему противоречит, преодолевается и гибнет.

Итак, лишь те учения имеют шансы на успех, которые способствуют осуществлению плана эволюции. Если мы рассмотрим под этим углом зрения общепризнанные в настоящее время духовные ценности и принципы общественной жизни, то увидим, что все они самым тесным образом связаны с нашим пониманием плана эволюции, фактически могут быть выведены из него. Это и есть общий знаменатель этических учений, внесших конструктивный вклада историю человечества.

Но между этим объективным и бесстрастным воззрением на этические принципы и решением следовать им — еще большое расстояние. В самом деле, почему это Я должен заботиться о плане эволюции? Какое мне до него дело?

14.13. Воля к бессмертию


Здесь на сцену выступает важнейший факт, касающийся человека, факт, осознание которого есть исходная точка очеловечивания: человек смертен. Мысль о неизбежности смерти создает для разумного существа мучительную ситуацию, из которой он ищет выхода. Протест против смерти, против распада своей личности присущ всем людям. Он-то и является, в конечном счете, тем источником, из которого черпают все этические учения необходимую им волевую компоненту.

Традиционные религиозные учения исходят из безусловной веры в бессмертие души. При этом протест против смерти используется как сила, заставляющая человека принять такое учение — ведь оно с самого начала обещает бессмертие. Если принять бессмертие души, то стимул для выполнения нравственных норм напрашивается сам собой: вечное блаженство за добро и вечные муки за зло. Под мощным воздействием науки представления о бессмертии души и загробной жизни, некогда совершенно конкретные и ясные, становятся все более абстрактными и бледными и старые религиозные системы медленно, но верно теряют свое влияние.

Человек, воспитанный на идеях современной науки, не может поверить в бессмертие души в традиционной религиозной формулировке, как бы ему этого ни хотелось; простейший лингвистический анализ показывает полную бессодержательность этого понятия. Воля к бессмертию в сочетании с нарисованной выше картиной мира может привести его лишь к одной цели — внести свой личный вклад в космическую эволюцию, увековечить свою личность во всех последующих актах мировой драмы. Этот вклад, чтобы быть вечным, должен быть конструктивным. Так мы приходим к принципу: Высшее Благо — конструктивный вклад в эволюцию Вселенной. Традиционные духовные и общественные ценности могут быть в своем главном выведены из этого принципа. В той степени, в которой они ему противоречат, они должны быть отброшены так же безжалостно, как безжалостно подавляем мы животные инстинкты во имя высших ценностей.

Человек каким-то образом продолжает жить в своих творениях:

Нет! Весь я не умру! Душа в заветной лире

Мой прах переживет и тленья убежит..

Что такое душа? В научном аспекте этого понятия — форма, или организация, движения материи. Так ли уж важно, воплощается ли эта организация в нервах и мускулах, или в камне, или в буквах, или в образе жизни потомков? Пытаясь докопаться до самой сердцевины своей личности, разве не приходим мы к убеждению, что не повторяющийся поток ощущений, не регулярное пережевывание пищи составляют ее сущность, но некоторые неповторимые, глубоко индивидуальные творческие акты? Но материальные результаты этих актов могут далеко выходить за пространственные и временные границы нашего биологического тела. Так мы начинаем ощущать глубокое единство с Космосом и ответственность за его судьбу. Это ощущение, вероятно, одинаково у всех людей, но выражается разными словами в разных религиозных и философских системах. Этому же чувству учит искусство, возвышая человека до уровня космического явления.

Итак, научное мировоззрение приводит к этике, которая указывает Высшие Ценности и требует от нас ответственности и активности в их достижении. Как и всякая этика, она включает волевой акт, который мы назвали волей к бессмертию. Если человек не может или не хочет совершить этого акта, то никакое знание, никакая логика не заставят его принять Высшие Ценности, сделаться ответственным и активным. И бог с ним! Обывателя, твердо решившего довольствоваться своим убогим идеалом, решившего жить смиренным рабом обстоятельств, не возродит ничто, и он бесследно сойдет со сцены. Кто не хочет бессмертия, тот и не получит его. Подобно тому, как животное, лишенное инстинкта размножения, не выполнит своей животной функции, человек, лишенный воли к бессмертию, не выполнит своей человеческой функции. К счастью, этот случай исключение, а не правило (если только оставить в стороне искусственную кастрацию). Воля к бессмертию — не привилегия отдельных «великих» людей, а массовое свойство человека, норма человеческой личности, служащая источником нравственной силы и мужества.

В какой степени этические идеалы, которые мы вывели из научного мировоззрения, окажутся убедительными и приемлемыми для широких кругов людей — наших современников и потомков? Не звучат ли все эти рассуждения уж как-то абстрактно, бесчувственно? Способны ли они увлечь, воздействовать на эмоции? Способны; это показывают многие примеры. Идеи эволюции и личного участия в мировом космическом процессе овладевают воображением, придают жизни глубину и смысл. Но в обмен они требуют смелости в выводах, готовности жертвовать привычным и принять неожиданное и жутковатое, если к нему неумолимо приводит логика.

От тех, кто занимается наукой, естественно ожидать положительного отношения к построению этики научного мировоззрения. И эти ожидания в основном оправдываются. Много у ученых и «попутчиков». Но много и врагов или, по меньшей мере, недоброжелателей. В некоторых кругах (особенно среди гуманитарной интеллигенции) модно ругать ученых за «сциентизм» — стремление построить всю жизнь на научной основе, «подменив» наукой все остальные формы духовной жизни. Эти настроения (которые вряд ли можно признать оправданными) порождаются в основном страхом перед тем неизвестным будущим, к которому нас неудержимо (и стремительно!) влечет развитие науки. Страх усиливается из-за непонимания. Ибо ни широкая публика, ни представители гуманитарной и художественной интеллигенции, как правило, не понимают сущности современного научного мышления и роли науки в духовной культуре. Эта проблема была в чрезвычайно яркой форме поставлена Ч. П. Сноу (в 1956 г.) в его лекции «Две культуры»3.

Наука для современного человека — это то, чем был огонь для первобытного человека. И как огонь внушал нашим предкам целую гамму чувств — страх, удивление, благодарность, такую же гамму чувств вызывает и наука. Огонь обладает притягательной и завораживающей силой. Первобытный человек смотрел на огонь, и в его душе поднимались неведомые ранее восторги и смутные предчувствия. То же с наукой. Научная фантастика, например, — это уж точно не что иное, как видения первобытных, сидящих у костра. А построение высших целей и принципов на основе научной картины мира может быть названо огнепоклонством. Эти сравнения не унижают, а, напротив, делают честь современным огнепоклонникам. Ведь мы столь многим обязаны воображению наших предков, завороженных пляшущим пламенем костра.

14.14. Интеграция и свобода


Процесс социальной интеграции никогда еще не протекал так бурно и так явно, как сейчас. Современные наука и техника сделали каждого человека находящимся в сфере влияния каждого другого. Современная культура глобальна. Современные государства — это огромные механизмы, имеющие тенденцию все более жестко регламентировать поведение каждого гражданина, определять, навязывать ему извне его потребности, вкусы, мнения. Современного человека преследует ощущение, что он превращается всего лишь в стандартизованный винтик этого механизма, что он перестает существовать как личность.

Поэтому сейчас мы лучше, чем когда бы то ни было, видим основное противоречие социальной интеграции — противоречие между необходимостью включить человека в систему, в непрерывно консолидирующееся целое, и необходимостью сохранить его как свободную творческую личность. И здесь возникает важнейшая, фундаментальнейшая проблема: разрешимо ли это противоречие? Возможно ли общество, которое, идя все дальше по пути интеграции, будет в то же время обеспечивать полную свободу проявления личности? Эта проблема стоит перед современностью во весь рост, и различное ее решение дает различные концепции общества.

Оптимистический ответ на поставленный вопрос звучит утвердительно. Каждый следующий этап интеграции общества, гласит этот ответ, будет, вероятно, сопряжен с какими-то внешними ограничениями, несущественными с точки зрения творческой деятельности, но зато будет способствовать освобождению ядра личности, являющегося источником творчества. Вера в возможность такого общества равнозначна вере в то, что импульс, заложенный природой в человека, не исчерпан, что человек способен продолжать начатый им этап космической эволюции. Ведь личностное, творческое начало является сущностью человека, основным двигателем эволюции в эпоху разума. Если оно будет подавлено социальной интеграцией, то движение остановится. С другой стороны, и социальная интеграция необходима. Без нее невозможно дальнейшее развитие культуры, увеличение власти человека над природой; в ней — сущность нового уровня организации материи. Почему же мы должны полагать, что социальная интеграция и свобода личности несовместимы? Ведь осуществлялась же интеграция успешно на других уровнях организации! Когда клетки объединяются в многоклеточный организм, то свои биологические функции — обмен веществ и размножение путем деления — они продолжают выполнять. Новое качество — жизнь организма появляется не вопреки биологическим функциям отдельных клеток, а, напротив, благодаря им. Творческий акт свободной воли — это «биологическая» функция человеческой личности. Следовательно, в интегрированном обществе она должна сохраниться в качестве неприкосновенной основы, а новые качества должны появляться лишь через нее и благодаря ей.

Если мы откажемся от веры в возможность органического сочетания социальной интеграции и свободы личности, то должны будем одно из них предпочесть другому. Предпочтение свободы личности приводит к индивидуалистической концепции общества, предпочтение социальной интеграции — к тоталитарным режимам.

Индивидуализм рассматривает общество лишь как способ «мирного сосуществования» индивидуумов, и увеличения личных благ для каждого из них. Но эта идея сама по себе недостаточна для построения здорового общества. Чистый индивидуализм лишает жизнь человека всякого высшего смысла и влечет цинизм и духовное оскудение. Фактически индивидуализм существует только благодаря союзу с традиционными религиозными системами или, лучше сказать, благодаря паразитированию на них, ибо они в принципе враждебны индивидуализму и допускают его по слабости. С разрушением религиозных систем это паразитирование достигает огромных размеров, индивидуализм становится страшной язвой, разъедающей общество, и он неминуемо, как протест против себя, порождает свое отрицание — тоталитаризм.

Для тоталитаризма — интеграция все, личность — ничто. Он строит иерархическую государственную систему, во главе которой стоит, как правило, один человек или небольшая группа людей. Строится также идеологическая система, которую каждый гражданин обязан принять в качестве личного мировоззрения. Кто отказывается это сделать, подлежит наказанию, вплоть до физического уничтожения.

Человек, зажатый между этими двумя системами, превращается в бездумную и бездушную деталь социальной машины. Ему представляется лишь та свобода, которая необходима для выполнения инструкций вышестоящих инстанций. Всякое проявление личностной деятельности рассматривается как потенциально опасное для государства. Права личности аннулируются.

Тоталитарное государство, стремясь сохранить и упрочить себя, использует все средства физического и нравственного воздействия на человека, чтобы сделать его пригодным для себя, «тоталитарным» человеком. Основное свойство тоталитарного человека — это наличие для него определенных запретов, табу, нарушить которые он не в состоянии. Он может быть ученым, пытливым исследователем, но при подходе к определенным сторонам жизни его пытливость начнет вдруг таинственным образом испаряться. Он может быть отважным человеком, способным, не задумываясь, отдать жизнь за свою родину, но трепетать от страха перед начальником. Он может считать себя честным человеком и говорить заведомую ложь, не желая связать этот факт со своей мнимой честностью. Он может грабить, предавать, убивать, будучи уверенным, что «так надо», но он никогда не позволит себе всерьез задуматься над вопросом: «А надо ли?». И он будет за версту обходить все, что может заставить его задуматься над этим.

Чем же компенсирует тоталитарный человек эти табу, налагаемые как раз на то, что составляет высшую ценность человеческого существования? Чувством единства. Ощущением своей принадлежности к огромной совокупности людей, организованных в единое целое. Человеческому существу свойственна внутренняя потребность в социальной интеграции. В том-то и сила тоталитаризма, что он играет на этой потребности, дает ей определенное удовлетворение. Сила и опасность тоталитаризма в том, что он — за социальную интеграцию, а социальная интеграция есть объективная необходимость.

Но тоталитарное государство не является решением проблемы социальной интеграции. Оно достигает целостности путем такого обтесывания составляющих его единиц — людей, что они теряют свою человеческую сущность. Он отрубает людям головы и заставляет обрубки упиваться достигнутым такой ценой единством.

Тоталитаризм — трагически неумелое и поспешное псевдорешение проблемы, это выкидыш социальной интеграции. Уничтожив личность, он лишает себя источника творчества. Он обречен на загнивание и распад.

Если индивидуализм порождает тоталитаризм, то и тоталитаризм, обратным путем, порождает индивидуализм. «Долой коллектив! — кричит тоталитарный человек, осознавший свое рабство. — Оставьте меня в покое! Не хочу единства! Не хочу стальных рядов! Не хочу чувства локтя! Хочу жить так, как Я хочу! Я! Я! Я!» Но кричит он это, опасаясь наказания, мысленно или, в лучшем случае, шепотом. Его «Я», выросшее в условиях тоталитаризма, — это убогое, полузадушенное «Я». И он превращается в никчемного обывателя с куриным кругозором. Его не интересует ничего, кроме его персоны. Он не верит ни во что и поэтому всему подчиняется. Это уже не тоталитарная личность, а жалкий и трусливый индивидуалист, живущий в тоталитарном государстве.

Индивидуализм и тоталитаризм — две противоположности, связанные общей цепью. Есть только один способ разорвать этот круг: ставить своей задачей сознательную социальную интеграцию при сохранении и развитии творческой свободы личности.

14.15. Вопросы, вопросы...


Попытки заглянуть еще дальше — так далеко, как только хватает воображения, дают больше вопросов, чем ответов.

Как далеко пойдет интеграция индивидуумов? Несомненно, что в будущем (и, быть может, не слишком отдаленном) станет возможным прямой обмен информацией между нервными системами отдельных людей, их физическая интеграция. Очевидно, интеграция нервных систем должна сопровождаться созданием какой-то высшей системы управления единой нервной сетью. Как будет она восприниматься субъективно? Сохранится ли неизменным современное индивидуальное сознание, для которого высшая система управления будет чем-то вне- и сверхличным, чем-то чуждым и непосредственно недоступным? Или же, напротив, физическая интеграция породит качественно новые, высшие формы сознания, и это будет процесс, который можно описать, как слияние душ отдельных людей в единой Высшей Душе? Вторая перспектива представляется и более вероятной, и более привлекательной. Она решает и проблему противоречия между разумом и смертью. Трудно примириться с мыслью, что человечество навсегда останется совокупностью отдельных недолговечных существ, которые умирают прежде, чем смогут дождаться осуществления своих замыслов. Интеграция индивидуумов сделает новое синтетическое сознание в принципе бессмертным, как бессмертно в принципе человечество.

Но захотят ли наши потомки физической интеграции? Чего они вообще захотят? И чего они захотят хотеть? Манипулирование желаниями людей уже сейчас стало явлением, с которым нельзя не считаться, а что же будет дальше, когда структура и функционирование мозга будут детально исследованы? Не попадет ли человечество в ловушку абсолютно стабильного и субъективно абсолютно счастливого общества, различные модели которого описывают фантасты, начиная с Замятина и Хаксли.

Чтобы не попасть в такую ловушку, необходимы гарантии, что никакая структура управления не является высшей окончательно и бесповоротно, раз и навсегда. Иначе говоря, необходимы гарантии, что всегда будет возможен метасистемный переход по отношению к сколь угодно большой системе. Возможны ли такие гарантии? Дает ли людям такие гарантии осознание необходимости метасистемного перехода для развития? И является ли сама потребность в развитии, стремление к продолжению развития, неуничтожимой? У нас есть основания надеяться, что это так. Идея эволюции, овладев сознанием человека, уходить как будто не желает. Если представить, что человечество будет существовать как гигантский часовой механизм, навечно неизменный, тождественный самому себе, и только его колесики — люди будут меняться вследствие естественного процесса рождения и смерти, то становится тошно. Это кажется равносильным тому, как если бы человечество было тотчас же уничтожено. Но будет ли так всегда казаться нашим потомкам? Быть может, сейчас, когда мы ощущаем необходимость развития, нам надо было бы попытаться как-то увековечить это ощущение? Быть может, это наш долг перед породившей нас живой материей? Допустим, мы приняли такое решение. Как его осуществить?

class="book">Поставим теперь в более общей форме вопрос о ловушках на пути развития. Общество муравьев абсолютно стабильно. Но это не потому, что оно плохо устроено: сами индивидуумы, составляющие его, таковы, что их объединение не порождает нового качества, не приводит к контакту мозгов (беднягам почти нечем контактировать). Возможно ли, чтобы отдаленные потомки муравьев или других членистоногих, стали разумными существами? Скорее всего, нет. По-видимому, членистоногие зашли в эволюционный тупик. А не находимся ли и мы в эволюционном тупике? Быть может, человек — негодный материал для интеграции, и никаких новых форм организации и сознания на этой основе не получится? Быть может, с самого начала жизнь на земле пошла по ложному пути, и одухотворение Космоса суждено осуществить каким-то другим формам жизни?

Допустим, что это не так, что природа не совершила по отношению к Земле роковой несправедливости. Теперь, когда появились сознательные существа, что должны они делать, чтобы не забрести в тупик? При таком общем вопросе можно предложить и общий ответ: сохранять хотя бы в каком-то миниатюрном, сжатом виде максимальное многообразие вариантов, не отсекать бесповоротно никаких возможностей. Если эволюция есть блуждание в лабиринте, то, попав в точку пересечения коридоров, и, выбирая путь направо, не надо забывать, что в этом месте есть еще ход налево и на это место можно будет вернуться. Свой путь надо отмечать несмывающейся и светящейся в темноте краской. Такова именно функция науки истории. Но достаточны ли те языковые следы, которые она оставляет? Быть может, необходим сознательный параллелизм при решении всех общественных проблем?

Будем надеяться, что мы пока не совершили никакой непоправимой ошибки, и что людям удастся создать новые, фантастические с современной точки зрения формы организации материи и формы сознания. И тогда возникает последний, но зато самый волнующий вопрос: а не может ли существовать связи между сегодняшним индивидуальным сознанием каждой человеческой личности и этим будущим сверхсознанием — моста, переброшенного через время? Иначе говоря, не возможно ли все-таки в какой-то форме воскрешение личности?

Увы, все, что мы знаем в настоящее время, заставляет нас дать отрицательный ответ. Мы не видим никакой возможности этого. Нет в этом и необходимости для процесса космической эволюции. Люди не стоят того, чтобы их воскрешали, — как и обезьяны, от которых они произошли. После нас останется лишь то, что мы произвели за отведенное нам время.

Впрочем, никто не может заставить человека отказаться от надежды. В данном случае это имеет и то основание, что наш последний вопрос касается вещей, о которых мы знаем очень мало. Мы кое-что понимаем в физических и химических процессах, связанных с жизнью, мы ориентируемся также в вопросах, связанных с ощущениями, представлениями, познанием действительности. Но сознание и воля — это для нас загадка. Мы не знаем, как связаны здесь два аспекта: субъективный, внутренний, и объективный, внешний, с которым имеет дело наука. Мы не знаем даже, как поставить вопросы, на которые надо искать ответ. Здесь все неясно и загадочно. Здесь возможны большие неожиданности.

Мы построили прекрасное и величественное здание науки. Высоко в небо возносятся его ажурные языковые конструкции. Но бросьте взгляд в пространство между опорами, арками, перекрытиями: он уйдет в пустоту. Вглядитесь внимательнее, и там, вдали, в черной глубине, вы увидите чьи-то немигающие зеленые глаза. Это смотрит на вас ТАЙНА.

1 Данные взяты из книги: Добров Г. Н. Наука о науке. Киев, 1966.

2 Данные взяты из работы: Прайс Д. Малая наука, большая наука // Наука о науке: Сб. ст. М.: Прогресс,1966.

3 Cм.: Сноу Ч. П. Две культуры. М.: Прогресс, 1971.

Кибернетический манифест


Валентин Турчин и Клифф Джослин1


1. Философия. Философия отвечает на такие фундаментальные вопросы, как: “Кто я?”, “Откуда я пришел и куда иду?”, “Сколь истинно мое знание?”, “Какова, в конечном счете, природа вещей?”, “Что есть добро и что есть зло?”. Философия важна. Философия является частью нашего знания.

2. Знание. В кибернетической гносеологии знание, принадлежащее кибернетической системе, определяется как некая модель части мира, воспринимаемого этой системой. Модель есть устройство, генерирующее предсказания относительно событий вокруг; эти предсказания используются системой при принятии решений. Понятия смысла и истины следует определять на этой основе.

Знание одновременно субъективно и объективно, ибо оно является результатом взаимодействия субъекта (кибернетической системы) и объекта (среды). Знание об объекте всегда относительно: оно существует только как часть какого-либо субъекта. Мы можем изучать взаимоотношение между знанием и реальностью (прежде всего, истинно или ложно данное знание), тогда субъект знания становится, в свою очередь, объектом для нового субъекта знания. Но знание в любой форме безотносительно какого-либо субъекта есть логическая бессмыслица. Детальное развитие кибернетической гносеологии на основе этих определений крайне важно для формализации естественных наук и философии, а также для интерпретации математических систем.

3. Свобода, воля, управление. В кибернетической метафизике свобода рассматривается как фундаментальное свойство природы. Законы природы суть ограничения на эту свободу, они не обязательно приводят к определенному ходу событий. Понятие свободы подразумевает наличие некоторого активного фактора, который разрешает неопределенность, присущую свободе, выбирая одно определенное действие из множества возможных. Мы называем этот фактор волей. Мы говорим, что воля управляет некоторой кибернетической системой, когда свобода системы ограничивается действиями, выбираемыми волей.

4. Метасистемный переход. Когда некоторое число систем интегрируются в единое целое с возникновением нового уровня управления, мы говорим, что имеет место метасистемный переход. Новая система есть метасистема по отношению к старым. Метасистемный переход является по определению творческим актом. Он не может совершиться под воздействием одних лишь внутренних факторов интегрируемой системы, но всегда требует вмешательства извне, “сверху”.

5. Эволюция. Метасистемный переход — квант эволюции. Высокоорганизованные системы, включая живые существа, суть многоуровневые иерархии по управлению, возникающие в результате метасистемных переходов разного масштаба. Главнейшие эволюционные сдвиги — это крупномасштабные метасистемные переходы, происходящие в рамках естественного отбора как проявления общего принципа проб и ошибок. Примеры: формирование редуплицирующихся макромолекул, образование многоклеточных организмов, появление разума, образование человеческого общества.

6. Человеческий разум. Человеческий разум, как нечто новое по сравнению с разумом животных, возникает в результате метасистемного перехода: мозг получает возможность управлять формированием ассоциаций ментальных представлений. Все специфические черты человеческого разума, включая воображение, самосознание, преодоление инстинктов, постановку целей, юмор, чувство прекрасного, могут быть объяснены как результат этого метасистемного перехода.

7. Социальная интеграция. Возникновение человеческого разума тесно связано со следующим, в настоящее время протекающим метасистемным переходом, а именно: интеграцией человеческих существ в человеческое общество. Человеческое общество качественно отличается от сообществ животных благодаря способности людей создавать и развивать (а не только использовать для передачи сообщений) язык. Язык выполняет две функции: обмен информацией между индивидуумами и создание моделей действительности. Эти две функции на уровне социальной интеграции аналогичны функциям нервной системы на уровне интеграции клеток в многоклеточный организм. В материале языка люди создают новые символьные модели действительности (в частности, научные теории), которых не было создано природой на уровне нашей нервной системы. Язык — это как бы продолжение человеческого мозга. Более того, это единое продолжение мозга всех членов общества. Это коллективная модель действительности, которая совершенствуется всеми членами общества и передается от поколения к поколению. Давно отмечено, что человеческое общество можно рассматривать как единый организм. Тело этого организма есть совокупность всех людей и ими сделанных вещей. Его “физиология” — это культура общества и, прежде всего, язык.

8. Эра разума. Возникновение человеческого общества знаменует начало новой эры Универсальной Эволюции. Если раньше единственным механизмом эволюции был естественный отбор на базе мутаций генофонда, то теперь мы видим несравненно более быстрый процесс: эволюцию культуры человеческого общества. Вариация и селекция по методу проб и ошибок происходят теперь как результат сознательной воли человека. Двигателем эволюции мироздания становится творческая человеческая личность. Эволюция культуры, прогресс науки и техники перехватывают инициативу у биологической эволюции.

9. Глобальная интеграция. Пытаясь заглянуть в будущее, мы предсказываем, что социальная интеграция будет продолжаться в двух направлениях, которые можно назвать шириной и глубиной. С одной стороны, интеграция мировых культур приведет к образованию единого мирового сообщества и мирового правительства с ответственностью за экологию Земного шара. Этика кибернетического мировоззрения требует, чтобы каждый из нас заботился о сохранении вида и экосистемы и о максимизации потенциала для следующих шагов эволюции и интеграции.

10. Человеческие сверхсущества. С другой стороны, мы предвидим продолжение интеграции “в глубину”, а именно: физическую интеграцию индивидуальных нервных систем с созданием потенциально бессмертных человеческих сверхсуществ. Опираясь на известный эволюционно-биологический принцип: онтогенез повторяет филогенез, мы можем предположить, что человеческие индивидуумы будут рождаться и жить в молодом и зрелом возрасте подобно тому, как они живут сейчас, а затем принимать или отвергать интеграцию в сверхсущество. Таким образом, физическая интеграция индивидуумов приходит не на смену индивидуальной жизни, как мы ее знаем сейчас, а в дополнение к ней.

11. Высшие человеческие ценности. Представление о бессмертии есть часть проблемы высших человеческих ценностей. Поведение кибернетических систем, каковыми являются живые существа, определяется некоторыми целями. Эти цели образуют иерархию: чтобы достичь цели более высокого уровня, система должна поставить и достичь ряд целей более низкого уровня. Иерархия целей существа имеет вершину: наивысшие цели или ценности. У животного высшие цели врожденные — это инстинкты выживания и размножения. У человека высшие ценности могут идти дальше инстинктов и даже противоречить им. Как и всякий элемент культуры, представление о высших ценностях жизни внушается человеку обществом, в котором он живет. Однако, в конечном счете, человек сам устанавливает для себя высшие ценности, совершая акт свободного выбора. В результате мы имеем множество этических и религиозных учений. Однако у большинства таких учений мы находим общий знаменатель: ту или иную форму воли к бессмертию. Животное не осознает неизбежности своей смерти; человек осознает. Воля человека к бессмертию является естественным продолжением воли к жизни.

12. Упадок метафизической веры в бессмертие. В традиционных религиях, как, например, христианстве, мы находим представление о бессмертии, которое можно назвать метафизическим. Это представление о бессмертии души и загробной жизни. Протест против смерти используется здесь как стимул для принятия учения; ведь оно с самого начала обещает бессмертие. Однако под влиянием критического научного метода метафизическое представление о бессмертии, некогда конкретное и притягательное, становится все более абстрактным и бледным. Традиционные религиозные системы медленно, но верно теряют влияние.

13. Творческое бессмертие. Другой род бессмертия может быть назван творческим или эволюционным. Это представление о том, что смертное человеческое существо достигает бессмертия, внося свой вклад в некий универсальный бесконечный процесс, который разные люди называют по-разному (История, Культура), а мы называем Эволюция. Вера в эту форму бессмертия лежит, по-видимому, в основе представления о смысле жизни у большинства творческих людей.

14. Кибернетическое бессмертие. Успехи науки позволяют поднять знамя кибернетического бессмертия. Человеческое существо есть, в конечном счете, кибернетическая система — определенная форма организации материи, которая включает многоуровневую иерархию управления. То, что мы называем нашей душой или сознанием, ассоциируется с высшим уровнем в этой иерархии. Наша организация постоянно переживает частичную смену материала, в котором она выполнена. Не видно причин, по которым эта смена не могла бы идти сколь угодно далеко, включая переход к совершенно новым материалам и к принципиально неограниченному времени существования.

15. Бессмертие и эволюция. Кибернетическая интеграция должна сохранить творческое ядро человеческой личности, ибо оно является двигателем эволюции. Она также должна сделать личность бессмертной, ибо с эволюционной точки зрения нет смысла обрывать ее существование. В биологической эволюции источником вариаций являются мутации генов. Природа творит, экспериментируя на генотипах и отбирая по фенотипам. Поэтому она уничтожает старые фенотипы, т. е. биологические тела, чтобы продолжать экспериментирование, эволюцию. Смертность многоклеточных организмов эволюционно необходима. В эру разума, когда ведущей ветвью эволюции является эволюция человеческого общества, источником эволюции становится человеческий мозг. Он не объект, а субъект экспериментирования, его потеря при умирании есть эволюционная нелепость. Личность должна быть бессмертной, как бессмертны гены. Бессмертие человеческой личности стоит на повестке дня Космической Эволюции.

16. Эволюция человеческой личности. Бессмертие человеческой личности не означает ее застывшей неизменности. Это может быть понято по аналогии с организацией на уровне макромолекул. Контролеры биологической эволюции — это гены, и они бессмертны. Однако они не остаются неизменными, а непрерывно изменяются вследствие мутаций, так что хромосомы человека, например, весьма и весьма отличаются от примитивных хромосом вирусов. Кибернетически бессмертные личности могут меняться и развиваться во взаимодействии с другими личностями сверхсущества, а также при взаимодействии между сверхсуществами, ибо плюрализм необходим для эволюции, и человечество, надо надеяться, будет пробовать различные виды интеграции, создавая различные сверхсущества. Те человеческие личности, которые возникнут в результате всех этих процессов, будут, вероятно, отличаться от нас так, как наши хромосомы отличаются от вирусов. Но определяющий принцип личности останется, по-видимому, неизменным, как остался неизменным принцип работы генов.

17. Как может происходить интеграция. Следует ли ожидать, что все человечество объединится в единое сверхсущество? С эволюционной точки зрения это и нежелательно, и маловероятно. Жизнь можно сравнить с пирамидой: вершина поднимается ввысь и одновременно расширяется основание. Хотя человечество и осуществляет контроль над биосферой, наши тела составляют лишь небольшую часть от всей биомассы. Основную ее часть все еще составляют примитивные организмы, такие, как мы находим в планктоне. Осуществление кибернетического бессмертия потребует, несомненно, чем-то пожертвовать; для начала, надо будет решительно сосредоточить усилия на дальнейшем развитии науки. Совсем не очевидно, что большинство людей в большинстве сообществ захотят поставить перед собой такую цель. Воля к бессмертию, как и всякая человеческая черта, широко варьируется от человека к человеку. Поскольку интеграция может быть лишь добровольной, надо ожидать, что только часть, вероятно небольшая, человечества образует сверхсущества, большинство же останется в состоянии “человеческого планктона”.

18. Интеграция на Космической сцене. Однако именно интегрированному человечеству суждено освоить Космическое пространство. Неинтегрированная часть не может конкурировать с нею; она может лишь поставлять материал для сверхсуществ. Без интеграции человечество не может претендовать на какую-либо серьезную роль в Космосе. Системные единицы, которые принимают решения, должны получать вознаграждение за свои решения; иначе они никогда не примут их. Попробуйте представить себе картину “человеческого планктона”, набитого в ракеты, чтобы достичь отдаленной звезды через десять или двадцать поколений. Играть роль в Космосе могут лишь существа, продолжительность жизни которых исчисляется Космическими же временами.

19. Сегодняшние проблемы. Наше представление о кибернетической интеграции в настоящее время весьма абстрактно и туманно. Это неизбежно: понятия и цели, касающиеся отдаленного будущего, только и могут быть абстрактными. Это не значит, однако, что они не имеют никакого отношения к нашим сегодняшним проблемам. Понятия о Всемирной Эволюции и кибернетическом бессмертии имеют прямое отношение к понятию о смысле жизни и к высшим ценностям, которые мы принимаем для себя сегодня, хотя те, кто живут сейчас, могут реалистически думать лишь в терминах творческого бессмертия (хотя, кто знает?). Проблема высших ценностей — это центральная проблема нынешнего общества. Ради чего надо жить, после того как наши основные потребности с легкостью удовлетворены современной системой производства? Что есть Добро и что есть Зло? Каковы те конечные критерии, на основании которых мы должны оценивать различные модели общественного устройства? В истории человечества великие цивилизации неотделимы от великих религий, которые отвечали на эти вопросы. Упадок традиционных религий, основывающихся на метафизическом понятии о бессмертии, угрожает деградацией общества. Представление о кибернетическом бессмертии может прийти на смену своему метафизическому предшественнику и послужить основой для учения о высших ценностях нарождающейся глобальной цивилизации.

20. Интеграция и свобода. В наше время мы можем яснее, чем когда-либо, видеть фундаментальное противоречие конструктивной эволюции человеческого общества: между социальной интеграцией и личной свободой. Интеграция есть эволюционная необходимость; это очередной метасистемный переход. Если человечество поставит себе цели, не совместимые с интеграцией, результатом будет эволюционный тупик. Тогда мы не выживем. В эволюционирующей Вселенной нет остановки: все, что не развивается, гибнет. С другой стороны, драгоценной сущностью человека является свобода. Творческая свобода личности — это двигатель эволюции в эпоху разума. Если она будет подавлена интеграцией, как в тоталитарных режимах, мы тоже окажемся в эволюционном тупике.

Это противоречие реально, но ниоткуда не следует, что оно неразрешимо. В конце концов, аналогичное противоречие успешно преодолевалось эволюцией на предыдущих уровнях организации. Когда клетки объединяются в многоклеточный организм, они продолжают выполнять свои биологические функции — обмен веществ и деление. Новое качество — жизнь организма — появляется не вопреки биологическим функциям индивидуальных клеток, а благодаря им. Творческий акт свободной человеческой личности — это его “биологическая функция”. В интегрированном сверхсуществе на всех его стадиях, начиная с той, которая протекает сейчас, эта свобода должна оставаться необходимым и решающим фактором. Как достичь органического синтеза интеграции и свободы — вот вызов, который природа бросает человеку.

1 Turchin V., Joslyn С. // Kybernetes. 1991, Vol. 19, N 2, 3. Перевод с небольшими вариациями В. Турчина.